Suppr超能文献

富含亚麻籽胶的高蛋白粉末饮料的抗氧化成分与抗氧化能力

Antioxidant Content and Antioxidant Capacity of the Protein-Rich Powdered Beverages Enriched with Flax Seeds Gum.

作者信息

Bochnak-Niedźwiecka Justyna, Szymanowska Urszula, Kapusta Ireneusz, Świeca Michał

机构信息

Department of Biochemistry and Food Chemistry, University of Life Sciences, Skromna Str. 8, 20-704 Lublin, Poland.

Department of Food Technology and Human Nutrition, Rzeszów University, Zelwerowicza Str. 4, 35-601 Rzeszow, Poland.

出版信息

Antioxidants (Basel). 2022 Mar 18;11(3):582. doi: 10.3390/antiox11030582.

Abstract

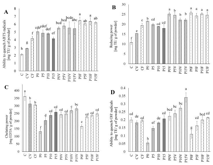
Powdered beverages produced from dried fruit and vegetables are new products whose properties may be tailored by adding efficient nutrients and functional ingredients. The analyses of low-molecular antioxidants and antioxidant properties as well as nutrient content and digestibility were tested in beverages enriched with lentil proteins (AGF) and flaxseed gum (FSG). A replacement of sprouted lentil flour with the AGF deteriorated the phenolic content. As a main source of phenolics and vitamin C, lyophilized parsley leaves and broccoli sprouts were recognized. (There was no clear effect of the FGS.) The highest content of phenolics was determined in the beverages with these additives without the AGS (c.a. 125 μg/g). The AGF significantly improved the ability to quench ABTS radicals and reduce power. The best results were for the beverages without the FSG. (The effect was enhanced by lyophilized fruit and green vegetables.) The lowest chelating power and ability to quench hydroxyl radicals were in the beverages based on the AGF (improvement by the FSG and green vegetables). The tailoring of beverages' recipes significantly increased protein content and did not affect nutrient digestibility. The modifications allow obtaining the beverages exhibiting multidirectional antioxidant properties, being a source of easily bioaccessible starch and proteins.

摘要

由干果蔬制成的粉末状饮料是新产品,其特性可通过添加有效营养成分和功能成分来定制。对富含小扁豆蛋白(AGF)和亚麻籽胶(FSG)的饮料进行了低分子抗氧化剂和抗氧化性能分析以及营养成分和消化率测试。用AGF替代发芽小扁豆粉会降低酚类含量。冻干欧芹叶和西兰花芽被认为是酚类和维生素C的主要来源。(FSG没有明显影响。)在不含AGS的添加这些成分的饮料中,酚类含量最高(约125μg/g)。AGF显著提高了淬灭ABTS自由基和还原能力。不含FSG的饮料效果最佳。(冻干水果和绿色蔬菜增强了这种效果。)基于AGF的饮料螯合能力和淬灭羟基自由基的能力最低(FSG和绿色蔬菜可改善)。饮料配方的定制显著提高了蛋白质含量,且不影响营养成分的消化率。这些改良使得能够获得具有多向抗氧化性能、且是易于生物利用的淀粉和蛋白质来源的饮料。

https://cdn.ncbi.nlm.nih.gov/pmc/blobs/2992/8945751/c6a5b0cb3e65/antioxidants-11-00582-g001.jpg

文献检索

告别复杂PubMed语法,用中文像聊天一样搜索,搜遍4000万医学文献。AI智能推荐,让科研检索更轻松。

立即免费搜索

文件翻译

保留排版,准确专业,支持PDF/Word/PPT等文件格式,支持 12+语言互译。

免费翻译文档

深度研究

AI帮你快速写综述,25分钟生成高质量综述,智能提取关键信息,辅助科研写作。

立即免费体验