Suppr超能文献

一份关于改进使用项目以提高韩国建筑业职业安全与健康管理费用运营效率的路线图。

A roadmap to improve usage items to enhance the operational effectiveness of occupational safety and health management expense in Korean construction.

作者信息

Lim Sejong, Won Jeong-Hun, Seo Junghoon, Jeon Soyoung, Kim Chang-Won

机构信息

Construction Industrial Accident Prevention Policy Division, Ministry of Employment and Labor, Republic of Korea.

Department of Safety Engineering & Department of Big Data, Chungbuk National University, Republic of Korea.

出版信息

Ind Health. 2023 Apr 1;61(2):158-170. doi: 10.2486/indhealth.2022-0008. Epub 2022 Mar 18.

Abstract

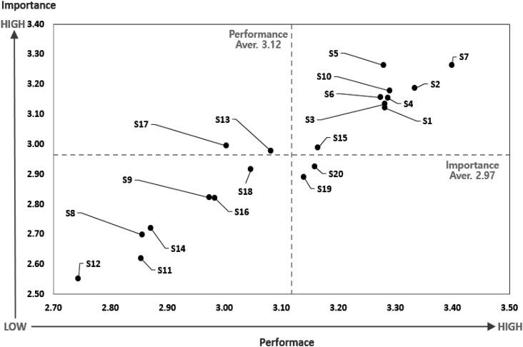
Occupational safety and health management expense (OSHE) in construction industry is a statutory expense used for the purpose of preventing occupational accident and health disorders for construction workers, and the detailed usage standard is stipulated in the law and regulations governed by the Ministry of Employment and Labor in Korea. Previous studies focused on improvement of the accounting rate of OSHE and institutional improvement to secure usage transparency, but analysis showed that the review of improvement directions for usage items was insufficient. Considering recent trends, such as the increase in industrial demand to improve existing usage items and the introduction of various smart safety products incorporating the Fourth Industrial Revolution technology, it is expected that it will be necessary to review ways to improve the usage items to enhance the operational efficiency of OSHE. Accordingly, this study collected opinions from various stakeholders, and presented a roadmap to improve usage items of OSHE through importance-performance analysis (IPA) based on the data. This study is expected to meet the needs demanded by industry, and to be utilized as a reference for policy preparation to enhance the safety of construction sites.

摘要

建筑行业的职业安全与健康管理费用(OSHE)是用于预防建筑工人职业事故和健康问题的法定费用,其详细使用标准由韩国雇佣劳动部管辖的法律法规规定。以往的研究主要集中在提高OSHE的核算率和制度完善以确保使用透明度,但分析表明,对使用项目改进方向的审查不足。考虑到近期的趋势,如提高现有使用项目的行业需求增加以及引入融合第四次工业革命技术的各种智能安全产品,预计有必要审查改进使用项目的方法,以提高OSHE的运营效率。因此,本研究收集了各利益相关者的意见,并基于数据通过重要性-绩效分析(IPA)提出了改进OSHE使用项目的路线图。本研究有望满足行业需求,并作为加强建筑工地安全政策制定的参考。

https://cdn.ncbi.nlm.nih.gov/pmc/blobs/c368/10079505/936c7b5e00dd/indhealth-61-158-g001.jpg

文献检索

告别复杂PubMed语法,用中文像聊天一样搜索,搜遍4000万医学文献。AI智能推荐,让科研检索更轻松。

立即免费搜索

文件翻译

保留排版,准确专业,支持PDF/Word/PPT等文件格式,支持 12+语言互译。

免费翻译文档

深度研究

AI帮你快速写综述,25分钟生成高质量综述,智能提取关键信息,辅助科研写作。

立即免费体验