• 文献检索
  • 文档翻译
  • 深度研究
  • 学术资讯
  • Suppr Zotero 插件Zotero 插件
  • 邀请有礼
  • 套餐&价格
  • 历史记录
应用&插件
Suppr Zotero 插件Zotero 插件浏览器插件Mac 客户端Windows 客户端微信小程序
定价
高级版会员购买积分包购买API积分包
服务
文献检索文档翻译深度研究API 文档MCP 服务
关于我们
关于 Suppr公司介绍联系我们用户协议隐私条款
关注我们

Suppr 超能文献

核心技术专利:CN118964589B侵权必究
粤ICP备2023148730 号-1Suppr @ 2026

文献检索

告别复杂PubMed语法,用中文像聊天一样搜索,搜遍4000万医学文献。AI智能推荐,让科研检索更轻松。

立即免费搜索

文件翻译

保留排版,准确专业,支持PDF/Word/PPT等文件格式,支持 12+语言互译。

免费翻译文档

深度研究

AI帮你快速写综述,25分钟生成高质量综述,智能提取关键信息,辅助科研写作。

立即免费体验

miRNA-21 调控犬利什曼病中的 CD69 和 IL-10 表达。

miRNA-21 regulates CD69 and IL-10 expression in canine leishmaniasis.

机构信息

Department of Animal Clinic, Surgery and Reproduction, São Paulo State University, School of Veterinary Medicine, Araçatuba, São Paulo, Brazil.

出版信息

PLoS One. 2022 Mar 24;17(3):e0265192. doi: 10.1371/journal.pone.0265192. eCollection 2022.

DOI:10.1371/journal.pone.0265192
PMID:35324917
原文链接:https://pmc.ncbi.nlm.nih.gov/articles/PMC8947396/
Abstract

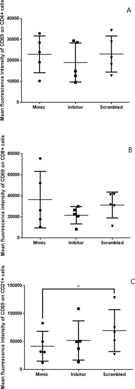
Visceral leishmaniasis in humans is a chronic and fatal disease if left untreated. Canine leishmaniasis (CanL) is a severe public health problem because infected animals are powerful transmitters of the parasite to humans via phlebotomine vectors. Therefore, dogs are an essential target for control measures. Progression of canine infection is accompanied by failure of cellular immunity with reduction of circulating lymphocytes and increased cytokines that suppress macrophage function. Studies showed that the regulation of the effector function of macrophages and T cells appears to depend on miRNAs; miRNA-21 (miR-21) shows increased expression in splenic leukocytes of dogs with CanL and targets genes related to the immune response. Mimics and inhibitors of miR-21 were used in vitro to transfect splenic leukocytes from dogs with CanL. After transfection, expression levels of the proteins FAS, FASL, CD69, CCR7, TNF-α, IL-17, IFN-γ, and IL-10 were measured. FAS, FASL, CD69, and CCR7 expression levels decreased in splenic leukocytes from dogs with CanL. The miR-21 mimic decreased CD69 expression in splenic leukocytes from CanL and healthy groups. The miR-21 inhibitor decreased IL-10 levels in culture supernatants from splenic leukocytes in the CanL group. These findings suggest that miR-21 alters the immune response in CanL; therefore, miR-21 could be used as a possible therapeutic target for CanL.

摘要

内脏利什曼病如果不治疗,在人类中是一种慢性和致命的疾病。犬利什曼病(CanL)是一个严重的公共卫生问题,因为受感染的动物通过白蛉媒介向人类传播寄生虫的能力很强。因此,狗是控制措施的重要目标。犬感染的进展伴随着细胞免疫的失败,循环淋巴细胞减少,细胞因子增加,抑制巨噬细胞功能。研究表明,巨噬细胞和 T 细胞效应功能的调节似乎依赖于 microRNA;microRNA-21(miR-21)在患有 CanL 的犬脾白细胞中表达增加,并靶向与免疫反应相关的基因。miR-21 的模拟物和抑制剂在体外用于转染患有 CanL 的犬的脾白细胞。转染后,测量 FAS、FASL、CD69、CCR7、TNF-α、IL-17、IFN-γ 和 IL-10 蛋白的表达水平。患有 CanL 的犬脾白细胞中的 FAS、FASL、CD69 和 CCR7 表达水平降低。miR-21 模拟物降低了 CanL 和健康组脾白细胞中的 CD69 表达。miR-21 抑制剂降低了 CanL 组脾白细胞培养上清液中的 IL-10 水平。这些发现表明,miR-21 改变了 CanL 中的免疫反应;因此,miR-21 可以用作 CanL 的潜在治疗靶标。

https://cdn.ncbi.nlm.nih.gov/pmc/blobs/b02e/8947396/df65d6826ab0/pone.0265192.g005.jpg
https://cdn.ncbi.nlm.nih.gov/pmc/blobs/b02e/8947396/51558b9b1866/pone.0265192.g001.jpg
https://cdn.ncbi.nlm.nih.gov/pmc/blobs/b02e/8947396/62fd8f6d3e02/pone.0265192.g002.jpg
https://cdn.ncbi.nlm.nih.gov/pmc/blobs/b02e/8947396/14b4dc8735af/pone.0265192.g003.jpg
https://cdn.ncbi.nlm.nih.gov/pmc/blobs/b02e/8947396/70238d7bb49d/pone.0265192.g004.jpg
https://cdn.ncbi.nlm.nih.gov/pmc/blobs/b02e/8947396/df65d6826ab0/pone.0265192.g005.jpg
https://cdn.ncbi.nlm.nih.gov/pmc/blobs/b02e/8947396/51558b9b1866/pone.0265192.g001.jpg
https://cdn.ncbi.nlm.nih.gov/pmc/blobs/b02e/8947396/62fd8f6d3e02/pone.0265192.g002.jpg
https://cdn.ncbi.nlm.nih.gov/pmc/blobs/b02e/8947396/14b4dc8735af/pone.0265192.g003.jpg
https://cdn.ncbi.nlm.nih.gov/pmc/blobs/b02e/8947396/70238d7bb49d/pone.0265192.g004.jpg
https://cdn.ncbi.nlm.nih.gov/pmc/blobs/b02e/8947396/df65d6826ab0/pone.0265192.g005.jpg

相似文献

1
miRNA-21 regulates CD69 and IL-10 expression in canine leishmaniasis.miRNA-21 调控犬利什曼病中的 CD69 和 IL-10 表达。
PLoS One. 2022 Mar 24;17(3):e0265192. doi: 10.1371/journal.pone.0265192. eCollection 2022.
2
miR-148a regulation interferes in inflammatory cytokine and parasitic load in canine leishmaniasis.miR-148a 的调控会干扰犬利什曼病中的炎症细胞因子和寄生虫载量。
PLoS Negl Trop Dis. 2023 Jan 31;17(1):e0011039. doi: 10.1371/journal.pntd.0011039. eCollection 2023 Jan.
3
Induction of miR 21 impairs the anti-Leishmania response through inhibition of IL-12 in canine splenic leukocytes.miR-21 的诱导通过抑制犬脾白细胞中的 IL-12 来损害抗利什曼原虫反应。
PLoS One. 2019 Dec 11;14(12):e0226192. doi: 10.1371/journal.pone.0226192. eCollection 2019.
4
MicroRNA-194 regulates parasitic load and IL-1β-dependent nitric oxide production in the peripheral blood mononuclear cells of dogs with leishmaniasis.微小 RNA-194 调控利什曼病犬外周血单个核细胞中的寄生虫载量和白细胞介素-1β 依赖型一氧化氮的产生。
PLoS Negl Trop Dis. 2024 Jan 19;18(1):e0011789. doi: 10.1371/journal.pntd.0011789. eCollection 2024 Jan.
5
Interleukin-27 Regulates Adaptative Immune Responses Associated With Control of Parasite Replication in Canine Leishmaniasis.白细胞介素-27 调节与犬利什曼病寄生虫复制控制相关的适应性免疫反应。
Parasite Immunol. 2024 Oct;46(10):e13063. doi: 10.1111/pim.13063.
6
MiR-150 regulates the Leishmania infantum parasitic load and granzyme B levels in peripheral blood mononuclear cells of dogs with canine visceral leishmaniosis.miR-150 调控犬内脏利什曼病患者外周血单个核细胞中的利什曼原虫寄生负荷和颗粒酶 B 水平。
Vet Parasitol. 2023 Aug;320:109958. doi: 10.1016/j.vetpar.2023.109958. Epub 2023 May 22.
7
Combined in vitro IL-12 and IL-15 stimulation promotes cellular immune response in dogs with visceral leishmaniasis.联合体外 IL-12 和 IL-15 刺激可促进内脏利什曼病犬的细胞免疫反应。
PLoS Negl Trop Dis. 2020 Jan 21;14(1):e0008021. doi: 10.1371/journal.pntd.0008021. eCollection 2020 Jan.
8
Cutaneous immune mechanisms in canine leishmaniosis due to Leishmania infantum.婴儿利什曼原虫所致犬利什曼病的皮肤免疫机制
Vet Immunol Immunopathol. 2015 Feb 15;163(3-4):94-102. doi: 10.1016/j.vetimm.2014.11.011. Epub 2014 Nov 20.
9
Regulatory effect of PGE on microbicidal activity and inflammatory cytokines in canine leishmaniasis.前列腺素 E 对犬利什曼病的杀菌活性和炎症细胞因子的调节作用。
Parasite Immunol. 2020 Jun;42(6):e12713. doi: 10.1111/pim.12713. Epub 2020 Apr 6.
10
Low CXCL13 expression, splenic lymphoid tissue atrophy and germinal center disruption in severe canine visceral leishmaniasis.严重犬内脏利什曼病中 CXCL13 表达降低、脾淋巴组织萎缩和生发中心破坏。
PLoS One. 2012;7(1):e29103. doi: 10.1371/journal.pone.0029103. Epub 2012 Jan 5.

引用本文的文献

1
Genetic Regulation of Immune Response in Dogs.犬类免疫反应的遗传调控
Genes (Basel). 2025 Jun 29;16(7):764. doi: 10.3390/genes16070764.
2
Leishmania infantum infection modulates messenger RNA, microRNA and long non-coding RNA expression in human neutrophils in vitro.婴儿利什曼原虫感染可调节人中性粒细胞中信使 RNA、microRNA 和长非编码 RNA 的表达。
PLoS Negl Trop Dis. 2024 Jul 19;18(7):e0012318. doi: 10.1371/journal.pntd.0012318. eCollection 2024 Jul.
3
Extracellular Vesicles from Contribute in Stimulating Immune Response and Immunosuppression in Hosts with Visceral Leishmaniasis.

本文引用的文献

1
Induction of miR 21 impairs the anti-Leishmania response through inhibition of IL-12 in canine splenic leukocytes.miR-21 的诱导通过抑制犬脾白细胞中的 IL-12 来损害抗利什曼原虫反应。
PLoS One. 2019 Dec 11;14(12):e0226192. doi: 10.1371/journal.pone.0226192. eCollection 2019.
2
Adenovirus-mediated down-regulation of miR-21-5p alleviates experimental autoimmune uveoretinitis in mice.腺病毒介导的 miR-21-5p 下调缓解实验性自身免疫性葡萄膜炎在小鼠中的作用。
Int Immunopharmacol. 2019 Sep;74:105698. doi: 10.1016/j.intimp.2019.105698. Epub 2019 Jun 19.
3
Relationship of peripheral blood mononuclear cells miRNA expression and parasitic load in canine visceral leishmaniasis.
来自内脏利什曼病宿主的细胞外囊泡在刺激免疫反应和免疫抑制中发挥作用。
Microorganisms. 2024 Jan 27;12(2):270. doi: 10.3390/microorganisms12020270.
4
Circulating miR-21 Overexpression Correlates with PDCD4 and IL-10 in Systemic Lupus Erythematosus (SLE): A Promising Diagnostic and Prognostic Biomarker.循环miR-21过表达与系统性红斑狼疮(SLE)中的PDCD4和IL-10相关:一种有前景的诊断和预后生物标志物。
Rep Biochem Mol Biol. 2023 Jul;12(2):220-232. doi: 10.61186/rbmb.12.2.220.
5
A review on microRNA detection and expression studies in dogs.犬类微小RNA检测与表达研究综述
Front Vet Sci. 2023 Oct 5;10:1261085. doi: 10.3389/fvets.2023.1261085. eCollection 2023.
6
MicroRNA-21 and microRNA-148a affects PTEN, NO and ROS in canine leishmaniasis.微小RNA-21和微小RNA-148a影响犬利什曼病中的PTEN、一氧化氮和活性氧。
Front Genet. 2023 Apr 13;14:1106496. doi: 10.3389/fgene.2023.1106496. eCollection 2023.
犬内脏利什曼病外周血单个核细胞 miRNA 表达与寄生虫负荷的关系。
PLoS One. 2018 Dec 5;13(12):e0206876. doi: 10.1371/journal.pone.0206876. eCollection 2018.
4
miR-21 silencing ameliorates experimental autoimmune encephalomyelitis by promoting the differentiation of IL-10-producing B cells.通过促进产生白细胞介素-10的B细胞分化,miR-21沉默可改善实验性自身免疫性脑脊髓炎。
Oncotarget. 2017 Oct 6;8(55):94069-94079. doi: 10.18632/oncotarget.21578. eCollection 2017 Nov 7.
5
Effect of MicroRNA-21 Transfection on In-vitro Differentiation of Human Naive CD4+ T Cells to Regulatory T Cells.微小RNA-21转染对人初始CD4+ T细胞体外分化为调节性T细胞的影响
Iran J Allergy Asthma Immunol. 2017 Jun;16(3):235-244.
6
CD69: from activation marker to metabolic gatekeeper.CD69:从激活标志物到代谢守门人
Eur J Immunol. 2017 Jun;47(6):946-953. doi: 10.1002/eji.201646837.
7
The effects of increased heme oxygenase-1 on the lymphoproliferative response in dogs with visceral leishmaniasis.血红素加氧酶-1增加对内脏利什曼病犬淋巴细胞增殖反应的影响。
Immunobiology. 2017 May;222(5):693-703. doi: 10.1016/j.imbio.2016.12.006. Epub 2016 Dec 30.
8
Natural canine infection by Leishmania infantum and Leishmania amazonensis and their implications for disease control.婴儿利什曼原虫和亚马逊利什曼原虫的自然犬类感染及其对疾病控制的影响。
Rev Bras Parasitol Vet. 2016 Oct-Dec;25(4):465-469. doi: 10.1590/S1984-29612016071. Epub 2016 Dec 1.
9
Leishmania infantum-specific production of IFN-γ and IL-10 in stimulated blood from dogs with clinical leishmaniosis.来自患有临床利什曼病的犬只的经刺激血液中针对婴儿利什曼原虫的γ干扰素和白细胞介素-10的产生
Parasit Vectors. 2016 Jun 3;9(1):317. doi: 10.1186/s13071-016-1598-y.
10
Impairment of Interleukin-17A Expression in Canine Visceral Leishmaniosis is Correlated with Reduced Interferon-γ and Inducible Nitric Oxide Synthase Expression.犬内脏利什曼病中白细胞介素-17A表达受损与干扰素-γ和诱导型一氧化氮合酶表达降低相关。
J Comp Pathol. 2015 Nov;153(4):197-205. doi: 10.1016/j.jcpa.2015.10.174. Epub 2015 Nov 14.