Suppr超能文献

在郊区森林中,木本植物的次生化学物质会随着鹿群数量的增加以及入侵植物的到来而增加。

Woody plant secondary chemicals increase in response to abundant deer and arrival of invasive plants in suburban forests.

作者信息

Morrison Janet A, Roche Bernadette, Veatch-Blohm Maren

机构信息

Department of Biology The College of New Jersey Ewing New Jersey USA.

Department of Biology Loyola University Maryland Baltimore Maryland USA.

出版信息

Ecol Evol. 2022 Apr 13;12(4):e8814. doi: 10.1002/ece3.8814. eCollection 2022 Apr.

Abstract

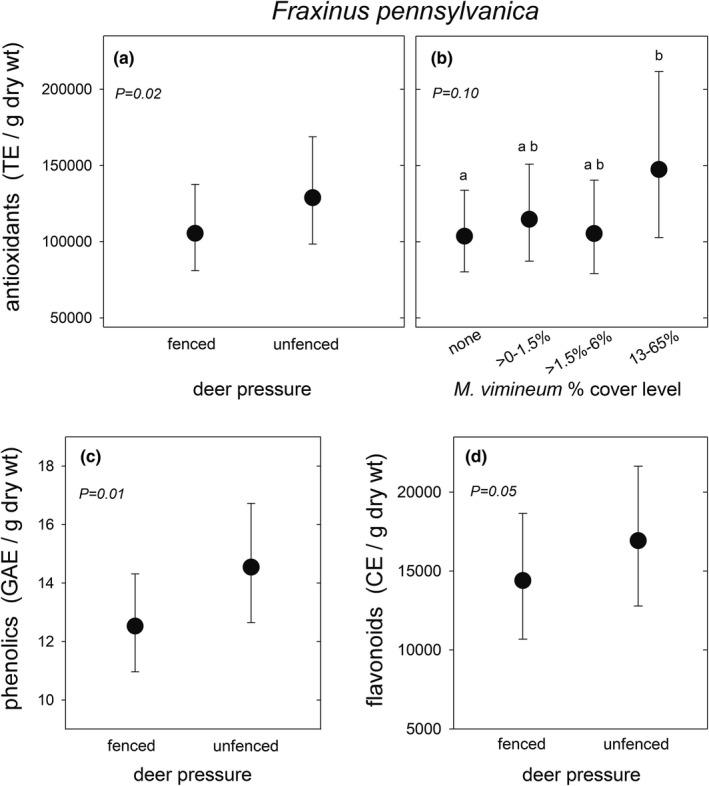
Plants in suburban forests of eastern North America face the dual stressors of high white-tailed deer density and invasion by nonindigenous plants. Chronic deer herbivory combined with strong competition from invasive plants could alter a plant's stress- and defense-related secondary chemistry, especially for long-lived juvenile trees in the understory, but this has not been studied. We measured foliar total antioxidants, phenolics, and flavonoids in juveniles of two native trees, (green ash) and (American beech), growing in six forests in the suburban landscape of central New Jersey, USA. The trees grew in experimental plots subjected for 2.5 years to factorial treatments of deer access/exclosure × addition/no addition of the nonindigenous invasive grass (Japanese stiltgrass). As other hypothesized drivers of plant secondary chemistry, we also measured nonstiltgrass herb layer cover, light levels, and water availability. Univariate mixed model analysis of the deer and stiltgrass effects and multivariate structural equation modeling (SEM) of all variables showed that both greater stiltgrass cover and greater deer pressure induced antioxidants, phenolics, and flavonoids, with some variation between species. Deer were generally the stronger factor, and stiltgrass effects were most apparent at high stiltgrass density. SEM also revealed that soil dryness directly increased the chemicals; deer had additional positive, but indirect, effects via influence on the soil; in beech photosynthetically active radiation (PAR) positively affected flavonoids; and herb layer cover had no effect. Juvenile trees' chemical defense/stress responses to deer and invasive plants can be protective, but also could have a physiological cost, with negative consequences for recruitment to the canopy. Ecological implications for species and their communities will depend on costs and benefits of stress/defense chemistry in the specific environmental context, particularly with respect to invasive plant competitiveness, extent of invasion, local deer density, and deer browse preferences.

摘要

北美东部郊区森林中的植物面临着白尾鹿高密度和非本土植物入侵的双重压力。长期的鹿啃食加上来自入侵植物的激烈竞争可能会改变植物与压力和防御相关的次生化学物质,特别是对于林下长期生长的幼树,但这方面尚未得到研究。我们在美国新泽西州中部郊区景观的六个森林中,测量了两种本土树木(绿梣和美国山毛榉)幼树叶片中的总抗氧化剂、酚类和黄酮类物质。这些树木生长在实验地块中,经过2.5年的因子处理,即设置有鹿进入/围栏 × 添加/不添加非本土入侵草本植物(日本矮杆草)的处理。作为植物次生化学物质的其他假设驱动因素,我们还测量了非矮杆草草本层覆盖度、光照水平和水分可用性。对鹿和矮杆草影响的单变量混合模型分析以及对所有变量的多变量结构方程模型(SEM)表明,更高的矮杆草覆盖度和更大的鹿压力都会诱导抗氧化剂、酚类和黄酮类物质的产生,不同物种之间存在一些差异。鹿通常是更强的因素,矮杆草的影响在高矮杆草密度时最为明显。SEM还显示,土壤干燥直接增加了这些化学物质;鹿通过对土壤的影响产生额外的正向但间接的影响;在山毛榉中,光合有效辐射(PAR)对黄酮类物质有正向影响;而草本层覆盖度没有影响。幼树对鹿和入侵植物的化学防御/压力反应可能具有保护作用,但也可能有生理成本,对进入树冠层产生负面后果。对物种及其群落的生态影响将取决于特定环境背景下压力/防御化学物质的成本和收益,特别是关于入侵植物的竞争力、入侵程度、当地鹿的密度以及鹿的啃食偏好。

https://cdn.ncbi.nlm.nih.gov/pmc/blobs/533f/9006230/41a237abc95e/ECE3-12-e8814-g005.jpg

文献AI研究员

20分钟写一篇综述,助力文献阅读效率提升50倍。

立即体验

用中文搜PubMed

大模型驱动的PubMed中文搜索引擎

马上搜索

文档翻译

学术文献翻译模型,支持多种主流文档格式。

立即体验