Park Jong Eel, Lee Tae Hyun, Ham Song Lim, Subedi Lalita, Hong Seong Min, Kim Sun Yeou, Choi Sang Un, Kim Chung Sub, Lee Kang Ro
School of Pharmacy, Sungkyunkwan University, Suwon 16419, Korea.
Korea Environment Corporation, 42 Hwangyeong-ro, Seo-gu, Incheon 22689, Korea.
Antioxidants (Basel). 2022 Feb 28;11(3):482. doi: 10.3390/antiox11030482.
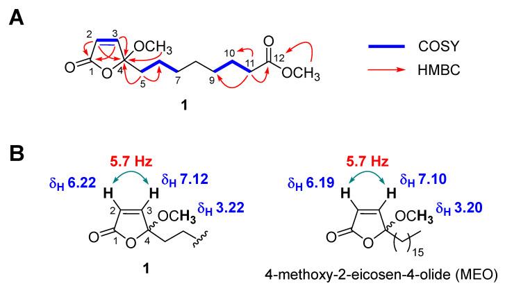
Wasabi ( (Miq.) Matsum.) is a pungent spice commonly consumed with sushi and sashimi. From the roots of this plant, a new 2-butenolide derivative () and 17 previously reported compounds (-) were isolated and structurally characterized. Their chemical structures were characterized based on the conventional NMR (H and C, COSY, HSQC, and HMBC) and HRESIMS data analysis. All of these phytochemicals (-) were evaluated for their antiproliferative effects on the four human tumor cell lines (A549, SK-OV-3, SK-MEL-2, and MKN-1), for their inhibitory activity on nitric oxide (NO) production in lipopolysaccharide (LPS)-activated BV-2 microglia cells, and for their nerve growth factor (NGF)-releasing effect from C6 glioma cells. Among the isolated compounds, compound showed powerful antiproliferative activities against A549 and SK-MEL-2 cell lines with IC values of 2.10 and 9.08 μM, respectively. Moreover, the new compound exhibited moderate NO inhibition activity with IC value of 45.3 μM.
山葵(Wasabi ( (Miq.) Matsum.))是一种常与寿司和生鱼片一起食用的辛辣香料。从这种植物的根部分离出一种新的2-丁烯内酯衍生物()和17种先前报道的化合物(-),并对其进行了结构表征。它们的化学结构通过常规的核磁共振(氢谱和碳谱、COSY、HSQC和HMBC)以及高分辨电喷雾电离质谱数据分析进行表征。对所有这些植物化学物质(-)进行了评估,考察它们对四种人类肿瘤细胞系(A549、SK-OV-3、SK-MEL-2和MKN-1)的抗增殖作用、对脂多糖(LPS)激活的BV-2小胶质细胞中一氧化氮(NO)产生的抑制活性以及它们从C6胶质瘤细胞中释放神经生长因子(NGF)的作用。在分离出的化合物中,化合物 对A549和SK-MEL-2细胞系显示出强大的抗增殖活性,IC值分别为2.10和9.08 μM。此外,新化合物 表现出中等程度的NO抑制活性,IC值为45.3 μM。