Suppr超能文献

ALK 抑制剂或化疗用于 ALK 阳性 NSCLC 的三线治疗?真实世界数据。

ALK Inhibitors or Chemotherapy for Third Line in ALK-positive NSCLC? Real-world Data.

机构信息

Thoracic Cancer Service, Rambam Health Care Campus, Haifa, Israel.

Thoracic Cancer Service, Davidoff Cancer Center, Rabin Medical Center, Beilinson Campus, Petah Tikva, Israel.

出版信息

Oncologist. 2022 Feb 3;27(1):e76-e84. doi: 10.1093/oncolo/oyab005.

Abstract

OBJECTIVES

ALK inhibitors (ALKi) are the standard-of-care treatment for metastatic ALK-rearranged non-small cell lung cancer (NSCLC) in the first- and second-line setting. We conducted a real-world multi-institutional analysis, aiming to compare the efficacy of third-line ALKi versus chemotherapy in these patients.

METHODS

Consecutive ALK-positive metastatic NSCLC patients treated with at least one ALKi were identified in the working databases of 7 Israeli oncology centers (the full cohort). Demographic and clinical data were collected. Patients receiving any systemic treatment beyond 2 ALKi comprised the third-line cohort, whether a third ALKi (group A) or chemotherapy (group B). Groups A and B were compared in terms of overall survival (OS) and time-to-next-treatment line (TNT).

RESULTS

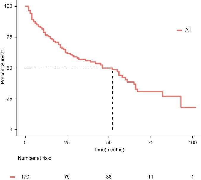
At a median follow-up of 41 months (95% confidence interval [CI]: 32-55), 80 (47.1%) have died. Median OS (mOS) in the full cohort (n = 170) was 52 months (95% CI: 32-65). Number of ALKi (hazard ratio [HR] 0.765; 95% CI: 0.61-0.95; P = .024) and age (HR 1.02, 95% CI: 1.01-1.04, P = .009) significantly associated with OS in the full cohort. The third-line cohort included 40 patients, of which 27 were treated with third ALKi (group A) and 13 treated with chemotherapy (group B). mOS from third-line initiation was 27 months in group A (95% CI: 13-NR) and 13 months for group B (95% CI: 3-NR); the difference was not significant (NS; P = .12). Chemotherapy as first line (HR 0.17, 95% CI: 0.05-0.52, P = .002) and a higher number of ALKi (HR 0.38, 95% CI: 0.20-0.86, P = .011) associated significantly with longer OS of the third-line cohort. TNT was 10 months for group A (95% CI: 5-19) and 3 months for group B (95% CI: 0-NR); the difference was NS (P = .079).

CONCLUSION

We report mature real-world data of more than 4-year mOS in ALK-positive patients. The number of ALKi given was associated with a better outcome. OS and TNT demonstrated a statistically nonsignificant trend for a better outcome in patients receiving a third-line ALKi.

摘要

目的

ALK 抑制剂(ALKi)是转移性 ALK 重排非小细胞肺癌(NSCLC)一线和二线治疗的标准治疗方法。我们进行了一项真实世界的多机构分析,旨在比较这些患者三线 ALKi 与化疗的疗效。

方法

在 7 家以色列肿瘤中心的工作数据库中确定了至少接受过一种 ALKi 治疗的连续ALK 阳性转移性 NSCLC 患者(全队列)。收集了人口统计学和临床数据。接受任何超过 2 种 ALKi 的系统治疗的患者构成了三线队列,无论是第三种 ALKi(A 组)还是化疗(B 组)。比较 A 组和 B 组的总生存期(OS)和下一线治疗时间(TNT)。

结果

中位随访时间为 41 个月(95%置信区间[CI]:32-55),80 例(47.1%)死亡。全队列(n=170)的中位 OS(mOS)为 52 个月(95%CI:32-65)。ALK 治疗次数(风险比[HR]0.765;95%CI:0.61-0.95;P=0.024)和年龄(HR 1.02,95%CI:1.01-1.04,P=0.009)与全队列的 OS 显著相关。三线队列包括 40 例患者,其中 27 例接受第三种 ALKi(A 组)治疗,13 例接受化疗(B 组)治疗。从三线治疗开始的 mOS 在 A 组为 27 个月(95%CI:13-NR),在 B 组为 13 个月(95%CI:3-NR);差异无统计学意义(NS;P=0.12)。一线化疗(HR 0.17,95%CI:0.05-0.52,P=0.002)和 ALKi 治疗次数较高(HR 0.38,95%CI:0.20-0.86,P=0.011)与三线队列的 OS 延长显著相关。A 组的 TNT 为 10 个月(95%CI:5-19),B 组为 3 个月(95%CI:0-NR);差异无统计学意义(P=0.079)。

结论

我们报告了超过 4 年的 ALK 阳性患者的成熟真实世界 mOS 数据。ALK 治疗次数与更好的结果相关。OS 和 TNT 显示出接受三线 ALKi 治疗的患者有更好结果的统计学上无显著趋势。

https://cdn.ncbi.nlm.nih.gov/pmc/blobs/ebfb/8842297/5d2c352f2cbd/oyab005_fig1.jpg

文献检索

告别复杂PubMed语法,用中文像聊天一样搜索,搜遍4000万医学文献。AI智能推荐,让科研检索更轻松。

立即免费搜索

文件翻译

保留排版,准确专业,支持PDF/Word/PPT等文件格式,支持 12+语言互译。

免费翻译文档

深度研究

AI帮你快速写综述,25分钟生成高质量综述,智能提取关键信息,辅助科研写作。

立即免费体验