• 文献检索
  • 文档翻译
  • 深度研究
  • 学术资讯
  • Suppr Zotero 插件Zotero 插件
  • 邀请有礼
  • 套餐&价格
  • 历史记录
应用&插件
Suppr Zotero 插件Zotero 插件浏览器插件Mac 客户端Windows 客户端微信小程序
定价
高级版会员购买积分包购买API积分包
服务
文献检索文档翻译深度研究API 文档MCP 服务
关于我们
关于 Suppr公司介绍联系我们用户协议隐私条款
关注我们

Suppr 超能文献

核心技术专利:CN118964589B侵权必究
粤ICP备2023148730 号-1Suppr @ 2026

文献检索

告别复杂PubMed语法,用中文像聊天一样搜索,搜遍4000万医学文献。AI智能推荐,让科研检索更轻松。

立即免费搜索

文件翻译

保留排版,准确专业,支持PDF/Word/PPT等文件格式,支持 12+语言互译。

免费翻译文档

深度研究

AI帮你快速写综述,25分钟生成高质量综述,智能提取关键信息,辅助科研写作。

立即免费体验

磁性纳米颗粒作为基于肽的DNA递送系统的组成部分用于子宫肌瘤的自杀基因治疗

Magnetic Nanoparticles as a Component of Peptide-Based DNA Delivery System for Suicide Gene Therapy of Uterine Leiomyoma.

作者信息

Shtykalova Sofia, Egorova Anna, Maretina Marianna, Baranov Vladislav, Kiselev Anton

机构信息

Department of Genomic Medicine, D.O. Ott Research Institute of Obstetrics, Gynecology and Reproductology, Mendeleevskaya Line 3, 199034 Saint-Petersburg, Russia.

出版信息

Bioengineering (Basel). 2022 Mar 8;9(3):112. doi: 10.3390/bioengineering9030112.

DOI:10.3390/bioengineering9030112
PMID:35324801
原文链接:https://pmc.ncbi.nlm.nih.gov/articles/PMC8945779/
Abstract

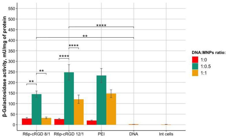
Suicidegene therapy is considered a promising approach for the treatment of uterine leiomyoma (UL), a benign tumor in women characterized by precise localization. In this study, we investigate the efficiency of αvβ3 integrin-targeted arginine-rich peptide carrier R6p-cRGD electrostatically bound to magnetic nanoparticles (MNPs) for targeted DNA delivery into the UL cells. The physico-chemical and cytotoxic properties, transfection efficiency, and specificity of R6p-cRGD/DNA/MNPs polyplexes were evaluated. The addition of MNPs resulted in a decrease in the time needed for successful transfection with simultaneous increase in efficiency. We revealed a therapeutic effect on primary UL cells after delivery of plasmid encoding the herpes simplex virus type 1 (HSV-1) thymidine kinase gene. Treatment with ganciclovir resulted in 20% efficiency of suicide gene therapy in UL cells transfected with the pPTK-1 plasmid. Based on these results, we conclude that the use of cationic peptide carriers with MNPs can be promising for the development of modular non-viral carriers for suicide gene delivery to UL cells.

摘要

自杀基因疗法被认为是治疗子宫平滑肌瘤(UL)的一种有前景的方法,子宫平滑肌瘤是一种女性良性肿瘤,具有精确定位的特征。在本研究中,我们研究了与磁性纳米颗粒(MNP)静电结合的αvβ3整合素靶向富精氨酸肽载体R6p-cRGD将靶向DNA递送至UL细胞的效率。评估了R6p-cRGD/DNA/MNP复合物的物理化学和细胞毒性特性、转染效率及特异性。添加MNP导致成功转染所需时间减少,同时效率提高。我们揭示了在递送编码单纯疱疹病毒1型(HSV-1)胸苷激酶基因的质粒后对原代UL细胞的治疗效果。用更昔洛韦治疗导致在用pPTK-1质粒转染的UL细胞中自杀基因疗法的效率达到20%。基于这些结果,我们得出结论,阳离子肽载体与MNP的联合使用对于开发用于将自杀基因递送至UL细胞的模块化非病毒载体可能具有前景。

https://cdn.ncbi.nlm.nih.gov/pmc/blobs/ef46/8945779/a41796f3cd4a/bioengineering-09-00112-g008.jpg
https://cdn.ncbi.nlm.nih.gov/pmc/blobs/ef46/8945779/929738f86171/bioengineering-09-00112-g001.jpg
https://cdn.ncbi.nlm.nih.gov/pmc/blobs/ef46/8945779/4842a7480d22/bioengineering-09-00112-g002.jpg
https://cdn.ncbi.nlm.nih.gov/pmc/blobs/ef46/8945779/fd0880331dc7/bioengineering-09-00112-g003.jpg
https://cdn.ncbi.nlm.nih.gov/pmc/blobs/ef46/8945779/2198a6410e74/bioengineering-09-00112-g004.jpg
https://cdn.ncbi.nlm.nih.gov/pmc/blobs/ef46/8945779/354117f26eb2/bioengineering-09-00112-g005.jpg
https://cdn.ncbi.nlm.nih.gov/pmc/blobs/ef46/8945779/32ea6f8e9ffd/bioengineering-09-00112-g006.jpg
https://cdn.ncbi.nlm.nih.gov/pmc/blobs/ef46/8945779/42c3776fc6f3/bioengineering-09-00112-g007.jpg
https://cdn.ncbi.nlm.nih.gov/pmc/blobs/ef46/8945779/a41796f3cd4a/bioengineering-09-00112-g008.jpg
https://cdn.ncbi.nlm.nih.gov/pmc/blobs/ef46/8945779/929738f86171/bioengineering-09-00112-g001.jpg
https://cdn.ncbi.nlm.nih.gov/pmc/blobs/ef46/8945779/4842a7480d22/bioengineering-09-00112-g002.jpg
https://cdn.ncbi.nlm.nih.gov/pmc/blobs/ef46/8945779/fd0880331dc7/bioengineering-09-00112-g003.jpg
https://cdn.ncbi.nlm.nih.gov/pmc/blobs/ef46/8945779/2198a6410e74/bioengineering-09-00112-g004.jpg
https://cdn.ncbi.nlm.nih.gov/pmc/blobs/ef46/8945779/354117f26eb2/bioengineering-09-00112-g005.jpg
https://cdn.ncbi.nlm.nih.gov/pmc/blobs/ef46/8945779/32ea6f8e9ffd/bioengineering-09-00112-g006.jpg
https://cdn.ncbi.nlm.nih.gov/pmc/blobs/ef46/8945779/42c3776fc6f3/bioengineering-09-00112-g007.jpg
https://cdn.ncbi.nlm.nih.gov/pmc/blobs/ef46/8945779/a41796f3cd4a/bioengineering-09-00112-g008.jpg

相似文献

1
Magnetic Nanoparticles as a Component of Peptide-Based DNA Delivery System for Suicide Gene Therapy of Uterine Leiomyoma.磁性纳米颗粒作为基于肽的DNA递送系统的组成部分用于子宫肌瘤的自杀基因治疗
Bioengineering (Basel). 2022 Mar 8;9(3):112. doi: 10.3390/bioengineering9030112.
2
[Cys-Flanked Cationic Peptides For Cell Delivery of the Herpes Simplex Virus Thymidine Kinase Gene for Suicide Gene Therapy of Uterine Leiomyoma].[用于子宫平滑肌瘤自杀基因治疗的单纯疱疹病毒胸苷激酶基因细胞递送的半胱氨酸侧翼阳离子肽]
Mol Biol (Mosk). 2020 May-Jun;54(3):497-511. doi: 10.31857/S0026898420030064.
3
Development of iRGD-Modified Peptide Carriers for Suicide Gene Therapy of Uterine Leiomyoma.用于子宫肌瘤自杀基因治疗的iRGD修饰肽载体的研发
Pharmaceutics. 2021 Feb 2;13(2):202. doi: 10.3390/pharmaceutics13020202.
4
Serum-Resistant Ternary DNA Polyplexes for Suicide Gene Therapy of Uterine Leiomyoma.血清抗性三元 DNA 多聚物用于子宫肌瘤自杀基因治疗。
Int J Mol Sci. 2023 Dec 19;25(1):34. doi: 10.3390/ijms25010034.
5
Peptide-Based Nanoparticles for αvβ3 Integrin-Targeted DNA Delivery to Cancer and Uterine Leiomyoma Cells.基于肽的纳米粒子用于 αvβ3 整联蛋白靶向的 DNA 递送至癌细胞和子宫肌瘤细胞。
Molecules. 2022 Nov 30;27(23):8363. doi: 10.3390/molecules27238363.
6
Polycondensed Peptide Carriers Modified with Cyclic RGD Ligand for Targeted Suicide Gene Delivery to Uterine Fibroid Cells.聚缩肽载体经环状 RGD 配体修饰后用于向子宫肌瘤细胞靶向递送自杀基因。
Int J Mol Sci. 2022 Jan 21;23(3):1164. doi: 10.3390/ijms23031164.
7
Characterization of iRGD-Ligand Modified Arginine-Histidine-Rich Peptides for Nucleic Acid Therapeutics Delivery to αvβ3 Integrin-Expressing Cancer Cells.用于核酸治疗递送至表达αvβ3整合素的癌细胞的iRGD-配体修饰的富含精氨酸-组氨酸肽的表征
Pharmaceuticals (Basel). 2020 Oct 10;13(10):300. doi: 10.3390/ph13100300.
8
Nonviral vector-mediated thymidine kinase gene transfer and ganciclovir treatment in leiomyoma cells.非病毒载体介导的胸苷激酶基因转移及更昔洛韦治疗平滑肌瘤细胞
Obstet Gynecol. 1998 May;91(5 Pt 1):735-40. doi: 10.1016/s0029-7844(98)00014-3.
9
Synthesis and application of poly(ethylene glycol)-co-poly(β-amino ester) copolymers for small cell lung cancer gene therapy.用于小细胞肺癌基因治疗的聚(乙二醇)-共-聚(β-氨基酯)共聚物的合成与应用
Acta Biomater. 2016 Sep 1;41:293-301. doi: 10.1016/j.actbio.2016.05.040. Epub 2016 Jun 1.
10
[Delivery of "suicide" thymidine kinase gene of herpes virus in the complex with cationic peptide into human hepatoma cells in vitro].[将与阳离子肽复合的疱疹病毒“自杀”胸苷激酶基因体外导入人肝癌细胞]
Tsitologiia. 2002;44(5):455-62.

引用本文的文献

1
Genetic and biomarker approaches to uterine fibroids: toward precision medicine.子宫肌瘤的遗传学和生物标志物研究方法:迈向精准医学
Front Glob Womens Health. 2025 Apr 22;6:1581823. doi: 10.3389/fgwh.2025.1581823. eCollection 2025.
2
Rethinking the application of nanoparticles in women's reproductive health and assisted reproduction.重新思考纳米颗粒在女性生殖健康和辅助生殖中的应用。
Nanomedicine (Lond). 2024;19(14):1231-1251. doi: 10.2217/nnm-2023-0346. Epub 2024 May 21.
3
Serum-Resistant Ternary DNA Polyplexes for Suicide Gene Therapy of Uterine Leiomyoma.

本文引用的文献

1
Development of Primary Monolayer Cell Model and Organotypic Model of Uterine Leiomyoma.子宫平滑肌瘤原代单层细胞模型和器官型模型的建立。
Methods Protoc. 2022 Feb 6;5(1):16. doi: 10.3390/mps5010016.
2
Polycondensed Peptide Carriers Modified with Cyclic RGD Ligand for Targeted Suicide Gene Delivery to Uterine Fibroid Cells.聚缩肽载体经环状 RGD 配体修饰后用于向子宫肌瘤细胞靶向递送自杀基因。
Int J Mol Sci. 2022 Jan 21;23(3):1164. doi: 10.3390/ijms23031164.
3
Gene therapy: Comprehensive overview and therapeutic applications.基因治疗:全面概述与治疗应用。
血清抗性三元 DNA 多聚物用于子宫肌瘤自杀基因治疗。
Int J Mol Sci. 2023 Dec 19;25(1):34. doi: 10.3390/ijms25010034.
4
Peptide-Based Nanoparticles for αvβ3 Integrin-Targeted DNA Delivery to Cancer and Uterine Leiomyoma Cells.基于肽的纳米粒子用于 αvβ3 整联蛋白靶向的 DNA 递送至癌细胞和子宫肌瘤细胞。
Molecules. 2022 Nov 30;27(23):8363. doi: 10.3390/molecules27238363.
5
Functionalized Peptide-Based Nanoparticles for Targeted Cancer Nanotherapeutics: A State-of-the-Art Review.用于靶向癌症纳米治疗的功能化肽基纳米颗粒:最新综述
ACS Omega. 2022 Oct 5;7(41):36092-36107. doi: 10.1021/acsomega.2c03974. eCollection 2022 Oct 18.
Life Sci. 2022 Apr 1;294:120375. doi: 10.1016/j.lfs.2022.120375. Epub 2022 Feb 3.
4
Magnetofection In Vivo by Nanomagnetic Carriers Systemically Administered into the Bloodstream.通过纳米磁性载体经血流全身给药实现体内磁转染
Pharmaceutics. 2021 Nov 14;13(11):1927. doi: 10.3390/pharmaceutics13111927.
5
Current approaches to overcome the side effects of GnRH analogs in the treatment of patients with uterine fibroids.当前克服 GnRH 类似物在子宫肌瘤治疗中副作用的方法。
Expert Opin Drug Saf. 2022 Apr;21(4):477-486. doi: 10.1080/14740338.2022.1989409. Epub 2021 Oct 20.
6
Magnetic nanocomplexes for gene delivery applications.用于基因递送应用的磁性纳米复合物。
J Mater Chem B. 2021 Jun 3;9(21):4267-4286. doi: 10.1039/d0tb02713h.
7
Rapidly Transducing and Spatially Localized Magnetofection Using Peptide-Mediated Non-Viral Gene Delivery Based on Iron Oxide Nanoparticles.基于氧化铁纳米颗粒的肽介导非病毒基因递送实现快速转导和空间定位磁转染
ACS Appl Nano Mater. 2021 Jan 22;4(1):167-181. doi: 10.1021/acsanm.0c02465. Epub 2020 Dec 21.
8
Development of iRGD-Modified Peptide Carriers for Suicide Gene Therapy of Uterine Leiomyoma.用于子宫肌瘤自杀基因治疗的iRGD修饰肽载体的研发
Pharmaceutics. 2021 Feb 2;13(2):202. doi: 10.3390/pharmaceutics13020202.
9
[Cys-Flanked Cationic Peptides For Cell Delivery of the Herpes Simplex Virus Thymidine Kinase Gene for Suicide Gene Therapy of Uterine Leiomyoma].[用于子宫平滑肌瘤自杀基因治疗的单纯疱疹病毒胸苷激酶基因细胞递送的半胱氨酸侧翼阳离子肽]
Mol Biol (Mosk). 2020 May-Jun;54(3):497-511. doi: 10.31857/S0026898420030064.
10
Magnetic nanoparticles in nanomedicine: a review of recent advances.纳米医学中的磁性纳米粒子:近期进展综述。
Nanotechnology. 2019 Dec 13;30(50):502003. doi: 10.1088/1361-6528/ab4241. Epub 2019 Sep 6.