• 文献检索
  • 文档翻译
  • 深度研究
  • 学术资讯
  • Suppr Zotero 插件Zotero 插件
  • 邀请有礼
  • 套餐&价格
  • 历史记录
应用&插件
Suppr Zotero 插件Zotero 插件浏览器插件Mac 客户端Windows 客户端微信小程序
定价
高级版会员购买积分包购买API积分包
服务
文献检索文档翻译深度研究API 文档MCP 服务
关于我们
关于 Suppr公司介绍联系我们用户协议隐私条款
关注我们

Suppr 超能文献

核心技术专利:CN118964589B侵权必究
粤ICP备2023148730 号-1Suppr @ 2026

文献检索

告别复杂PubMed语法,用中文像聊天一样搜索,搜遍4000万医学文献。AI智能推荐,让科研检索更轻松。

立即免费搜索

文件翻译

保留排版,准确专业,支持PDF/Word/PPT等文件格式,支持 12+语言互译。

免费翻译文档

深度研究

AI帮你快速写综述,25分钟生成高质量综述,智能提取关键信息,辅助科研写作。

立即免费体验

影响英夫利昔单抗产生抗药抗体的因素:一项随机对照试验的二次分析。

Risk factors for anti-drug antibody formation to infliximab: Secondary analyses of a randomised controlled trial.

机构信息

Division of Rheumatology and Research, Diakonhjemmet Hospital, Oslo, Norway.

Institute of Clinical Medicine, University of Oslo, Oslo, Norway.

出版信息

J Intern Med. 2022 Sep;292(3):477-491. doi: 10.1111/joim.13495. Epub 2022 Apr 26.

DOI:10.1111/joim.13495
PMID:35411981
原文链接:https://pmc.ncbi.nlm.nih.gov/articles/PMC9545769/
Abstract

BACKGROUND

Anti-drug antibodies (ADAb) frequently form early in the treatment course of infliximab and other tumour necrosis factor (TNF) inhibitors, leading to treatment failure and adverse events.

OBJECTIVE

To identify risk factors for ADAb in the early phase of infliximab treatment.

METHODS

Patients (n = 410) with immune-mediated inflammatory diseases who initiated infliximab treatment were included in the 38-week Norwegian Drug Monitoring Trial (NOR-DRUM) A and randomised 1:1 to therapeutic drug monitoring (TDM) or standard therapy. Serum levels of infliximab and ADAb were measured at each infusion. Possible risk factors for ADAb formation were assessed using logistic regression, adjusting for potential confounders.

RESULTS

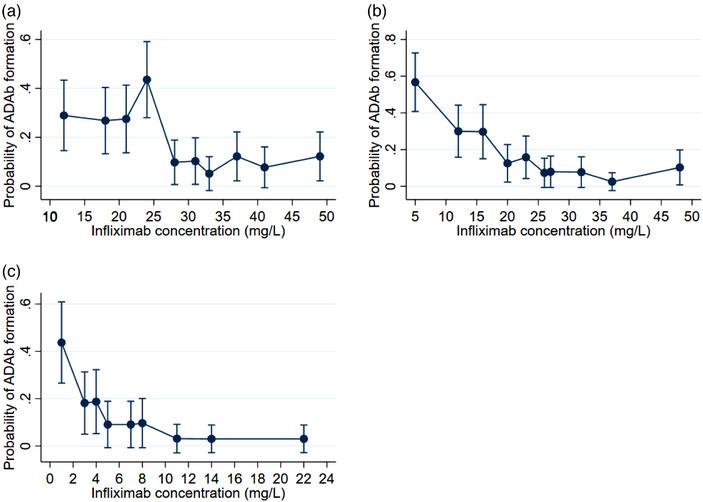
ADAb were detected in 78 (19%) patients. A diagnosis of rheumatoid arthritis (RA) (odds ratio [OR], 1.9 [95% confidence interval [CI] 1.0-3.6]) and lifetime smoking (OR, 2.0 [CI 1.1-3.6]) were baseline risk factors, while baseline use of concomitant immunosuppressors (OR, 0.4 [CI 0.2-0.8]) and a diagnosis of spondyloarthritis (SpA) (OR, 0.4 [CI 0.2-0.8]) reduced the risk of ADAb. Higher disease activity during follow-up (OR, 1.1 [CI 1.0-1.1]) and "drug holidays" of more than 11 weeks (OR, 4.1 [CI 1.2-13.8]) increased the risk of ADAb, whereas higher infliximab doses (OR, 0.1 [CI 0.0-0.3) and higher serum infliximab concentrations (OR, 0.7 [CI 0.6-0.8]) reduced the risk of immunogenicity.

CONCLUSION

Several risk factors for ADAb formation during early-phase infliximab treatment were identified. This knowledge provides a basis for treatment strategies to mitigate the formation of ADAb and identify patients in whom these measures are of particular importance.

摘要

背景

抗药物抗体 (ADAb) 在英夫利昔单抗和其他肿瘤坏死因子 (TNF) 抑制剂的治疗早期经常形成,导致治疗失败和不良事件。

目的

确定英夫利昔单抗治疗早期 ADAb 的风险因素。

方法

本研究纳入了 410 名开始英夫利昔单抗治疗的免疫介导性炎症性疾病患者,他们被纳入了为期 38 周的挪威药物监测试验 (NOR-DRUM) A,并按 1:1 随机分配至治疗药物监测 (TDM) 或标准治疗。在每次输注时测量英夫利昔单抗和 ADAb 的血清水平。使用逻辑回归评估 ADAb 形成的可能风险因素,并针对潜在混杂因素进行调整。

结果

78 名 (19%) 患者检测到 ADAb。类风湿关节炎 (RA) 的诊断 (比值比 [OR],1.9 [95%置信区间 [CI] 1.0-3.6]) 和终生吸烟 (OR,2.0 [CI 1.1-3.6]) 是基线风险因素,而基线时使用伴随免疫抑制剂 (OR,0.4 [CI 0.2-0.8]) 和诊断为脊柱关节炎 (SpA) (OR,0.4 [CI 0.2-0.8]) 降低了 ADAb 的风险。随访期间更高的疾病活动度 (OR,1.1 [CI 1.0-1.1]) 和超过 11 周的“药物假期” (OR,4.1 [CI 1.2-13.8]) 增加了 ADAb 的风险,而更高的英夫利昔单抗剂量 (OR,0.1 [CI 0.0-0.3) 和更高的血清英夫利昔单抗浓度 (OR,0.7 [CI 0.6-0.8]) 降低了免疫原性的风险。

结论

确定了英夫利昔单抗治疗早期 ADAb 形成的几个风险因素。这些知识为治疗策略提供了依据,以减轻 ADAb 的形成,并确定这些措施特别重要的患者。

https://cdn.ncbi.nlm.nih.gov/pmc/blobs/7a7f/9545769/08d0cbd85544/JOIM-292-477-g004.jpg
https://cdn.ncbi.nlm.nih.gov/pmc/blobs/7a7f/9545769/c285e12b7a95/JOIM-292-477-g003.jpg
https://cdn.ncbi.nlm.nih.gov/pmc/blobs/7a7f/9545769/2f6605ea4045/JOIM-292-477-g001.jpg
https://cdn.ncbi.nlm.nih.gov/pmc/blobs/7a7f/9545769/08d0cbd85544/JOIM-292-477-g004.jpg
https://cdn.ncbi.nlm.nih.gov/pmc/blobs/7a7f/9545769/c285e12b7a95/JOIM-292-477-g003.jpg
https://cdn.ncbi.nlm.nih.gov/pmc/blobs/7a7f/9545769/2f6605ea4045/JOIM-292-477-g001.jpg
https://cdn.ncbi.nlm.nih.gov/pmc/blobs/7a7f/9545769/08d0cbd85544/JOIM-292-477-g004.jpg

相似文献

1
Risk factors for anti-drug antibody formation to infliximab: Secondary analyses of a randomised controlled trial.影响英夫利昔单抗产生抗药抗体的因素:一项随机对照试验的二次分析。
J Intern Med. 2022 Sep;292(3):477-491. doi: 10.1111/joim.13495. Epub 2022 Apr 26.
2
Therapeutic drug monitoring of infliximab compared to standard clinical treatment with infliximab: study protocol for a randomised, controlled, open, parallel-group, phase IV study (the NOR-DRUM study).英夫利昔单抗的治疗药物监测与英夫利昔单抗的标准临床治疗比较:一项随机、对照、开放、平行组、四期研究(NOR-DRUM 研究)的研究方案。
Trials. 2020 Jan 6;21(1):13. doi: 10.1186/s13063-019-3734-4.
3
Assessing Immunogenicity of Biologic Drugs in Inflammatory Joint Diseases: Progress Towards Personalized Medicine.评估炎症性关节疾病中生物药物的免疫原性:迈向个体化医学的进展。
BioDrugs. 2022 Nov;36(6):731-748. doi: 10.1007/s40259-022-00559-1. Epub 2022 Oct 31.
4
Comparative Immunogenicity of TNF Inhibitors: Impact on Clinical Efficacy and Tolerability in the Management of Autoimmune Diseases. A Systematic Review and Meta-Analysis.TNF 抑制剂的免疫原性比较:对自身免疫性疾病管理中临床疗效和耐受性的影响。系统评价和荟萃分析。
BioDrugs. 2015 Aug;29(4):241-58. doi: 10.1007/s40259-015-0134-5.
5
Personalized medicine in rheumatoid arthritis: How immunogenicity impacts use of TNF inhibitors.类风湿关节炎的个体化医学:免疫原性如何影响 TNF 抑制剂的应用。
Autoimmun Rev. 2020 May;19(5):102509. doi: 10.1016/j.autrev.2020.102509. Epub 2020 Mar 12.
6
Prediction of successful dose reduction or discontinuation of adalimumab, etanercept, or infliximab in rheumatoid arthritis patients using serum drug levels and antidrug antibody measurement.利用血清药物水平和抗药物抗体测量预测类风湿关节炎患者阿达木单抗、依那西普或英夫利昔单抗成功减药或停药。
Expert Opin Drug Metab Toxicol. 2017 Jun;13(6):597-604. doi: 10.1080/17425255.2017.1320390. Epub 2017 Apr 24.
7
HLA-DQ2 is associated with anti-drug antibody formation to infliximab in patients with immune-mediated inflammatory diseases.HLA-DQ2与免疫介导的炎症性疾病患者中抗英夫利昔单抗抗体的形成有关。
J Intern Med. 2023 May;293(5):648-655. doi: 10.1111/joim.13616. Epub 2023 Feb 26.
8
The frequency of anti-infliximab antibodies in patients with rheumatoid arthritis treated in routine care and the associations with adverse drug reactions and treatment failure.类风湿关节炎患者在常规治疗中抗英夫利昔单抗抗体的频率及其与药物不良反应和治疗失败的关系。
Rheumatology (Oxford). 2013 Jul;52(7):1245-53. doi: 10.1093/rheumatology/ket017. Epub 2013 Mar 4.
9
Higher body mass index and anti-drug antibodies predict the discontinuation of anti-TNF agents in Korean patients with axial spondyloarthritis.较高的体重指数和抗药物抗体可预测韩国轴向型脊柱关节炎患者停用抗TNF药物的情况。
Rev Bras Reumatol. 2016 Nov 15. doi: 10.1016/j.rbr.2016.10.001.
10
Impact of immunogenicity on efficacy and tolerability of tumour necrosis factor inhibitors: pooled analysis of biosimilar studies in rheumatoid arthritis.免疫原性对肿瘤坏死因子抑制剂疗效和耐受性的影响:类风湿关节炎生物类似药研究的汇总分析。
Scand J Rheumatol. 2020 Sep;49(5):361-370. doi: 10.1080/03009742.2020.1732458. Epub 2020 May 29.

引用本文的文献

1
Immunogenicity risk assessment for tailored mitigation and monitoring of biotherapeutics during development: recommendations from the European Immunogenicity Platform.生物治疗药物开发过程中针对个体化缓解和监测的免疫原性风险评估:欧洲免疫原性平台的建议
Front Immunol. 2025 May 22;16:1581153. doi: 10.3389/fimmu.2025.1581153. eCollection 2025.
2
Assessment of biophysical properties of the first-in-class anti-cancer IgE antibody drug MOv18 IgE demonstrates monomeric purity and stability.一流抗癌IgE抗体药物MOv18 IgE的生物物理特性评估表明其具有单体纯度和稳定性。
MAbs. 2025 Dec;17(1):2512211. doi: 10.1080/19420862.2025.2512211. Epub 2025 May 28.
3

本文引用的文献

1
Anti-Drug Antibody Formation Against Biologic Agents in Inflammatory Bowel Disease: A Systematic Review and Meta-Analysis.抗生物制剂的抗药物抗体在炎症性肠病中的形成:系统评价和荟萃分析。
BioDrugs. 2021 Nov;35(6):715-733. doi: 10.1007/s40259-021-00507-5. Epub 2021 Nov 19.
2
A Comprehensive Literature Review and Expert Consensus Statement on Therapeutic Drug Monitoring of Biologics in Inflammatory Bowel Disease.炎症性肠病生物制剂治疗药物监测的全面文献回顾和专家共识声明。
Am J Gastroenterol. 2021 Oct 1;116(10):2014-2025. doi: 10.14309/ajg.0000000000001396.
3
BAFF predicts immunogenicity in older patients with rheumatoid arthritis treated with TNF inhibitors.
Assessing early therapeutic drug monitoring of adalimumab as a predictor of treatment efficacy and immunogenicity in rheumatic diseases: "early therapeutic drug monitoring of adalimumab".
评估阿达木单抗早期治疗药物监测作为风湿病治疗疗效和免疫原性预测指标:“阿达木单抗早期治疗药物监测”
Clin Rheumatol. 2025 Mar;44(3):1009-1018. doi: 10.1007/s10067-025-07307-0. Epub 2025 Jan 18.
4
Adalimumab Autoantibodies in Uveitis Patients: Do We Need Routine Drug Monitoring?葡萄膜炎患者中的阿达木单抗自身抗体:我们需要常规药物监测吗?
Biomedicines. 2024 Dec 6;12(12):2782. doi: 10.3390/biomedicines12122782.
5
The relationship between drug-induced immunogenicity and hypersensitivity reactions and skin tests related to infliximab, etanercept and adalimumab in patients with rheumatoid arthritis and ankylosing spondylitis.类风湿关节炎和强直性脊柱炎患者中与英夫利昔单抗、依那西普和阿达木单抗相关的药物诱导免疫原性、超敏反应及皮肤试验之间的关系。
Turk J Med Sci. 2024 May 16;54(6):1310-1318. doi: 10.55730/1300-0144.5914. eCollection 2024.
6
Therapeutic Drug Monitoring in Patients with Ulcerative Colitis on Infliximab: A Cost-Effectiveness Analysis.英夫利昔单抗治疗的溃疡性结肠炎患者的治疗药物监测:一项成本效益分析。
Dig Dis Sci. 2025 Feb;70(2):728-737. doi: 10.1007/s10620-024-08802-1. Epub 2024 Dec 26.
7
Detection of antibodies to infliximab in routine care: a 4-year French retrospective study.常规护理中英夫利昔单抗抗体的检测:一项为期4年的法国回顾性研究。
Clin Exp Immunol. 2025 Jan 21;219(1). doi: 10.1093/cei/uxae122.
8
Immunogenicity of Therapeutic Antibodies Used for Inflammatory Bowel Disease: Treatment and Clinical Considerations.用于炎症性肠病的治疗性抗体的免疫原性:治疗与临床考量
Drugs. 2025 Jan;85(1):67-85. doi: 10.1007/s40265-024-02115-3. Epub 2024 Nov 13.
9
Harnessing Variability Signatures and Biological Noise May Enhance Immunotherapies' Efficacy and Act as Novel Biomarkers for Diagnosing and Monitoring Immune-Associated Disorders.利用变异性特征和生物噪声可能会提高免疫疗法的疗效,并作为诊断和监测免疫相关疾病的新型生物标志物。
Immunotargets Ther. 2024 Oct 14;13:525-539. doi: 10.2147/ITT.S477841. eCollection 2024.
10
Subcutaneous infliximab in Crohn's disease patients with previous immunogenic failure of intravenous infliximab.皮下注射英夫利昔单抗治疗先前静脉注射英夫利昔单抗免疫原性失败的克罗恩病患者。
Int J Colorectal Dis. 2024 Sep 25;39(1):151. doi: 10.1007/s00384-024-04727-3.
BAFF 可预测接受 TNF 抑制剂治疗的老年类风湿关节炎患者的免疫原性。
Sci Rep. 2021 Jun 2;11(1):11632. doi: 10.1038/s41598-021-91177-4.
4
Treatment Strategies for Patients With Immune-Mediated Inflammatory Diseases.免疫介导性炎症疾病患者的治疗策略
JAMA. 2021 May 4;325(17):1726-1728. doi: 10.1001/jama.2021.2740.
5
Effect of Therapeutic Drug Monitoring vs Standard Therapy During Infliximab Induction on Disease Remission in Patients With Chronic Immune-Mediated Inflammatory Diseases: A Randomized Clinical Trial.英夫利昔单抗诱导治疗期间治疗药物监测与标准治疗对慢性免疫介导性炎症疾病患者疾病缓解的影响:一项随机临床试验
JAMA. 2021 May 4;325(17):1744-1754. doi: 10.1001/jama.2021.4172.
6
Immunogenicity of TNF-Inhibitors.肿瘤坏死因子抑制剂的免疫原性。
Front Immunol. 2020 Feb 26;11:312. doi: 10.3389/fimmu.2020.00312. eCollection 2020.
7
Therapeutic drug monitoring of infliximab compared to standard clinical treatment with infliximab: study protocol for a randomised, controlled, open, parallel-group, phase IV study (the NOR-DRUM study).英夫利昔单抗的治疗药物监测与英夫利昔单抗的标准临床治疗比较:一项随机、对照、开放、平行组、四期研究(NOR-DRUM 研究)的研究方案。
Trials. 2020 Jan 6;21(1):13. doi: 10.1186/s13063-019-3734-4.
8
Monitoring of infliximab trough levels and anti-infliximab antibodies in inflammatory bowel diseases: A comparison of three commercially available ELISA kits.监测英夫利昔单抗谷浓度和抗英夫利昔单抗抗体在炎症性肠病中的应用:三种市售 ELISA 试剂盒的比较。
Cytokine. 2020 Feb;126:154859. doi: 10.1016/j.cyto.2019.154859. Epub 2019 Oct 17.
9
Predictors of anti-TNF treatment failure in anti-TNF-naive patients with active luminal Crohn's disease: a prospective, multicentre, cohort study.抗 TNF 初治活动期腔型克罗恩病患者抗 TNF 治疗失败的预测因素:一项前瞻性、多中心、队列研究。
Lancet Gastroenterol Hepatol. 2019 May;4(5):341-353. doi: 10.1016/S2468-1253(19)30012-3. Epub 2019 Feb 27.
10
Incidence and risk factors for adalimumab and infliximab anti-drug antibodies in rheumatoid arthritis: A European retrospective multicohort analysis.类风湿关节炎中阿达木单抗和英夫利昔单抗抗药物抗体的发生率和危险因素:一项欧洲回顾性多队列分析。
Semin Arthritis Rheum. 2019 Jun;48(6):967-975. doi: 10.1016/j.semarthrit.2018.10.006. Epub 2018 Oct 12.