Suppr超能文献

高能阿秒脉冲与物质相互作用的多尺度研究及其在质子-硼聚变中的应用。

Multiscale study of high energy attosecond pulse interaction with matter and application to proton-Boron fusion.

作者信息

Ribeyre X, Capdessus R, Wheeler J, d'Humières E, Mourou G

机构信息

Centre Laser Intenses et Applications, Univ. Bordeaux-CNRS-CEA, UMR 5107, 33405, Talence, France.

DER-IZEST, Ecole Polytechnique, 91128, Palaiseau Cedex, France.

出版信息

Sci Rep. 2022 Mar 18;12(1):4665. doi: 10.1038/s41598-022-08433-4.

Abstract

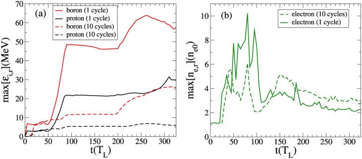
For several decades, the interest of the scientific community in aneutronic fusion reactions such as proton-Boron fusion has grown because of potential applications in different fields. Recently, many scientific teams in the world have worked experimentally on the possibility to trigger proton-Boron fusion using intense lasers demonstrating an important renewal of interest of this field. It is now possible to generate ultra-short high intensity laser pulses at high repetition rate. These pulses also have unique properties that can be leveraged to produce proton-Boron fusion reactions. In this article, we investigate the interaction of a high energy attosecond pulse with a solid proton-Boron target and the associated ion acceleration supported by numerical simulations. We demonstrate the efficiency of single-cycle attosecond pulses in comparison to multi-cycle attosecond pulses in ion acceleration and magnetic field generation. Using these results we also propose a path to proton-Boron fusion using high energy attosecond pulses.

摘要

几十年来,由于在不同领域的潜在应用,科学界对诸如质子-硼聚变等无中子聚变反应的兴趣与日俱增。最近,世界上许多科研团队已开展实验,研究利用强激光引发质子-硼聚变的可能性,这表明该领域的兴趣再度高涨。现在能够以高重复频率产生超短高强度激光脉冲。这些脉冲还具有独特的特性,可用于产生质子-硼聚变反应。在本文中,我们通过数值模拟研究了高能阿秒脉冲与固体质子-硼靶的相互作用以及相关的离子加速过程。我们展示了单周期阿秒脉冲在离子加速和磁场产生方面相较于多周期阿秒脉冲的效率。利用这些结果,我们还提出了一条利用高能阿秒脉冲实现质子-硼聚变的途径。

https://cdn.ncbi.nlm.nih.gov/pmc/blobs/b8e8/8933570/fa8010fada1f/41598_2022_8433_Fig1_HTML.jpg

文献检索

告别复杂PubMed语法,用中文像聊天一样搜索,搜遍4000万医学文献。AI智能推荐,让科研检索更轻松。

立即免费搜索

文件翻译

保留排版,准确专业,支持PDF/Word/PPT等文件格式,支持 12+语言互译。

免费翻译文档

深度研究

AI帮你快速写综述,25分钟生成高质量综述,智能提取关键信息,辅助科研写作。

立即免费体验