• 文献检索
  • 文档翻译
  • 深度研究
  • 学术资讯
  • Suppr Zotero 插件Zotero 插件
  • 邀请有礼
  • 套餐&价格
  • 历史记录
应用&插件
Suppr Zotero 插件Zotero 插件浏览器插件Mac 客户端Windows 客户端微信小程序
定价
高级版会员购买积分包购买API积分包
服务
文献检索文档翻译深度研究API 文档MCP 服务
关于我们
关于 Suppr公司介绍联系我们用户协议隐私条款
关注我们

Suppr 超能文献

核心技术专利:CN118964589B侵权必究
粤ICP备2023148730 号-1Suppr @ 2026

文献检索

告别复杂PubMed语法,用中文像聊天一样搜索,搜遍4000万医学文献。AI智能推荐,让科研检索更轻松。

立即免费搜索

文件翻译

保留排版,准确专业,支持PDF/Word/PPT等文件格式,支持 12+语言互译。

免费翻译文档

深度研究

AI帮你快速写综述,25分钟生成高质量综述,智能提取关键信息,辅助科研写作。

立即免费体验

Pooideae 中的主要生态位转变与光周期开花的变化和 CCT 结构域基因的进化相关。

Major niche transitions in Pooideae correlate with variation in photoperiodic flowering and evolution of CCT domain genes.

机构信息

Department of Plant Sciences, Faculty of Biosciences, Norwegian University of Life Sciences, 1432 Ås, Norway.

Department of Animal and Aquacultural Sciences, Faculty of Biosciences, Norwegian University of Life Sciences, 1432 Ås, Norway.

出版信息

J Exp Bot. 2022 Jun 24;73(12):4079-4093. doi: 10.1093/jxb/erac149.

DOI:10.1093/jxb/erac149
PMID:35394528
原文链接:https://pmc.ncbi.nlm.nih.gov/articles/PMC9232202/
Abstract

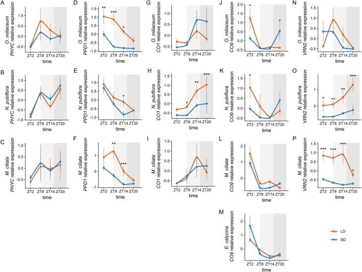
The external cues that trigger timely flowering vary greatly across tropical and temperate plant taxa, the latter relying on predictable seasonal fluctuations in temperature and photoperiod. In the grass family (Poaceae) for example, species of the subfamily Pooideae have become specialists of the northern temperate hemisphere, generating the hypothesis that their progenitor evolved a flowering response to long days from a short-day or day-neutral ancestor. Sampling across the Pooideae, we found support for this hypothesis, and identified several secondary shifts to day-neutral flowering and one to short-day flowering in a tropical highland clade. To explain the proximate mechanisms for the secondary transition back to short-day-regulated flowering, we investigated the expression of CCT domain genes, some of which are known to repress flowering in cereal grasses under specific photoperiods. We found a shift in CONSTANS 1 and CONSTANS 9 expression that coincides with the derived short-day photoperiodism of our exemplar species Nassella pubiflora. This sets up the testable hypothesis that trans- or cis-regulatory elements of these CCT domain genes were the targets of selection for major niche shifts in Pooideae grasses.

摘要

触发适时开花的外部线索在热带和温带植物类群中差异很大,后者依赖于温度和光周期可预测的季节性波动。例如,在禾本科(Poaceae)中,Pooid 亚科的物种已成为北温带的专家,这一假说认为它们的祖先从短日或中性日祖先进化出了对长日的开花反应。在 Pooid 亚科中进行采样,我们支持了这一假说,并在热带高地类群中发现了几个向中性日开花和一个向短日开花的次要转变。为了解释向短日调节开花的次要转变的近似机制,我们研究了 CCT 结构域基因的表达,其中一些基因已知在特定光周期下抑制谷类作物的开花。我们发现 CONSTANS 1 和 CONSTANS 9 的表达发生了转变,这与我们的典型物种 Nassella pubiflora 的衍生短日光周期制相吻合。这提出了一个可测试的假设,即这些 CCT 结构域基因的顺式或反式调控元件是 Pooid 禾本科植物主要生态位转变的选择目标。

https://cdn.ncbi.nlm.nih.gov/pmc/blobs/6c29/9232202/9a00e8f25b56/erac149f0005.jpg
https://cdn.ncbi.nlm.nih.gov/pmc/blobs/6c29/9232202/779edd1ab938/erac149f0001.jpg
https://cdn.ncbi.nlm.nih.gov/pmc/blobs/6c29/9232202/710f7a3f0239/erac149f0002.jpg
https://cdn.ncbi.nlm.nih.gov/pmc/blobs/6c29/9232202/3d86f02d09ec/erac149f0003.jpg
https://cdn.ncbi.nlm.nih.gov/pmc/blobs/6c29/9232202/8ecc959acc39/erac149f0004.jpg
https://cdn.ncbi.nlm.nih.gov/pmc/blobs/6c29/9232202/9a00e8f25b56/erac149f0005.jpg
https://cdn.ncbi.nlm.nih.gov/pmc/blobs/6c29/9232202/779edd1ab938/erac149f0001.jpg
https://cdn.ncbi.nlm.nih.gov/pmc/blobs/6c29/9232202/710f7a3f0239/erac149f0002.jpg
https://cdn.ncbi.nlm.nih.gov/pmc/blobs/6c29/9232202/3d86f02d09ec/erac149f0003.jpg
https://cdn.ncbi.nlm.nih.gov/pmc/blobs/6c29/9232202/8ecc959acc39/erac149f0004.jpg
https://cdn.ncbi.nlm.nih.gov/pmc/blobs/6c29/9232202/9a00e8f25b56/erac149f0005.jpg

相似文献

1
Major niche transitions in Pooideae correlate with variation in photoperiodic flowering and evolution of CCT domain genes.Pooideae 中的主要生态位转变与光周期开花的变化和 CCT 结构域基因的进化相关。
J Exp Bot. 2022 Jun 24;73(12):4079-4093. doi: 10.1093/jxb/erac149.
2
Evolution of the miR5200-FLOWERING LOCUS T flowering time regulon in the temperate grass subfamily Pooideae.温带禾本科早熟禾亚科中miR5200-成花素基因座T开花时间调控子的进化
Mol Phylogenet Evol. 2017 Sep;114:111-121. doi: 10.1016/j.ympev.2017.06.005. Epub 2017 Jun 8.
3
Evolution of VRN2/Ghd7-Like Genes in Vernalization-Mediated Repression of Grass Flowering.春化介导的禾本科植物开花抑制过程中VRN2/Ghd7类基因的进化
Plant Physiol. 2016 Apr;170(4):2124-35. doi: 10.1104/pp.15.01279. Epub 2016 Feb 4.
4
CONSTANS is a photoperiod regulated activator of flowering in sorghum.CONSTANS是高粱中受光周期调控的开花激活因子。
BMC Plant Biol. 2014 May 28;14:148. doi: 10.1186/1471-2229-14-148.
5
PHYTOCHROME C is an essential light receptor for photoperiodic flowering in the temperate grass, Brachypodium distachyon.光敏色素C是温带禾本科植物二穗短柄草光周期开花所必需的光受体。
Genetics. 2014 Sep;198(1):397-408. doi: 10.1534/genetics.114.166785. Epub 2014 Jul 14.
6
Wheat flowering repressor VRN2 and promoter CO2 compete for interactions with NUCLEAR FACTOR-Y complexes.小麦开花抑制因子 VRN2 和启动子 CO2 竞争与核因子-Y 复合物的相互作用。
Plant J. 2011 Sep;67(5):763-73. doi: 10.1111/j.1365-313X.2011.04630.x. Epub 2011 Jun 21.
7
CCT domain-containing genes in cereal crops: flowering time and beyond.谷物作物中的 CCT 结构域基因:开花时间及其他。
Theor Appl Genet. 2020 May;133(5):1385-1396. doi: 10.1007/s00122-020-03554-8. Epub 2020 Jan 31.
8
Photoperiodic flowering: time measurement mechanisms in leaves.光周期开花:叶片中的时间测量机制
Annu Rev Plant Biol. 2015;66:441-64. doi: 10.1146/annurev-arplant-043014-115555. Epub 2014 Dec 12.
9
Interaction of photoperiod and vernalization determines flowering time of Brachypodium distachyon.光周期和春化作用的相互作用决定了短柄草的开花时间。
Plant Physiol. 2014 Feb;164(2):694-709. doi: 10.1104/pp.113.232678. Epub 2013 Dec 19.
10
Regulation of flowering in temperate cereals.温带谷物开花的调控
Curr Opin Plant Biol. 2009 Apr;12(2):178-84. doi: 10.1016/j.pbi.2008.12.010. Epub 2009 Feb 3.

引用本文的文献

1
Historic rewiring of grass flowering time pathways and implications for crop improvement under climate change.禾本科植物开花时间途径的历史重塑及其对气候变化下作物改良的意义。
New Phytol. 2025 Mar;245(5):1864-1878. doi: 10.1111/nph.20375. Epub 2024 Dec 26.
2
Evolution of drought and frost responses in cool season grasses (Pooideae): was drought tolerance a precursor to frost tolerance?冷季型禾草(Poaceae)干旱和霜冻响应的演化:耐旱性是否是抗寒性的前提?
J Exp Bot. 2024 Oct 30;75(20):6405-6422. doi: 10.1093/jxb/erae316.
3
Genome-Wide Identification, Expression, and Molecular Characterization of the Gene Family in Seven Orchid Species.

本文引用的文献

1
Control of flowering and reproduction in temperate grasses.温带禾本科植物开花与繁殖的调控
New Phytol. 1994 Oct;128(2):347-362. doi: 10.1111/j.1469-8137.1994.tb04019.x.
2
Stepwise increases in FT1 expression regulate seasonal progression of flowering in wheat (Triticum aestivum).FT1表达的逐步增加调控小麦(普通小麦)开花的季节进程。
New Phytol. 2021 Jan;229(2):1163-1176. doi: 10.1111/nph.16910. Epub 2020 Oct 31.
3
Structural Insight into DNA Recognition by CCT/NF-YB/YC Complexes in Plant Photoperiodic Flowering.植物光周期开花中 CCT/NF-YB/YC 复合物识别 DNA 的结构见解。
七种兰花中基因家族的全基因组鉴定、表达和分子特征分析。
Int J Mol Sci. 2023 Nov 27;24(23):16825. doi: 10.3390/ijms242316825.
4
Melica as an emerging model system for comparative studies in temperate Pooideae grasses.麦李作为温带禾本科植物比较研究中的新兴模式系统。
Ann Bot. 2023 Dec 30;132(7):1175-1190. doi: 10.1093/aob/mcad136.
5
Convergent evolution of the annual life history syndrome from perennial ancestors.从多年生祖先向一年生生活史综合征的趋同进化。
Front Plant Sci. 2023 Jan 4;13:1048656. doi: 10.3389/fpls.2022.1048656. eCollection 2022.
Plant Cell. 2020 Nov;32(11):3469-3484. doi: 10.1105/tpc.20.00067. Epub 2020 Aug 25.
4
Epistatic interactions between PHOTOPERIOD1, CONSTANS1 and CONSTANS2 modulate the photoperiodic response in wheat.光周期 1、CONSTANS1 和 CONSTANS2 之间的上位性相互作用调节小麦的光周期反应。
PLoS Genet. 2020 Jul 13;16(7):e1008812. doi: 10.1371/journal.pgen.1008812. eCollection 2020 Jul.
5
Understanding Past, and Predicting Future, Niche Transitions based on Grass Flowering Time Variation.理解过去,预测未来:基于草本植物花期变化的生态位转移。
Plant Physiol. 2020 Jul;183(3):822-839. doi: 10.1104/pp.20.00100. Epub 2020 May 13.
6
Genetic Interactions Among Ghd7, Ghd8, OsPRR37 and Hd1 Contribute to Large Variation in Heading Date in Rice.Ghd7、Ghd8、OsPRR37和Hd1之间的基因互作导致水稻抽穗期的巨大变异。
Rice (N Y). 2019 Jul 15;12(1):48. doi: 10.1186/s12284-019-0314-x.
7
Switching genetic effects of the flowering time gene in LD conditions by and in rice.在长日照条件下,水稻中开花时间基因的转换遗传效应由[具体因素1]和[具体因素2]引起。
Breed Sci. 2019 Mar;69(1):127-132. doi: 10.1270/jsbbs.18060. Epub 2019 Feb 27.
8
NGPhylogeny.fr: new generation phylogenetic services for non-specialists.NGPhylogeny.fr:面向非专业人士的新一代系统发育服务。
Nucleic Acids Res. 2019 Jul 2;47(W1):W260-W265. doi: 10.1093/nar/gkz303.
9
Leaf shape and size track habitat transitions across forest-grassland boundaries in the grass family (Poaceae).叶片形状和大小可追踪禾本科(Poaceae)在森林-草原边界的栖息地转变。
Evolution. 2019 May;73(5):927-946. doi: 10.1111/evo.13722. Epub 2019 Mar 26.
10
Evolution of Cold Acclimation and Its Role in Niche Transition in the Temperate Grass Subfamily Pooideae.温带禾本科草亚科的冷适应进化及其在生态位转移中的作用。
Plant Physiol. 2019 May;180(1):404-419. doi: 10.1104/pp.18.01448. Epub 2019 Mar 8.