Suppr超能文献

大环含氮杂环的合成、配位及生物性能研究进展

Insights on the Synthesis of N-Heterocycles Containing Macrocycles and Their Complexion and Biological Properties.

机构信息

Laboratory of Applied Chemistry and Environment-ECOMP, Faculty of Sciences, Mohammed First University, Bd Mohamed VI, Oujda 60000, Morocco.

Department of Pathology, College of Korean Medicine, Kyung Hee University, Seoul 02447, Korea.

出版信息

Molecules. 2022 Mar 25;27(7):2123. doi: 10.3390/molecules27072123.

Abstract

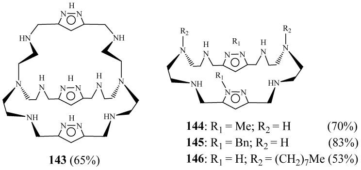
Macrocyclic chemistry has been extensively developed over the past several decades. In fact, the architecture of new macrocyclic models has undergone exponential growth to offer molecules with specific properties. In this context, an attempt is made in this study to provide an overview of some synthetic methods allowing the elaboration of N-heterocycles containing macrocycles (imidazole, triazole, tetrazole, and pyrazole), as well as their applications in the complexation of metal cations or as pharmacological agents.

摘要

大环化学在过去几十年中得到了广泛的发展。事实上,新型大环模型的结构呈指数级增长,为具有特定性质的分子提供了可能。在这种情况下,本研究试图概述一些允许合成含大环(咪唑、三唑、四唑和吡唑)的杂环的方法,以及它们在金属阳离子络合或作为药理学试剂方面的应用。

https://cdn.ncbi.nlm.nih.gov/pmc/blobs/90f7/9000807/ce4f74edf967/molecules-27-02123-g001.jpg

文献检索

告别复杂PubMed语法,用中文像聊天一样搜索,搜遍4000万医学文献。AI智能推荐,让科研检索更轻松。

立即免费搜索

文件翻译

保留排版,准确专业,支持PDF/Word/PPT等文件格式,支持 12+语言互译。

免费翻译文档

深度研究

AI帮你快速写综述,25分钟生成高质量综述,智能提取关键信息,辅助科研写作。

立即免费体验