Suppr超能文献

一种新型合成小分子与GA-DELLA功能相互作用促进植物生长

Plant growth promotion by the interaction of a novel synthetic small molecule with GA-DELLA function.

作者信息

Sukiran Nur Afiqah, Pollastri Susanna, Steel Patrick G, Knight Marc R

机构信息

Department of Biosciences Durham University Durham UK.

Department of Chemistry Durham University Durham UK.

出版信息

Plant Direct. 2022 Apr 26;6(4):e398. doi: 10.1002/pld3.398. eCollection 2022 Apr.

Abstract

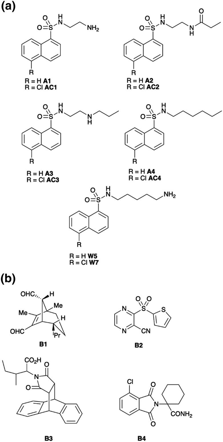
Synthesized small molecules are useful as tools to investigate hormonal signaling involved in plant growth and development. They are also important as agrochemicals to promote beneficial properties of crops in the field. We describe here the synthesis and mode of action of a novel growth-promoting chemical, A1. A1 stimulates enhanced growth in both shoot and root tissues of plants, acting by increasing both dry and fresh weight. This suggests that A1 not only promotes uptake of water but also increases production of cellular material. A1 treatment of leads to the degradation of DELLA growth-inhibitory proteins suggesting that A1-mediated growth promotion is dependent upon this mechanism. We performed genetic analysis to confirm this and further dissect the mechanism of A1 action upon growth in . A quintuple mutant was insensitive to A1, confirming that the mode of action was indeed via a DELLA-dependent mechanism. The gibberellin synthesis mutant was similarly insensitive, suggesting that to promote growth in A1 requires the presence of endogenous gibberellins. This was further suggested by the observation that double mutants of GID1 gibberellin receptor genes were insensitive to A1. Taken together, our data suggest that A1 acts to enhance sensitivity to endogenous gibberellins thus leading to observed enhanced growth via DELLA degradation. A1 and related compounds will be useful to identify novel signaling components involved in plant growth and development, and as agrochemicals suitable for a wide range of crop species.

摘要

合成小分子作为研究植物生长发育中激素信号传导的工具很有用。它们作为农用化学品促进田间作物的有益特性也很重要。我们在此描述一种新型促生长化学物质A1的合成及其作用模式。A1能刺激植物地上部和根部组织的生长增强,通过增加干重和鲜重发挥作用。这表明A1不仅促进水分吸收,还增加细胞物质的产生。用A1处理会导致DELLA生长抑制蛋白降解,这表明A1介导的生长促进依赖于该机制。我们进行了遗传分析以证实这一点,并进一步剖析A1对生长的作用机制。一个五重突变体对A1不敏感,证实其作用模式确实是通过依赖DELLA的机制。赤霉素合成突变体同样不敏感,这表明A1要促进生长需要内源性赤霉素的存在。GID1赤霉素受体基因的双突变体对A1不敏感这一观察结果进一步证明了这一点。综合来看,我们的数据表明A1的作用是增强对内源性赤霉素的敏感性,从而通过DELLA降解导致观察到的生长增强。A1及相关化合物将有助于鉴定参与植物生长发育的新型信号成分,并作为适用于多种作物的农用化学品。

https://cdn.ncbi.nlm.nih.gov/pmc/blobs/a930/9039627/eeab53b5ef43/PLD3-6-e398-g001.jpg

文献AI研究员

20分钟写一篇综述,助力文献阅读效率提升50倍。

立即体验

用中文搜PubMed

大模型驱动的PubMed中文搜索引擎

马上搜索

文档翻译

学术文献翻译模型,支持多种主流文档格式。

立即体验