• 文献检索
  • 文档翻译
  • 深度研究
  • 学术资讯
  • Suppr Zotero 插件Zotero 插件
  • 邀请有礼
  • 套餐&价格
  • 历史记录
应用&插件
Suppr Zotero 插件Zotero 插件浏览器插件Mac 客户端Windows 客户端微信小程序
定价
高级版会员购买积分包购买API积分包
服务
文献检索文档翻译深度研究API 文档MCP 服务
关于我们
关于 Suppr公司介绍联系我们用户协议隐私条款
关注我们

Suppr 超能文献

核心技术专利:CN118964589B侵权必究
粤ICP备2023148730 号-1Suppr @ 2026

文献检索

告别复杂PubMed语法,用中文像聊天一样搜索,搜遍4000万医学文献。AI智能推荐,让科研检索更轻松。

立即免费搜索

文件翻译

保留排版,准确专业,支持PDF/Word/PPT等文件格式,支持 12+语言互译。

免费翻译文档

深度研究

AI帮你快速写综述,25分钟生成高质量综述,智能提取关键信息,辅助科研写作。

立即免费体验

304 例涎腺导管癌患者预后相关临床因素分析:日本多机构回顾性分析。

The implicated clinical factors for outcomes in 304 patients with salivary duct carcinoma: Multi-institutional retrospective analysis in Japan.

机构信息

Department of Pathology, Shizuoka General Hospital, Shizuoka, Japan.

Division of Clinical Biostatistics, Research Support Center, Shizuoka General Hospital, Shizuoka, Japan.

出版信息

Head Neck. 2022 Jun;44(6):1430-1441. doi: 10.1002/hed.27034. Epub 2022 Mar 29.

DOI:10.1002/hed.27034
PMID:35352425
原文链接:
https://pmc.ncbi.nlm.nih.gov/articles/PMC9311811/
Abstract

BACKGROUND

Salivary duct carcinoma (SDC) is a high-grade salivary malignancy that frequently occurs as the carcinomatous component of carcinoma ex pleomorphic adenoma. We herein examined the clinical factors affecting outcomes in a large cohort of SDC.

METHODS

We selected 304 SDC cases and investigated clinical characteristics and the factors affecting outcomes.

RESULTS

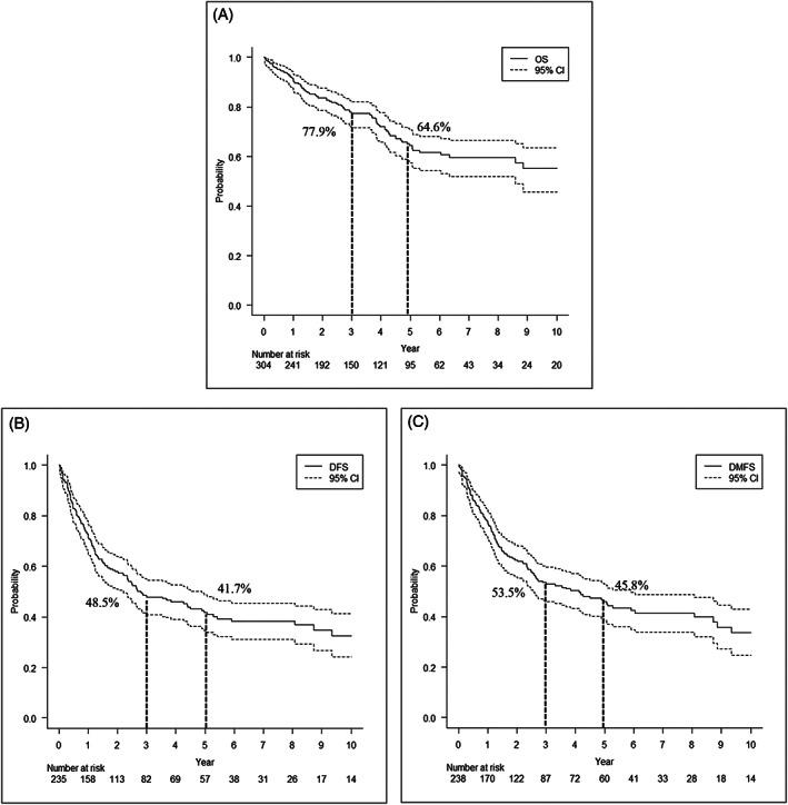
The median age of the cases examined was 68 years, the most common primary site was the parotid gland (238 cases), and there was a male predominance (M/F = 5:1). Outcomes were significantly worse when the primary tumor site was the minor salivary glands (SG) than when it was the major SG. Outcomes were also significantly worse in pN(+) cases (161 cases) than in pN0 cases, particularly those with a metastatic lymph node number ≥11. The cumulative incidence of relapse and distant metastases was significantly higher in stage IV cases than in stage 0-III cases.

CONCLUSIONS

The absolute number of lymph node metastases, higher stages, and the minor SG as the primary tumor site were identified as factors affecting the outcome of SDC.

摘要

背景

涎腺导管癌(SDC)是一种高级别涎腺癌,常作为多形性腺瘤癌变的癌性成分出现。本研究旨在探讨影响大样本 SDC 患者预后的临床因素。

方法

我们选择了 304 例 SDC 病例,研究了其临床特征和影响预后的因素。

结果

所研究病例的中位年龄为 68 岁,最常见的原发部位是腮腺(238 例),且以男性为主(M/F=5:1)。与主要涎腺(SG)相比,小涎腺(SG)原发肿瘤患者的预后明显更差。pN(+)病例(161 例)的预后明显差于 pN0 病例,特别是淋巴结转移数≥11 的病例。IV 期病例的复发和远处转移累积发生率明显高于 0-III 期病例。

结论

淋巴结转移的绝对数量、较高的分期和小涎腺作为原发肿瘤部位是影响 SDC 患者预后的因素。

https://cdn.ncbi.nlm.nih.gov/pmc/blobs/0caa/9311811/ca5d727cf995/HED-44-1430-g005.jpg
https://cdn.ncbi.nlm.nih.gov/pmc/blobs/0caa/9311811/e386d174cc84/HED-44-1430-g003.jpg
https://cdn.ncbi.nlm.nih.gov/pmc/blobs/0caa/9311811/6cf4e1ff93f1/HED-44-1430-g001.jpg
https://cdn.ncbi.nlm.nih.gov/pmc/blobs/0caa/9311811/71b8630cafc6/HED-44-1430-g002.jpg
https://cdn.ncbi.nlm.nih.gov/pmc/blobs/0caa/9311811/b22f88829a0a/HED-44-1430-g004.jpg
https://cdn.ncbi.nlm.nih.gov/pmc/blobs/0caa/9311811/ca5d727cf995/HED-44-1430-g005.jpg
https://cdn.ncbi.nlm.nih.gov/pmc/blobs/0caa/9311811/e386d174cc84/HED-44-1430-g003.jpg
https://cdn.ncbi.nlm.nih.gov/pmc/blobs/0caa/9311811/6cf4e1ff93f1/HED-44-1430-g001.jpg
https://cdn.ncbi.nlm.nih.gov/pmc/blobs/0caa/9311811/71b8630cafc6/HED-44-1430-g002.jpg
https://cdn.ncbi.nlm.nih.gov/pmc/blobs/0caa/9311811/b22f88829a0a/HED-44-1430-g004.jpg
https://cdn.ncbi.nlm.nih.gov/pmc/blobs/0caa/9311811/ca5d727cf995/HED-44-1430-g005.jpg

相似文献

1
The implicated clinical factors for outcomes in 304 patients with salivary duct carcinoma: Multi-institutional retrospective analysis in Japan.304 例涎腺导管癌患者预后相关临床因素分析:日本多机构回顾性分析。
Head Neck. 2022 Jun;44(6):1430-1441. doi: 10.1002/hed.27034. Epub 2022 Mar 29.
2
Salivary duct carcinoma: A report of 70 FNA cases and review of the literature.涎腺导管癌 70 例细针抽吸细胞学诊断分析及文献复习
Cancer Cytopathol. 2022 Aug;130(8):595-608. doi: 10.1002/cncy.22568. Epub 2022 Mar 7.
3
A 20-Year Review of 75 Cases of Salivary Duct Carcinoma.75例涎腺导管癌的20年回顾
JAMA Otolaryngol Head Neck Surg. 2016 May 1;142(5):489-95. doi: 10.1001/jamaoto.2015.3930.
4
Parotid salivary duct carcinoma: a single institution's 20-year experience.腮腺涎腺癌:一家机构的20年经验
Eur Arch Otorhinolaryngol. 2019 Jul;276(7):2031-2038. doi: 10.1007/s00405-019-05454-0. Epub 2019 May 6.
5
Salivary duct carcinoma.涎腺导管癌
Otolaryngol Head Neck Surg. 2003 Dec;129(6):720-5. doi: 10.1016/S0194-59980301386-X.
6
Salivary duct carcinoma and the concept of early carcinoma ex pleomorphic adenoma.涎腺导管癌与早发多形性腺瘤恶变概念
Histopathology. 2014 Dec;65(6):854-60. doi: 10.1111/his.12454. Epub 2014 Oct 30.
7
[Salivary duct carcinoma--a clinicopathological analysis of five cases].[涎腺导管癌——5例临床病理分析]
Otolaryngol Pol. 2007;61(1):33-8. doi: 10.1016/S0030-6657(07)70380-3.
8
Immunohistochemical expression of mammaglobin in salivary duct carcinomas de novo and salivary duct carcinoma ex pleomorphic adenoma.乳腺珠蛋白在涎腺导管癌原发和涎腺多形性腺瘤恶变中的免疫组化表达。
Hum Pathol. 2019 Oct;92:59-66. doi: 10.1016/j.humpath.2019.08.001. Epub 2019 Aug 8.
9
[Clinicopathological analysis of 40 cases of salivary duct carcinoma].40例涎腺导管癌的临床病理分析
Zhonghua Kou Qiang Yi Xue Za Zhi. 2019 Jun 9;54(6):416-419. doi: 10.3760/cma.j.issn.1002-0098.2019.06.014.
10
Differential expression of TRKB tyrosine kinase in the two histological types of parotid salivary duct carcinoma with cancer aggressiveness.TRKB 酪氨酸激酶在具有侵袭性的两种腮腺涎管癌组织学类型中的差异表达。
Oral Oncol. 2024 Apr;151:106751. doi: 10.1016/j.oraloncology.2024.106751. Epub 2024 Mar 12.

引用本文的文献

1
Clinical diagnosis, treatment, and survival analysis of 61 cases of salivary duct carcinoma: a retrospective study.61例涎腺导管癌的临床诊断、治疗及生存分析:一项回顾性研究
PeerJ. 2025 Jul 4;13:e19626. doi: 10.7717/peerj.19626. eCollection 2025.
2
Epidermal Growth Factor Receptor (EGFR) Downregulation by Cetuximab in Salivary Duct Carcinoma: A Case Report.西妥昔单抗对涎腺导管癌表皮生长因子受体(EGFR)的下调作用:一例报告
Cureus. 2025 May 8;17(5):e83763. doi: 10.7759/cureus.83763. eCollection 2025 May.
3
Oncocytic Tumors in the Salivary Gland: Cytopathological, Pathological, and Molecular Features.

本文引用的文献

1
Systemic therapy in the management of recurrent or metastatic salivary duct carcinoma: A systematic review.系统治疗在复发性或转移性涎腺癌中的应用:一项系统评价。
Cancer Treat Rev. 2020 Sep;89:102069. doi: 10.1016/j.ctrv.2020.102069. Epub 2020 Jul 15.
2
Development of a predictive nomogram for cause-specific mortality in surgically resected early-stage oesophageal cancer: a Surveillance, Epidemiology, and End Results (SEER) analysis.手术切除的早期食管癌特定病因死亡率预测列线图的开发:一项监测、流行病学和最终结果(SEER)分析
J Thorac Dis. 2020 May;12(5):2583-2594. doi: 10.21037/jtd.2020.03.25.
3
Competing-risks model for predicting the prognosis of penile cancer based on the SEER database.
涎腺嗜酸性细胞瘤:细胞病理学、病理学及分子特征
Acta Cytol. 2025 Apr 1:1-12. doi: 10.1159/000544802.
4
Salivary duct carcinoma in the submandibular gland: A rare case report with differential diagnosis.下颌下腺涎腺导管癌:一例罕见病例报告及鉴别诊断
J Oral Maxillofac Pathol. 2024 Apr-Jun;28(2):311-314. doi: 10.4103/jomfp.jomfp_476_23. Epub 2024 Jul 11.
5
Parotid Gland Tumors: Molecular Diagnostic Approaches.腮腺肿瘤:分子诊断方法。
Int J Mol Sci. 2024 Jul 4;25(13):7350. doi: 10.3390/ijms25137350.
6
The extent of androgen receptor and HER2 expression allows for targeted therapy in most cases of salivary duct carcinoma: analysis of clinical and histopathological data in a tertiary care center.雄激素受体和 HER2 表达的程度可使大多数唾液腺癌病例能够进行靶向治疗:在三级护理中心的临床和组织病理学数据分析。
Eur Arch Otorhinolaryngol. 2024 Jul;281(7):3779-3789. doi: 10.1007/s00405-024-08627-8. Epub 2024 Apr 8.
7
Prognostic factors for sublingual gland carcinoma: a population-based Surveillance, Epidemiology and End Results database study.舌下腺癌的预后因素:基于人群的监测、流行病学和最终结果数据库研究。
J Int Med Res. 2023 Nov;51(11):3000605231187940. doi: 10.1177/03000605231187940.
8
Comprehensive diagnosis and treatment of ductal carcinoma of the submandibular gland: case report and literature review.下颌下腺导管癌的综合诊疗:病例报告与文献复习
Int J Clin Exp Pathol. 2023 Mar 15;16(3):67-75. eCollection 2023.
9
Prognostic models for estimating survival of salivary duct carcinoma: a population-based study.用于估计涎腺癌生存的预后模型:一项基于人群的研究。
Eur Arch Otorhinolaryngol. 2023 Apr;280(4):1939-1954. doi: 10.1007/s00405-022-07755-3. Epub 2022 Nov 23.
基于 SEER 数据库的预测阴茎癌预后的竞争风险模型。
Cancer Med. 2019 Dec;8(18):7881-7889. doi: 10.1002/cam4.2649. Epub 2019 Oct 27.
4
Androgen receptor immunohistochemistry in salivary duct carcinoma: a retrospective study of 188 cases focusing on tumoral heterogeneity and temporal concordance.唾液腺癌中雄激素受体免疫组化:聚焦肿瘤异质性和时间一致性的 188 例回顾性研究。
Hum Pathol. 2019 Nov;93:30-36. doi: 10.1016/j.humpath.2019.08.007. Epub 2019 Aug 17.
5
An investigative expansion of a competing risk model for first failure site in locally advanced non-small cell lung cancer.局部晚期非小细胞肺癌首次失败部位的竞争风险模型的探索性扩展。
Acta Oncol. 2019 Oct;58(10):1386-1392. doi: 10.1080/0284186X.2019.1631475. Epub 2019 Jul 4.
6
Adjuvant androgen deprivation therapy for poor-risk, androgen receptor-positive salivary duct carcinoma.辅助雄激素剥夺疗法用于风险较高、雄激素受体阳性的唾液腺癌。
Eur J Cancer. 2019 Mar;110:62-70. doi: 10.1016/j.ejca.2018.12.035. Epub 2019 Feb 13.
7
Phase II Trial of Trastuzumab and Docetaxel in Patients With Human Epidermal Growth Factor Receptor 2-Positive Salivary Duct Carcinoma.人表皮生长因子受体 2 阳性唾液腺癌患者曲妥珠单抗和多西他赛的 II 期临床试验。
J Clin Oncol. 2019 Jan 10;37(2):125-134. doi: 10.1200/JCO.18.00545. Epub 2018 Nov 19.
8
Salivary duct carcinoma: Prospective multicenter study of 61 cases of the Réseau d'Expertise Français des Cancers ORL Rares.唾液腺癌:法国罕见头颈部肿瘤专家网络的 61 例前瞻性多中心研究。
Head Neck. 2019 Mar;41(3):584-591. doi: 10.1002/hed.25194. Epub 2018 Nov 13.
9
Acquisition of resistance to androgen deprivation therapy in salivary duct carcinoma: A case report.涎腺导管癌中雄激素剥夺治疗耐药的获得:一例报告
Rare Tumors. 2018 Sep 19;10:2036361318798867. doi: 10.1177/2036361318798867. eCollection 2018.
10
A clinicopathological study and prognostic factor analysis of 177 salivary duct carcinoma patients from The Netherlands.荷兰 177 例涎腺导管癌患者的临床病理研究和预后因素分析。
Int J Cancer. 2018 Aug 15;143(4):758-766. doi: 10.1002/ijc.31353. Epub 2018 Mar 23.