• 文献检索
  • 文档翻译
  • 深度研究
  • 学术资讯
  • Suppr Zotero 插件Zotero 插件
  • 邀请有礼
  • 套餐&价格
  • 历史记录
应用&插件
Suppr Zotero 插件Zotero 插件浏览器插件Mac 客户端Windows 客户端微信小程序
定价
高级版会员购买积分包购买API积分包
服务
文献检索文档翻译深度研究API 文档MCP 服务
关于我们
关于 Suppr公司介绍联系我们用户协议隐私条款
关注我们

Suppr 超能文献

核心技术专利:CN118964589B侵权必究
粤ICP备2023148730 号-1Suppr @ 2026

文献检索

告别复杂PubMed语法,用中文像聊天一样搜索,搜遍4000万医学文献。AI智能推荐,让科研检索更轻松。

立即免费搜索

文件翻译

保留排版,准确专业,支持PDF/Word/PPT等文件格式,支持 12+语言互译。

免费翻译文档

深度研究

AI帮你快速写综述,25分钟生成高质量综述,智能提取关键信息,辅助科研写作。

立即免费体验

加拿大艾伯塔省埃德蒙顿市南亚成年人样本中的电子健康素养:2014年一项基于社区的调查的子分析

eHealth Literacy in a Sample of South Asian Adults in Edmonton, Alberta, Canada: Subanalysis of a 2014 Community-Based Survey.

作者信息

Makowsky Mark J, Davachi Shahnaz, Jones Charlotte A

机构信息

Faculty of Pharmacy and Pharmaceutical Sciences, University of Alberta, Edmonton, AB, Canada.

Primary Health Care, Alberta Health Services, Calgary, AB, Canada.

出版信息

JMIR Form Res. 2022 Mar 30;6(3):e29955. doi: 10.2196/29955.

DOI:10.2196/29955
PMID:35353044
原文链接:https://pmc.ncbi.nlm.nih.gov/articles/PMC9008520/
Abstract

BACKGROUND

Digital health interventions are efficient and flexible methods for enhancing the prevention and management of cardiovascular disease and type 2 diabetes. However, little is known about the characteristics associated with eHealth literacy in the Canadian South Asian population.

OBJECTIVE

The aim of this study is to describe perceived eHealth literacy and explore the extent to which it is associated with sociodemographic, health status, and technology use variables in a subset of South Asian Canadians.

METHODS

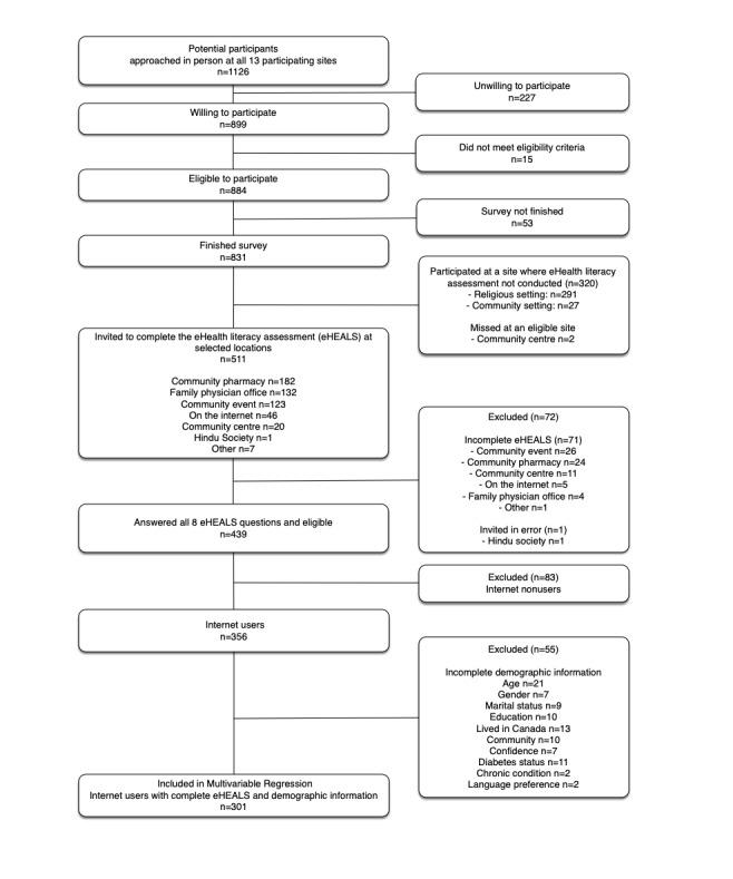
We analyzed data from the e-Patient Project survey, a mixed-mode cross-sectional survey that occurred in 2014. The eHealth Literacy Scale (eHEALS) was used to measure eHealth literacy in a convenience sample of 511 English- or Punjabi-speaking South Asian adults recruited from a community pharmacy, a family physician office, and community events in Edmonton, Alberta. Multivariable quantile regression was used to explore variables associated with eHealth literacy.

RESULTS

The analysis was restricted to 301 internet users (mean age 39.9, SD 14.8 years; 166/301, 55.1% female) who provided responses to all 8 eHEALS questions and complete demographic information. The mean overall eHEALS score was 29.3 (SD 6.8) out of 40, and 71.4% (215/301) agreed to at least 5 out of the 8 eHEALS items. The eHEALS item with the lowest level of agreement was "I can tell high-quality health resources from low-quality health resources on the internet" (182/301, 60.5%). Although there were statistically significant differences in eHEALS scores according to age, educational achievement, language preference, and the presence of chronic medical conditions, multivariable regression analysis indicated that language preference was the only variable independently associated with eHealth literacy (coefficient -6.0, 95% CI -9.61 to -2.39).

CONCLUSIONS

In our sample of South Asian Canadian internet users, preference for written health information in languages other than English was associated with lower eHealth literacy. Opportunities exist to improve eHealth literacy using culturally and linguistically tailored interventions.

摘要

背景

数字健康干预是增强心血管疾病和2型糖尿病预防与管理的高效且灵活的方法。然而,对于加拿大南亚人群中与电子健康素养相关的特征知之甚少。

目的

本研究旨在描述感知到的电子健康素养,并探讨其在一部分加拿大南亚人群中与社会人口统计学、健康状况及技术使用变量的关联程度。

方法

我们分析了2014年开展的一项混合模式横断面调查——电子患者项目调查的数据。使用电子健康素养量表(eHEALS)对从艾伯塔省埃德蒙顿市的一家社区药房、一家家庭医生诊所及社区活动中招募的511名讲英语或旁遮普语的南亚成年便利样本进行电子健康素养测量。采用多变量分位数回归来探究与电子健康素养相关的变量。

结果

分析仅限于301名互联网用户(平均年龄39.9岁,标准差14.8岁;166/301,55.1%为女性),他们对eHEALS的所有8个问题都给出了回答并提供了完整的人口统计学信息。eHEALS的总体平均得分为40分中的29.3分(标准差6.8),71.4%(215/301)的人对eHEALS的8个项目中至少5个表示认同。认同度最低的eHEALS项目是“我能在互联网上区分高质量和低质量的健康资源”(182/301,60.5%)。尽管根据年龄、教育程度、语言偏好和慢性疾病状况,eHEALS得分存在统计学上的显著差异,但多变量回归分析表明,语言偏好是唯一与电子健康素养独立相关的变量(系数-6.0,95%置信区间-9.61至-2.39)。

结论

在我们的加拿大南亚互联网用户样本中,对非英语书面健康信息的偏好与较低的电子健康素养相关。存在通过文化和语言定制的干预措施来提高电子健康素养的机会。

https://cdn.ncbi.nlm.nih.gov/pmc/blobs/6711/9008520/978dd36c55cf/formative_v6i3e29955_fig2.jpg
https://cdn.ncbi.nlm.nih.gov/pmc/blobs/6711/9008520/dc7cfe59b774/formative_v6i3e29955_fig1.jpg
https://cdn.ncbi.nlm.nih.gov/pmc/blobs/6711/9008520/978dd36c55cf/formative_v6i3e29955_fig2.jpg
https://cdn.ncbi.nlm.nih.gov/pmc/blobs/6711/9008520/dc7cfe59b774/formative_v6i3e29955_fig1.jpg
https://cdn.ncbi.nlm.nih.gov/pmc/blobs/6711/9008520/978dd36c55cf/formative_v6i3e29955_fig2.jpg

相似文献

1
eHealth Literacy in a Sample of South Asian Adults in Edmonton, Alberta, Canada: Subanalysis of a 2014 Community-Based Survey.加拿大艾伯塔省埃德蒙顿市南亚成年人样本中的电子健康素养:2014年一项基于社区的调查的子分析
JMIR Form Res. 2022 Mar 30;6(3):e29955. doi: 10.2196/29955.
2
Prevalence and Predictors of Health-Related Internet and Digital Device Use in a Sample of South Asian Adults in Edmonton, Alberta, Canada: Results From a 2014 Community-Based Survey.在加拿大阿尔伯塔省埃德蒙顿的一个南亚成年人样本中,与健康相关的互联网和数字设备使用的流行率及其预测因素:2014 年基于社区的调查结果。
JMIR Public Health Surveill. 2021 Jan 8;7(1):e20671. doi: 10.2196/20671.
3
Ill Literates or Illiterates? Investigating the eHealth Literacy of Users of Online Health Communities.文盲还是健康知识匮乏者?探究在线健康社区用户的电子健康素养
J Med Internet Res. 2017 Oct 4;19(10):e331. doi: 10.2196/jmir.7372.
4
Relationship Between Coronavirus-Related eHealth Literacy and COVID-19 Knowledge, Attitudes, and Practices among US Adults: Web-Based Survey Study.美国成年人中与冠状病毒相关的电子健康素养与COVID-19知识、态度和行为之间的关系:基于网络的调查研究
J Med Internet Res. 2021 Mar 29;23(3):e25042. doi: 10.2196/25042.
5
[Developing Japanese version of the eHealth Literacy Scale (eHEALS)].[开发日本版的电子健康素养量表(eHEALS)]
Nihon Koshu Eisei Zasshi. 2011 May;58(5):361-71.
6
Associations Between Sociodemographic Characteristics, eHealth Literacy, and Health-Promoting Lifestyle Among University Students in Taipei: Cross-Sectional Validation Study of the Chinese Version of the eHealth Literacy Scale.台北大学生社会人口特征、电子健康素养与促进健康生活方式之间的关联:电子健康素养量表中文版的横断面验证研究。
J Med Internet Res. 2024 Jul 18;26:e52314. doi: 10.2196/52314.
7
Correlation Between eHealth Literacy and Health Literacy Using the eHealth Literacy Scale and Real-Life Experiences in the Health Sector as a Proxy Measure of Functional Health Literacy: Cross-Sectional Web-Based Survey.使用电子健康素养量表及卫生部门的实际生活经历作为功能性健康素养的替代指标,探讨电子健康素养与健康素养之间的相关性:基于网络的横断面调查
J Med Internet Res. 2018 Oct 31;20(10):e281. doi: 10.2196/jmir.9401.
8
eHEALS: The eHealth Literacy Scale.eHEALS:电子健康素养量表。
J Med Internet Res. 2006 Nov 14;8(4):e27. doi: 10.2196/jmir.8.4.e27.
9
The Korean eHealth Literacy Scale (K-eHEALS): Reliability and Validity Testing in Younger Adults Recruited Online.韩国电子健康素养量表(K-eHEALS):对在线招募的年轻人进行的信效度测试
J Med Internet Res. 2018 Apr 20;20(4):e138. doi: 10.2196/jmir.8759.
10
Electronic Health Literacy Among Magnetic Resonance Imaging and Computed Tomography Medical Imaging Outpatients: Cluster Analysis.磁共振成像和计算机断层扫描医学影像门诊患者的电子健康素养:聚类分析
J Med Internet Res. 2019 Aug 28;21(8):e13423. doi: 10.2196/13423.

引用本文的文献

1
Digital Health Literacy in Patients With Common Chronic Diseases: Systematic Review and Meta-Analysis.常见慢性病患者的数字健康素养:系统评价与荟萃分析
J Med Internet Res. 2025 Aug 25;27:e56231. doi: 10.2196/56231.
2
Effectiveness of Interventions to Improve Digital Health Literacy in Forced Migrant Populations: Mixed Methods Systematic Review.改善被迫迁移人群数字健康素养的干预措施的有效性:混合方法系统评价
J Med Internet Res. 2025 Jun 25;27:e69880. doi: 10.2196/69880.
3
Factors Influencing eHealth Literacy Related to Parenting Among Asian Immigrant Mothers in South Korea.

本文引用的文献

1
Group differences in health literacy are ameliorated in ehealth literacy.健康素养方面的群体差异在电子健康素养中得到改善。
Health Psychol Behav Med. 2021 May 15;9(1):480-497. doi: 10.1080/21642850.2021.1926256.
2
Shifts in office and virtual primary care during the early COVID-19 pandemic in Ontario, Canada.加拿大安大略省在2019冠状病毒病疫情早期期间门诊和虚拟初级保健的转变。
CMAJ. 2021 Feb 8;193(6):E200-E210. doi: 10.1503/cmaj.202303.
3
Prevalence and Predictors of Health-Related Internet and Digital Device Use in a Sample of South Asian Adults in Edmonton, Alberta, Canada: Results From a 2014 Community-Based Survey.
影响韩国亚洲移民母亲育儿相关电子健康素养的因素
Comput Inform Nurs. 2025 May 1;43(5):e01253. doi: 10.1097/CIN.0000000000001253.
4
Digital Health Literacy and Its Association With Sociodemographic Characteristics, Health Resource Use, and Health Outcomes: Rapid Review.数字健康素养及其与社会人口学特征、健康资源利用和健康结果的关联:快速综述
Interact J Med Res. 2024 Jul 26;13:e46888. doi: 10.2196/46888.
5
Online Health Information-Seeking Behaviours and eHealth Literacy among First-Generation Chinese Immigrants.第一代华裔移民的在线健康信息搜索行为和电子健康素养。
Int J Environ Res Public Health. 2023 Feb 16;20(4):3474. doi: 10.3390/ijerph20043474.
6
Factors Influencing eHealth Literacy among Spanish Primary Healthcare Users: Cross-Sectional Study.影响西班牙初级卫生保健用户电子健康素养的因素:横断面研究。
Int J Environ Res Public Health. 2022 Nov 23;19(23):15497. doi: 10.3390/ijerph192315497.
在加拿大阿尔伯塔省埃德蒙顿的一个南亚成年人样本中,与健康相关的互联网和数字设备使用的流行率及其预测因素:2014 年基于社区的调查结果。
JMIR Public Health Surveill. 2021 Jan 8;7(1):e20671. doi: 10.2196/20671.
4
The COVID-19 social media infodemic.新冠病毒肺炎疫情相关社交媒体信息疫情。
Sci Rep. 2020 Oct 6;10(1):16598. doi: 10.1038/s41598-020-73510-5.
5
Accelerated importance of eHealth literacy in the COVID-19 outbreak and beyond.电子健康素养在新冠疫情及之后的重要性与日俱增。
Eur J Cardiovasc Nurs. 2020 Aug;19(6):458-461. doi: 10.1177/1474515120941307. Epub 2020 Jul 15.
6
ehealth literacy and health literacy among immigrants and their descendants compared with women of Danish origin: a cross-sectional study using a multidimensional approach among pregnant women.与丹麦裔女性相比,移民及其后代的电子健康素养和健康素养:一项对孕妇采用多维度方法的横断面研究。
BMJ Open. 2020 May 7;10(5):e037076. doi: 10.1136/bmjopen-2020-037076.
7
Current level of technology use, health and eHealth literacy in older Canadians with a recent fracture-a survey in orthopedic clinics.当前技术使用水平、近期骨折老年加拿大人的健康和电子健康素养——骨科诊所调查。
Osteoporos Int. 2020 Jul;31(7):1333-1340. doi: 10.1007/s00198-020-05359-3. Epub 2020 Feb 28.
8
Type 2 Diabetes and Atherosclerotic Cardiovascular Disease in South Asians: a Unique Population with a Growing Challenge.南亚人群的 2 型糖尿病与动脉粥样硬化性心血管疾病:一个具有日益严峻挑战的独特人群。
Curr Diab Rep. 2020 Jan 30;20(1):4. doi: 10.1007/s11892-020-1291-6.
9
Online Health Information Seeking and eHealth Literacy Among Patients Attending a Primary Care Clinic in Hong Kong: A Cross-Sectional Survey.香港基层医疗诊所患者的在线健康信息搜索与电子健康素养:一项横断面调查
J Med Internet Res. 2019 Mar 27;21(3):e10831. doi: 10.2196/10831.
10
Older Adults' Internet Use for Health Information: Digital Divide by Race/Ethnicity and Socioeconomic Status.老年人对互联网健康信息的使用:按种族/民族和社会经济地位划分的数字鸿沟。
J Appl Gerontol. 2020 Jan;39(1):105-110. doi: 10.1177/0733464818770772. Epub 2018 Apr 16.