Suppr超能文献

酚类植物源饲料添加剂对田间条件下遭受热应激的初产母猪某些氧化损伤生物标志物及生产性能的影响

Effects of Phenolic Phytogenic Feed Additives on Certain Oxidative Damage Biomarkers and the Performance of Primiparous Sows Exposed to Heat Stress under Field Conditions.

作者信息

Papatsiros Vasileios G, Katsogiannou Eleni G, Papakonstantinou Georgios I, Michel Alfred, Petrotos Konstantinos, Athanasiou Labrini V

机构信息

Clinic of Medicine, Faculty of Veterinary Medicine, School of Health Sciences, University of Thessaly, Trikalon 224, 43100 Karditsa, Greece.

Life Circle Nutrition AG, Hämmerli 2d, 8855 Wangen, Switzerland.

出版信息

Antioxidants (Basel). 2022 Mar 20;11(3):593. doi: 10.3390/antiox11030593.

Abstract

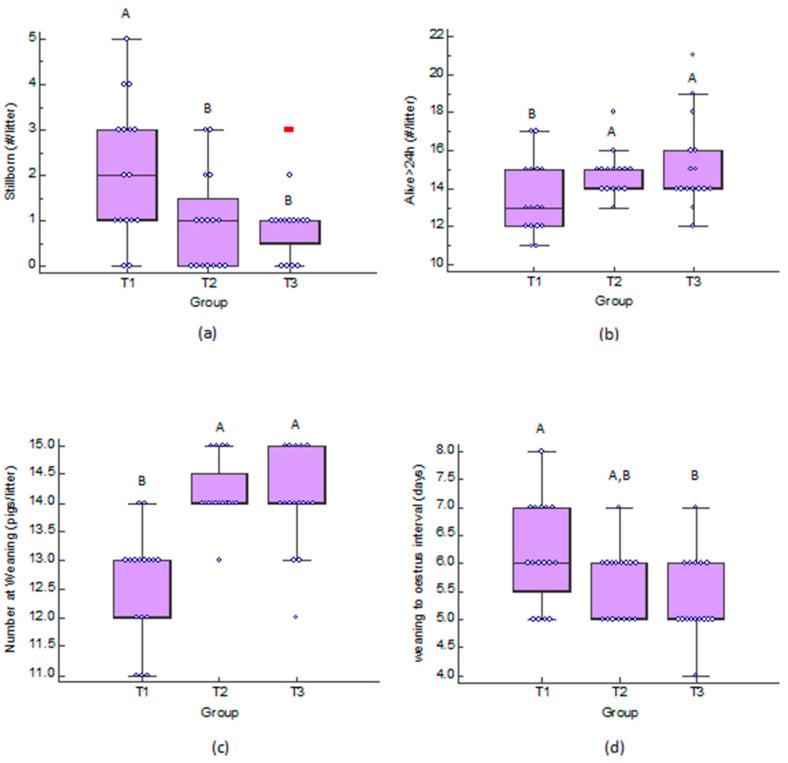
The aim of this study was to investigate the effects of two commercial phenolic phytogenic feed additives (PFAs) on sows under heat stress conditions of high summer temperatures for seven days before and seven days after the farrowing. The PFA-1 product was a mixture based on the plants , , and nut fiber, while the PFA-2 product was a mixture based on plants , , and nut fiber. A total of 48 primiparous sows were divided into three groups: T1-control group: regular gestation (GF) and lactation feed (LF); T2 group: regular GF and LF supplemented with PFA-1; T3 group: regular GF and LF supplemented with PFA-2. Each sow in the T2 and T3 groups received 5 g daily of the PFA-1 and PFA-2 product, respectively, for seven days before and seven days after the farrowing. Blood samples were collected from all groups 24 h after farrowing. Thiobarbituric acid--reactive substances (TBARS) and protein carbonyl (CARB) concentrations were determined in the sow plasma. The body condition scoring (BCS) and the backfat of sows on the farrowing and weaning days along with reproductive parameters and litter characteristics were recorded. The highest number of stillborn piglets and the largest interval from weaning to estrus were observed in the T1 group. The lowest number of alive 24 h after birth and weaning piglets and the lowest BCS and backfat at weaning were also recorded in the T1 group. TBARS and CARB concentrations were significant higher in the T1 group compared to all other groups. In conclusion, the use of phenolic PFAs seems to reduce oxidative damage caused by heat stress and ameliorate performance in primiparous sows.

摘要

本研究的目的是调查两种商业酚类植物源饲料添加剂(PFAs)对处于夏季高温热应激条件下的母猪在分娩前7天和分娩后7天的影响。PFA - 1产品是一种基于[植物名称1]、[植物名称2]、[植物名称3]和坚果纤维的混合物,而PFA - 2产品是一种基于[植物名称4]、[植物名称5]、[植物名称6]和坚果纤维的混合物。总共48头初产母猪被分为三组:T1对照组:常规妊娠(GF)和泌乳饲料(LF);T2组:常规GF和LF并添加PFA - 1;T3组:常规GF和LF并添加PFA - 2。T2组和T3组的每头母猪在分娩前7天和分娩后7天分别每天接受5克PFA - 1和PFA - 2产品。分娩后24小时从所有组采集血样。测定母猪血浆中的硫代巴比妥酸反应性物质(TBARS)和蛋白质羰基(CARB)浓度。记录分娩日和断奶日母猪的体况评分(BCS)、背膘以及繁殖参数和窝仔特征。在T1组中观察到死胎数量最多,断奶至发情的间隔时间最长。T1组还记录到出生后24小时存活仔猪和断奶仔猪数量最少,断奶时BCS和背膘最低。与所有其他组相比,T1组的TBARS和CARB浓度显著更高。总之,使用酚类PFAs似乎可以减少热应激引起的氧化损伤,并改善初产母猪的性能。

https://cdn.ncbi.nlm.nih.gov/pmc/blobs/bd32/8945155/db6429890309/antioxidants-11-00593-g001.jpg

文献检索

告别复杂PubMed语法,用中文像聊天一样搜索,搜遍4000万医学文献。AI智能推荐,让科研检索更轻松。

立即免费搜索

文件翻译

保留排版,准确专业,支持PDF/Word/PPT等文件格式,支持 12+语言互译。

免费翻译文档

深度研究

AI帮你快速写综述,25分钟生成高质量综述,智能提取关键信息,辅助科研写作。

立即免费体验