Suppr超能文献

欧洲足球运动员足部骨折后的重返赛场及运动员表现

Return to Play and Player Performance After Foot Fracture in UEFA Soccer Players.

作者信息

Diaz Connor C, Lavoie-Gagne Ophelie Z, Korrapati Avinaash, John Nalin S, Diaz Mariah I, Forlenza Enrico M, Trasolini Nicholas A, Forsythe Brian

机构信息

Department of Orthopaedic Surgery, Rush University Medical Center, Chicago, Illinois, USA.

Department of Orthopaedic Surgery, Massachusetts General Hospital, Boston, Massachusetts, USA.

出版信息

Orthop J Sports Med. 2022 Mar 11;10(3):23259671221078308. doi: 10.1177/23259671221078308. eCollection 2022 Mar.

Abstract

BACKGROUND

There is a paucity of information on rate and time to return to play (RTP) in elite-level soccer players who have sustained foot fractures.

PURPOSE

To (1) determine the rate and timing of RTP after foot fracture (eg, tarsal, metatarsal, or phalangeal), (2) investigate foot fracture reinjury incidence after RTP, and (3) evaluate performance after foot fracture as compared with matched, uninjured controls.

STUDY DESIGN

Descriptive epidemiology study.

METHODS

Athletes sustaining foot fractures were identified across the 5 major European soccer leagues (English Premier League, Bundesliga, La Liga, Ligue 1, and Serie A) between 2000 and 2016. Injured athletes were matched to controls (1:1) using demographic characteristics and performance metrics from 1 season before injury. The authors recorded RTP rate, reinjury incidence, player characteristics associated with RTP within 2 seasons of injury, player availability, field time, and performance metrics during the 4 seasons after injury.

RESULTS

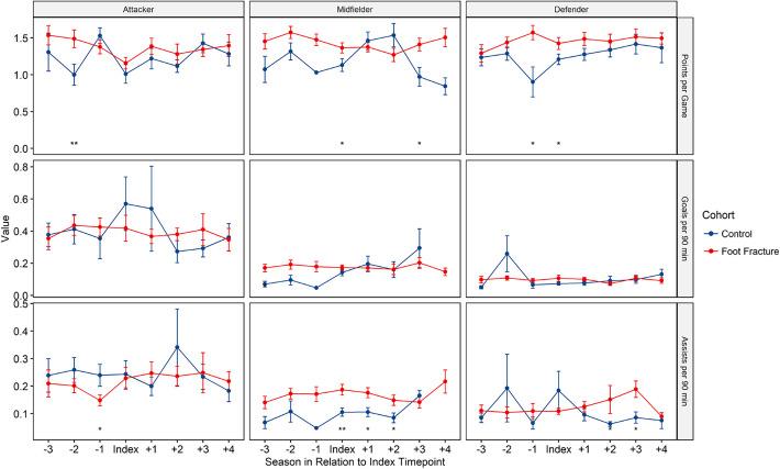
A total of 192 elite soccer players sustaining a foot fracture were identified; 40 players (20.8%) underwent operative treatment. Athletes missed an average of 69.41 ± 59.43 days and 5.15 ± 23.28 games. In the 4 seasons after injury, 80% of players returned to play, with 72% returning to play within 1 season of injury. Nine players (5%) sustained a subsequent foot fracture. Athletes with a foot fracture demonstrated significantly longer league retention compared with uninjured controls ( < .001). Elite soccer players older than 30 years of age were less likely to RTP (odds ratio, 0.67; = .002), whereas career experience, field position, and baseline performance showed no significant association with RTP rates. Injured athletes demonstrated similar performance to controls during the 4 years after injury, and there were no position-dependent differences on subgroup analysis. The players who underwent operative treatment had more assists per 90 minutes and more team points per game during the first season after injury compared with athletes treated nonoperatively.

CONCLUSION

Foot fractures in elite soccer players resulted in moderate loss of play time (69.41 days). RTP rates were high at 80%, although players older than 30 years of age were less likely to RTP. On RTP, athletes who sustained a foot fracture maintained performance similar to preinjury levels and to uninjured controls.

摘要

背景

关于精英水平足球运动员足部骨折后恢复比赛(RTP)的速率和时间的信息匮乏。

目的

(1)确定足部骨折(如跗骨、跖骨或趾骨骨折)后恢复比赛的速率和时间,(2)调查恢复比赛后足部骨折再受伤的发生率,(3)与匹配的未受伤对照组相比,评估足部骨折后的表现。

研究设计

描述性流行病学研究。

方法

在2000年至2016年期间,在欧洲5个主要足球联赛(英超联赛、德甲联赛、西甲联赛、法甲联赛和意甲联赛)中识别出足部骨折的运动员。使用受伤前1个赛季的人口统计学特征和表现指标将受伤运动员与对照组(1:1)进行匹配。作者记录了恢复比赛的速率、再受伤发生率、受伤后2个赛季内与恢复比赛相关的运动员特征、运动员可用性、上场时间以及受伤后4个赛季的表现指标。

结果

共识别出192名精英足球运动员足部骨折;40名运动员(20.8%)接受了手术治疗。运动员平均缺阵69.41±59.43天和5.

https://cdn.ncbi.nlm.nih.gov/pmc/blobs/b862/8921753/7c530b16b670/10.1177_23259671221078308-fig1.jpg

文献检索

告别复杂PubMed语法,用中文像聊天一样搜索,搜遍4000万医学文献。AI智能推荐,让科研检索更轻松。

立即免费搜索

文件翻译

保留排版,准确专业,支持PDF/Word/PPT等文件格式,支持 12+语言互译。

免费翻译文档

深度研究

AI帮你快速写综述,25分钟生成高质量综述,智能提取关键信息,辅助科研写作。

立即免费体验