Suppr超能文献

纳米硅铝酸盐-1沸石的分钟级合成

Minute-Scale Synthesis of Nano Silicalite-1 Zeolites.

作者信息

Zhang Changsheng, Chu Shaoqi, Jiang Jie, Zhao Jinchong, Wen Song, Sun Bing, Xu Wei

机构信息

SINOPEC Research Institute of Safety Engineering Co., Ltd., Qingdao, China.

College of Chemical Engineering, Qingdao University of Science and Technology, Qingdao, China.

出版信息

Front Chem. 2022 Apr 8;10:860795. doi: 10.3389/fchem.2022.860795. eCollection 2022.

Abstract

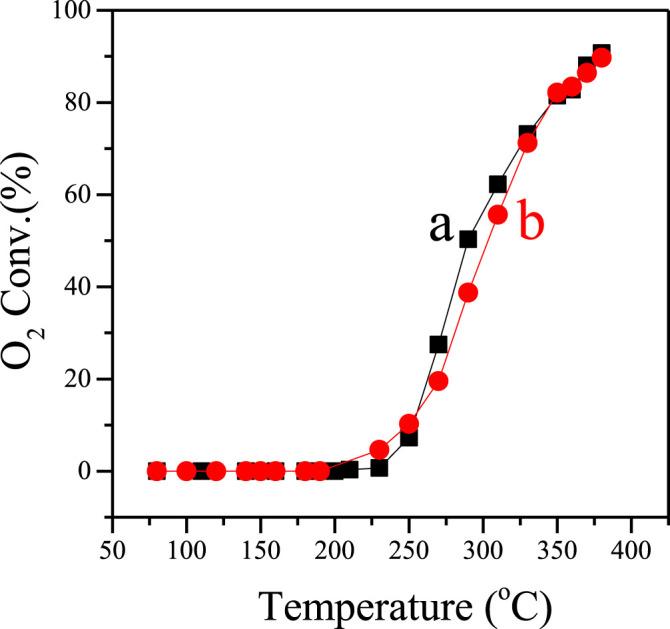
Synthesis of zeolites in more efficient and greener methods is of great significance in both industrial and academic fields. However, the relative long time for zeolite crystallization and much consumption of water solvent make the target challengeable. Herein, a route for ultrafast synthesis of nano Silicalite-1 zeolites in 10 min with much less water consumption has been developed. Comprehensive characterizations, i.e., X-ray powder diffraction, N sorption, scanning electron microscope, and NMR, confirm the high quality of such obtained Silicalite-1 zeolites. In the catalytic deoxygenation of O-containing ethylene (mixture of O and ethylene), these reported Silicalite-1 zeolite samples show the comparable performance with the conventional Silicalite-1 zeolites synthesized under hydrothermal conditions. This research therefore provides a new trial toward the ultrafast synthesis of zeolite materials in an environment-friendly route.

摘要

采用更高效、更绿色的方法合成沸石在工业和学术领域都具有重要意义。然而,沸石结晶所需的相对较长时间以及水溶剂的大量消耗使得这一目标具有挑战性。在此,已开发出一种在10分钟内超快合成纳米Silicalite-1沸石且耗水量少得多的方法。通过X射线粉末衍射、N吸附、扫描电子显微镜和核磁共振等综合表征证实了所制备的Silicalite-1沸石具有高质量。在含氧化乙烯(氧气和乙烯的混合物)的催化脱氧反应中,这些报道的Silicalite-1沸石样品表现出与水热条件下合成的传统Silicalite-1沸石相当的性能。因此,本研究为以环境友好的方式超快合成沸石材料提供了新的尝试。

https://cdn.ncbi.nlm.nih.gov/pmc/blobs/e7d0/9024212/18401e50a1b2/fchem-10-860795-g001.jpg

文献AI研究员

20分钟写一篇综述,助力文献阅读效率提升50倍。

立即体验

用中文搜PubMed

大模型驱动的PubMed中文搜索引擎

马上搜索

文档翻译

学术文献翻译模型,支持多种主流文档格式。

立即体验