Sorbonne Université, INSERM, Centre de Recherche Saint Antoine, APHP, Hôpital Armand Trousseau, Service de Néonatologie, Paris, France.
Sorbonne Université, INSERM, Centre de Recherche Saint Antoine, Paris, France.
Front Endocrinol (Lausanne). 2022 Feb 28;13:836731. doi: 10.3389/fendo.2022.836731. eCollection 2022.
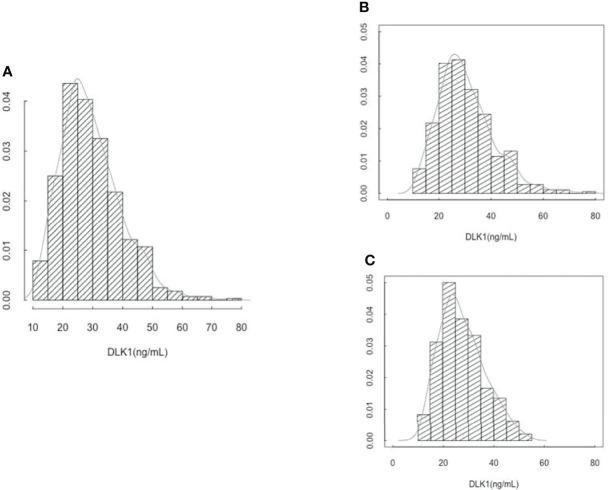
Detecting SGA (small for gestational age) during pregnancy improves the fetal and neonatal prognosis. To date, there is no valid antenatal biomarker of SGA used in clinical practice. Maternal circulating DLK1 (delta-like non-canonical notch ligand 1) levels have been shown to be significantly lower in pregnant women at 36 weeks of gestation (WG) who delivered a SGA newborn than in controls. Data in the literature are contradictory on the association between maternal circulating DLK1 levels and placental vascular dysfunction. The objective was to determine if maternal DLK1 levels in the second trimester of pregnancy are predictive of SGA, and to assess whether the measurement of DLK1 levels in maternal blood could be a means to distinguish SGA with placental vascular dysfunction from that due to other causes. We conducted a nested cased-control study within the EDEN mother-child cohort. 193 SGA (birth weight < 10 percentile) and 370 mother-child control (birth weight between the 25 and 75 percentile) matched pairs were identified in the EDEN cohort. Maternal circulating DLK1 levels at 26 WG were significantly lower for children born SGA than for controls (27.7 ± 8.7 ng/mL 30.4 ± 10.6 ng/mL, p = 0.001). Maternal blood DLK1 levels in the first quartile (DLK1 < 22.85 ng/mL) were associated with an odds ratio for SGA of 1.98 [1.15 - 3.37]. DLK1 was less predictive of SGA than ultrasound, with an area under the curve of 0.578. Maternal circulating DLK1 levels were not significantly different in cases of SGA with signs of placental vascular dysfunction (n = 63, 27.1 ± 9.2 ng/mL) than in those without placental dysfunction (n = 129, 28.0 ± 8.5 ng/mL, p = 0.53). The level of circulating DLK1 is reduced in the second trimester of pregnancy in cases of SGA at birth, independently of signs of placental vascular dysfunction. However, DLK1 alone cannot predict the risk of SGA.
在怀孕期间检测 SGA(小于胎龄儿)可以改善胎儿和新生儿的预后。迄今为止,临床上尚无有效的产前 SGA 生物标志物。已经表明,在 36 孕周(WG)分娩 SGA 新生儿的孕妇中,母体循环中的 DLK1(delta-like 非经典 Notch 配体 1)水平明显低于对照组。文献中的数据对于母体循环 DLK1 水平与胎盘血管功能障碍之间的关联存在矛盾。目的是确定妊娠中期母体 DLK1 水平是否可预测 SGA,并评估测量母体血液中的 DLK1 水平是否可以区分由胎盘血管功能障碍引起的 SGA 与由其他原因引起的 SGA。我们在 EDEN 母婴队列中进行了嵌套病例对照研究。在 EDEN 队列中,确定了 193 名 SGA(出生体重<第 10 个百分位数)和 370 名母婴对照(出生体重在第 25 到 75 个百分位数之间)匹配对。与对照组相比,出生 SGA 的儿童的母体循环 DLK1 水平在 26 WG 时明显降低(27.7 ± 8.7 ng/mL 30.4 ± 10.6 ng/mL,p = 0.001)。第一四分位数(DLK1 < 22.85 ng/mL)的母体血液 DLK1 水平与 SGA 的比值比为 1.98 [1.15-3.37]。与超声相比,DLK1 对 SGA 的预测能力较低,曲线下面积为 0.578。有胎盘血管功能障碍迹象的 SGA 病例(n = 63,27.1 ± 9.2 ng/mL)与无胎盘功能障碍的 SGA 病例(n = 129,28.0 ± 8.5 ng/mL,p = 0.53)相比,母体循环 DLK1 水平没有差异。出生时 SGA 的孕妇在妊娠中期的循环 DLK1 水平降低,独立于胎盘血管功能障碍的迹象。然而,单独的 DLK1 不能预测 SGA 的风险。