• 文献检索
  • 文档翻译
  • 深度研究
  • 学术资讯
  • Suppr Zotero 插件Zotero 插件
  • 邀请有礼
  • 套餐&价格
  • 历史记录
应用&插件
Suppr Zotero 插件Zotero 插件浏览器插件Mac 客户端Windows 客户端微信小程序
定价
高级版会员购买积分包购买API积分包
服务
文献检索文档翻译深度研究API 文档MCP 服务
关于我们
关于 Suppr公司介绍联系我们用户协议隐私条款
关注我们

Suppr 超能文献

核心技术专利:CN118964589B侵权必究
粤ICP备2023148730 号-1Suppr @ 2026

文献检索

告别复杂PubMed语法,用中文像聊天一样搜索,搜遍4000万医学文献。AI智能推荐,让科研检索更轻松。

立即免费搜索

文件翻译

保留排版,准确专业,支持PDF/Word/PPT等文件格式,支持 12+语言互译。

免费翻译文档

深度研究

AI帮你快速写综述,25分钟生成高质量综述,智能提取关键信息,辅助科研写作。

立即免费体验

外部视觉噪声如何影响自闭症谱系障碍中的运动方向辨别

How the External Visual Noise Affects Motion Direction Discrimination in Autism Spectrum Disorder.

作者信息

Bocheva Nadejda, Hristov Ivan, Stefanov Simeon, Totev Tsvetalin, Staykova Svetla Nikolaeva, Mihaylova Milena Slavcheva

机构信息

Department of Sensory Neurobiology, Institute of Neurobiology, Bulgarian Academy of Sciences, 1113 Sofia, Bulgaria.

Department of Psychiatry and Medical Psychology, Sofia Medical University, 1431 Sofia, Bulgaria.

出版信息

Behav Sci (Basel). 2022 Apr 18;12(4):113. doi: 10.3390/bs12040113.

DOI:10.3390/bs12040113
PMID:35447685
原文链接:https://pmc.ncbi.nlm.nih.gov/articles/PMC9031710/
Abstract

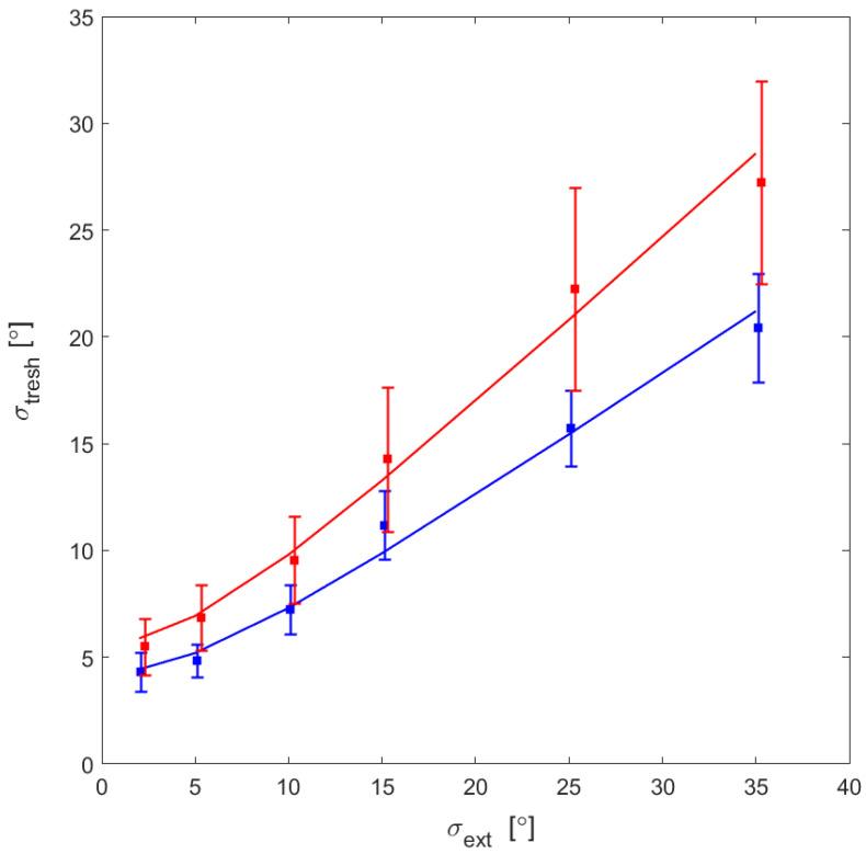
Along with social, cognitive, and behavior deficiencies, peculiarities in sensory processing, including an atypical global motion processing, have been reported in Autism Spectrum Disorder (ASD). The question about the enhanced motion pooling in ASD is still debatable. The aim of the present study was to compare global motion integration in ASD using a low-density display and the equivalent noise (EN) approach. Fifty-seven children and adolescents with ASD or with typical development (TD) had to determine the average direction of movement of 30 Laplacian-of-Gaussian micro-patterns. They moved in directions determined by a normal distribution with a standard deviation of 2°, 5°, 10°, 15°, 25°, and 35°, corresponding to the added external noise. The data obtained showed that the ASD group has much larger individual differences in motion direction thresholds on external noise effect than the TD group. Applying the equivalent noise paradigm, we found that the global motion direction discrimination thresholds were more elevated in ASD than in controls at all noise levels. These results suggest that ASD individuals have a poor ability to integrate the local motion information in low-density displays.

摘要

除了社交、认知和行为缺陷外,自闭症谱系障碍(ASD)患者还存在感觉处理方面的特点,包括非典型的整体运动处理。关于ASD患者中增强的运动合并问题仍存在争议。本研究的目的是使用低密度显示和等效噪声(EN)方法比较ASD患者的整体运动整合情况。57名患有ASD或发育正常(TD)的儿童和青少年必须确定30个高斯拉普拉斯微图案的平均运动方向。它们的运动方向由标准差为2°、5°、10°、15°、25°和35°的正态分布决定,这对应于添加的外部噪声。获得的数据表明,与TD组相比,ASD组在外部噪声影响下运动方向阈值的个体差异要大得多。应用等效噪声范式,我们发现在所有噪声水平下,ASD患者的整体运动方向辨别阈值都比对照组更高。这些结果表明,ASD患者在低密度显示中整合局部运动信息的能力较差。

https://cdn.ncbi.nlm.nih.gov/pmc/blobs/2442/9031710/3804360d0085/behavsci-12-00113-g004.jpg
https://cdn.ncbi.nlm.nih.gov/pmc/blobs/2442/9031710/4489cea054be/behavsci-12-00113-g001.jpg
https://cdn.ncbi.nlm.nih.gov/pmc/blobs/2442/9031710/8bc34dd1c3b3/behavsci-12-00113-g002.jpg
https://cdn.ncbi.nlm.nih.gov/pmc/blobs/2442/9031710/69fbef364eba/behavsci-12-00113-g003.jpg
https://cdn.ncbi.nlm.nih.gov/pmc/blobs/2442/9031710/3804360d0085/behavsci-12-00113-g004.jpg
https://cdn.ncbi.nlm.nih.gov/pmc/blobs/2442/9031710/4489cea054be/behavsci-12-00113-g001.jpg
https://cdn.ncbi.nlm.nih.gov/pmc/blobs/2442/9031710/8bc34dd1c3b3/behavsci-12-00113-g002.jpg
https://cdn.ncbi.nlm.nih.gov/pmc/blobs/2442/9031710/69fbef364eba/behavsci-12-00113-g003.jpg
https://cdn.ncbi.nlm.nih.gov/pmc/blobs/2442/9031710/3804360d0085/behavsci-12-00113-g004.jpg

相似文献

1
How the External Visual Noise Affects Motion Direction Discrimination in Autism Spectrum Disorder.外部视觉噪声如何影响自闭症谱系障碍中的运动方向辨别
Behav Sci (Basel). 2022 Apr 18;12(4):113. doi: 10.3390/bs12040113.
2
Internal noise measures in coarse and fine motion direction discrimination tasks and the correlation with autism traits.在粗动和微动方向辨别任务中的内部噪声测量及其与自闭症特征的相关性。
J Vis. 2022 Sep 2;22(10):19. doi: 10.1167/jov.22.10.19.
3
Self-motion perception in autism is compromised by visual noise but integrated optimally across multiple senses.自闭症患者的自我运动感知会受到视觉噪声的影响,但能在多种感官间实现最优整合。
Proc Natl Acad Sci U S A. 2015 May 19;112(20):6461-6. doi: 10.1073/pnas.1506582112. Epub 2015 May 4.
4
Gamma oscillations point to the role of primary visual cortex in atypical motion processing in autism.伽马振荡表明初级视觉皮层在自闭症的非典型运动处理中起作用。
PLoS One. 2023 Feb 13;18(2):e0281531. doi: 10.1371/journal.pone.0281531. eCollection 2023.
5
The interaction of global motion and global form processing on the perception of implied motion: An equivalent noise approach.全局运动与全局形状加工对隐含运动知觉的相互作用:等效噪声方法。
Vision Res. 2021 Sep;186:34-40. doi: 10.1016/j.visres.2021.04.006. Epub 2021 May 21.
6
Enhanced integration of motion information in children with autism.自闭症儿童运动信息整合能力增强。
J Neurosci. 2015 May 6;35(18):6979-86. doi: 10.1523/JNEUROSCI.4645-14.2015.
7
Visual Noise Effect on Contour Integration and Gaze Allocation in Autism Spectrum Disorder.视觉噪声对自闭症谱系障碍中轮廓整合和注视分配的影响。
Front Neurosci. 2021 Feb 9;15:623663. doi: 10.3389/fnins.2021.623663. eCollection 2021.
8
High internal noise and poor external noise filtering characterize perception in autism spectrum disorder.高内部噪声和外部噪声滤波差是孤独症谱系障碍感知的特征。
Sci Rep. 2017 Dec 14;7(1):17584. doi: 10.1038/s41598-017-17676-5.
9
Contrast sensitivity for motion detection and direction discrimination in adolescents with autism spectrum disorders and their siblings.孤独症谱系障碍青少年及其同胞的运动检测和方向辨别对比敏感度。
Neuropsychologia. 2010 Dec;48(14):4046-56. doi: 10.1016/j.neuropsychologia.2010.10.008. Epub 2010 Oct 19.
10
Integration of visual motion and orientation signals in dyslexic children: an equivalent noise approach.阅读障碍儿童视觉运动与方向信号的整合:等效噪声方法
R Soc Open Sci. 2022 May 4;9(5):200414. doi: 10.1098/rsos.200414. eCollection 2022 May.

引用本文的文献

1
High neural noise in autism: A hypothesis currently at the nexus of explanatory power.自闭症中的高神经噪声:一种目前处于解释力核心的假说。
Heliyon. 2024 Nov 29;10(23):e40842. doi: 10.1016/j.heliyon.2024.e40842. eCollection 2024 Dec 15.

本文引用的文献

1
Global motion evoked potentials in autistic and dyslexic children: A cross-syndrome approach.自闭症和诵读困难儿童的全局运动诱发电位:跨综合征研究。
Cortex. 2021 Oct;143:109-126. doi: 10.1016/j.cortex.2021.06.018. Epub 2021 Jul 28.
2
Visual Noise Effect on Contour Integration and Gaze Allocation in Autism Spectrum Disorder.视觉噪声对自闭症谱系障碍中轮廓整合和注视分配的影响。
Front Neurosci. 2021 Feb 9;15:623663. doi: 10.3389/fnins.2021.623663. eCollection 2021.
3
Global Motion Perception in Autism Spectrum Disorder: A Meta-Analysis.
自闭症谱系障碍中的全局运动感知:一项荟萃分析。
J Autism Dev Disord. 2019 Dec;49(12):4901-4918. doi: 10.1007/s10803-019-04194-8.
4
Processing Speed is Impaired in Adults with Autism Spectrum Disorder, and Relates to Social Communication Abilities.自闭症谱系障碍成人的处理速度受损,并与社会沟通能力有关。
J Autism Dev Disord. 2018 Aug;48(8):2653-2662. doi: 10.1007/s10803-018-3515-z.
5
Vision Research Literature May Not Represent the Full Intellectual Range of Autism Spectrum Disorder.视觉研究文献可能无法涵盖自闭症谱系障碍的全部知识范畴。
Front Hum Neurosci. 2017 Feb 14;11:57. doi: 10.3389/fnhum.2017.00057. eCollection 2017.
6
Enhanced integration of motion information in children with autism.自闭症儿童运动信息整合能力增强。
J Neurosci. 2015 May 6;35(18):6979-86. doi: 10.1523/JNEUROSCI.4645-14.2015.
7
Self-motion perception in autism is compromised by visual noise but integrated optimally across multiple senses.自闭症患者的自我运动感知会受到视觉噪声的影响,但能在多种感官间实现最优整合。
Proc Natl Acad Sci U S A. 2015 May 19;112(20):6461-6. doi: 10.1073/pnas.1506582112. Epub 2015 May 4.
8
Global motion perception deficits in autism are reflected as early as primary visual cortex.自闭症患者的整体运动感知缺陷早在初级视觉皮层就有所体现。
Brain. 2014 Sep;137(Pt 9):2588-99. doi: 10.1093/brain/awu189. Epub 2014 Jul 23.
9
Age-related changes in fine motion direction discriminations.年龄相关的精细运动方向辨别变化。
Exp Brain Res. 2013 Jul;228(3):257-78. doi: 10.1007/s00221-013-3559-4. Epub 2013 May 26.
10
Marked selective impairment in autism on an index of magnocellular function.自闭症患者在巨细胞功能指标上存在明显选择性损伤。
Neuropsychologia. 2013 Mar;51(4):592-600. doi: 10.1016/j.neuropsychologia.2013.01.005. Epub 2013 Jan 16.