Nigam Chanchal, Tyagi Asha, Bhatt Shuchi, Kumar Mahendra
Department of Anaesthesiology and Critical Care, University College of Medical Sciences and GTB Hospital, Delhi, India.
Department of Radiology, University College of Medical Sciences and GTB Hospital, Delhi, India.
Saudi J Anaesth. 2022 Apr-Jun;16(2):166-171. doi: 10.4103/sja.sja_726_21. Epub 2022 Mar 17.
In recent literature, there is some suggestion of vertebral column length (VCL) and abdominal girth (AG) in determining cephalad spread of spinal anesthetic. Bodily habitus including abdominal fat distribution, AG, and VCL may vary among individuals from different races/ethnicity. We thus aimed to evaluate the role of AG, and VCL measured with the patient in sitting as well as lateral position, in determining the cephalad spread of intrathecal hyperbaric bupivacaine.
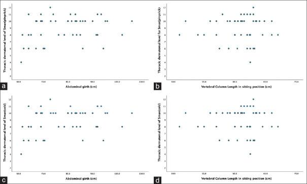
Prospective blinded study conducted in 60 consenting adult male patients of ASA status I or II, undergoing lower limb surgery using standardized combined spinal epidural performed. The cephalad spread of subarachnoid block was assessed using loss of discrimination to pin-prick and cold temperature. The VCL was measured from C7 vertebra to the sacral hiatus in sitting as well lateral decubitus position. The AG was measured at level of umbilicus during end of expiration.
The mean AG and VCL in sitting/lateral positions were: 78.4 ± 11.0, 60.9 ± 3.2, and 59.2 ± 3.2 cm, respectively. VCL in sitting position was significantly longer than in lateral position ( = 0.000). There was no significant correlation between the Smax (pin-prick) and AG ( = 0.138), or VCL in sitting position ( = 0.549), or VCL in lateral position ( = 0.323). Similar lack of correlation was noted with the Smax (cold) as well (P > 0.05).
Contribution of AG or VCL on the extent of intrathecal drug spread is not a consistent finding.
在最近的文献中,有一些关于脊柱长度(VCL)和腹围(AG)在确定脊麻头端扩散方面的建议。包括腹部脂肪分布、AG和VCL在内的身体体型在不同种族/民族的个体之间可能存在差异。因此,我们旨在评估AG以及患者坐位和侧卧位时测量的VCL在确定鞘内高压布比卡因头端扩散中的作用。
对60例自愿参与的ASA I或II级成年男性患者进行前瞻性盲法研究,这些患者接受使用标准化腰麻-硬膜外联合麻醉的下肢手术。通过针刺觉和冷觉丧失来评估蛛网膜下腔阻滞的头端扩散。在坐位和侧卧位时从C7椎体测量至骶裂孔来测量VCL。在呼气末于脐水平测量AG。
坐位/侧卧位时的平均AG和VCL分别为:78.4±11.0、60.9±3.2和59.2±3.2cm。坐位时的VCL显著长于侧卧位(P = 0.000)。最大感觉阻滞平面(针刺觉)与AG(P = 0.138)、坐位时的VCL(P = 0.549)或侧卧位时的VCL(P = 0.323)之间均无显著相关性。最大感觉阻滞平面(冷觉)也有类似的无相关性情况(P>0.05)。
AG或VCL对鞘内药物扩散范围的影响并非一致的结果。