Suppr超能文献

有限温度下自旋链的正交性灾难与量子速度极限

Orthogonality catastrophe and quantum speed limit for spin chain at finite temperature.

作者信息

Zhu Zheng-Rong, Wang Qing, Zou Jian, Shao Bin, Wu Lian-Ao

机构信息

School of Physics, Beijing Institute of Technology, Beijing, 100081, China.

Yangtze Delta Region Academy of Beijing Institute of Technology, Jiaxing, 314019, China.

出版信息

Sci Rep. 2022 Mar 23;12(1):5058. doi: 10.1038/s41598-022-09010-5.

Abstract

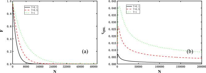
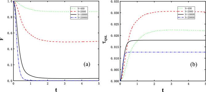
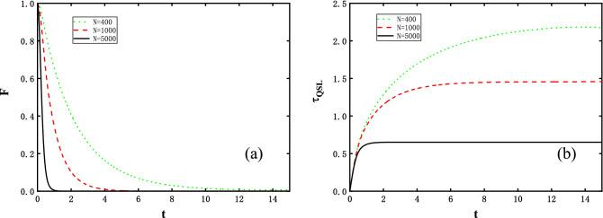
We present an interesting relationship between the orthogonality catastrophe (OC) and the quantum speed limit (QSL) for a spin chain with uniform nearest neighbour couplings perturbed by an impurity spin. We thoroughly study the catastrophic QSL that specifies a bound on the evolution time between the initial and final states and in this respect, link it to the emerging OC effect. It is found that the speed of state evolution subtle but fundamental, and the bound characterized by QSL shows the same behaviours as the OC effect in the thermodynamic limit. It allows us to reveal some universal properties, in particular finite temperature effects. Significantly, the threshold of temperature and system size is clearly demonstrated for the QSL under finite temperature.

摘要

我们展示了一个受杂质自旋微扰的、具有均匀最近邻耦合的自旋链的正交性灾难(OC)与量子速度极限(QSL)之间的有趣关系。我们深入研究了灾难性量子速度极限,它规定了初始态和末态之间演化时间的界限,并且在这方面,将其与出现的正交性灾难效应联系起来。研究发现,态演化速度微妙但至关重要,由量子速度极限表征的界限在热力学极限下表现出与正交性灾难效应相同的行为。这使我们能够揭示一些普遍性质,特别是有限温度效应。值得注意的是,明确展示了有限温度下量子速度极限的温度和系统尺寸阈值。

https://cdn.ncbi.nlm.nih.gov/pmc/blobs/aeb5/8943030/5098a043c1db/41598_2022_9010_Fig1_HTML.jpg

文献AI研究员

20分钟写一篇综述,助力文献阅读效率提升50倍。

立即体验

用中文搜PubMed

大模型驱动的PubMed中文搜索引擎

马上搜索

文档翻译

学术文献翻译模型,支持多种主流文档格式。

立即体验