Suppr超能文献

一项在中国单一中心的 950 例患者中,通过性别分析血清白蛋白水平与房颤关系的回顾性研究。

A Retrospective Study to Determine the Association Between Serum Albumin Levels and Atrial Fibrillation by Sex in 950 Patients from a Single Center in China.

机构信息

First Clinical Medical College, Shandong University of Traditional Chinese Medicine, Jinan, Shandong, China (mainland).

Department of Cardiology, Affiliated Hospital of Shandong University of Traditional Chinese Medicine, Jinan, Shandong, China (mainland).

出版信息

Med Sci Monit. 2022 Apr 8;28:e935347. doi: 10.12659/MSM.935347.

Abstract

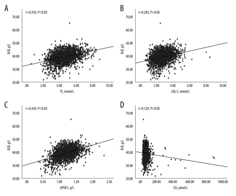
BACKGROUND It remains unclear whether there is a sex difference in the association between serum albumin (ALB) and atrial fibrillation (AF). This retrospective case-control study from a single center in China aimed to determine the association between serum ALB levels and AF by sex in 950 patients. MATERIAL AND METHODS Data of 950 AF patients and 963 age- and sex-matched non-AF patients with sinus rhythm were collected and analyzed retrospectively. Clinical baseline data were analyzed using the t test or Mann-Whitney U test, analysis of variance (ANOVA), and chi-square test. The interrelationships were determined by Pearson correlation analysis, and multivariate logistic regression analysis was performed to adjust for covariables. RESULTS ALB levels of AF patients were significantly lower in both sexes (P<0.05), especially paroxysmal AF. ALB was positively correlated with total cholesterol (TC) (r=0.359, P<0.05), low-density lipoprotein cholesterol (LDL-C) (r=0.283, P<0.05), and serum apolipoprotein A1 (APOA1) (r=0.429, P<0.05) and was negatively correlated with serum creatinine (SCr) (r=0.129, P<0.05) in patients with AF. We found an independent negative association between ALB levels and AF in men after adjusting for confounding factors (OR=0.889, 95% CI: 0.845-0.934, P<0.05). CONCLUSIONS In patients at a single center in China, low serum ALB levels in male patients were significantly associated with AF. These findings support those from previous studies in other populations and highlight the importance of monitoring and treating the cause of hypoalbuminemia in cardiac patients.

摘要

背景

血清白蛋白(ALB)与心房颤动(AF)之间的关联是否存在性别差异尚不清楚。本研究回顾性分析了来自中国单中心的 950 例患者的数据,旨在确定血清 ALB 水平与 AF 之间的相关性,并按性别进行分层分析。

方法

回顾性收集了 950 例 AF 患者和 963 例年龄和性别匹配的窦性心律非 AF 患者的临床资料。采用 t 检验或 Mann-Whitney U 检验、方差分析(ANOVA)和卡方检验比较两组间的临床基线资料,采用 Pearson 相关分析评估各变量间的相关性,采用多因素 logistic 回归分析校正混杂因素。

结果

AF 患者的 ALB 水平在男女两性中均显著降低(P<0.05),尤其在阵发性 AF 患者中更为明显。ALB 与总胆固醇(TC)(r=0.359,P<0.05)、低密度脂蛋白胆固醇(LDL-C)(r=0.283,P<0.05)和血清载脂蛋白 A1(APOA1)(r=0.429,P<0.05)呈正相关,与血清肌酐(SCr)(r=-0.129,P<0.05)呈负相关。在校正混杂因素后,我们发现 ALB 水平与男性 AF 之间存在独立的负相关关系(OR=0.889,95%CI:0.845-0.934,P<0.05)。

结论

在中国单中心人群中,男性患者的低血清 ALB 水平与 AF 显著相关。这些发现支持了其他人群的研究结果,并强调了监测和治疗心脏患者低白蛋白血症病因的重要性。

https://cdn.ncbi.nlm.nih.gov/pmc/blobs/9a8e/9004327/be16fbca4963/medscimonit-28-e935347-g001.jpg

文献AI研究员

20分钟写一篇综述,助力文献阅读效率提升50倍。

立即体验

用中文搜PubMed

大模型驱动的PubMed中文搜索引擎

马上搜索

文档翻译

学术文献翻译模型,支持多种主流文档格式。

立即体验