Suppr超能文献

小儿弱视伴球镜屈光不正者图形翻转视觉诱发电位的改变。

Alteration in pattern reversal visual evoked potential in pediatric population with amblyopia and spherical refractive errors.

机构信息

Department of Ophthalmology, All India Institute of Medical Sciences, Rishikesh, Uttarakhand, India.

Department of Physiology, All India Institute of Medical Sciences, Rishikesh, Uttarakhand, India.

出版信息

Indian J Ophthalmol. 2022 May;70(5):1727-1731. doi: 10.4103/ijo.IJO_2692_21.

Abstract

PURPOSE

To study the effect of refractive errors on pattern visual evoked potential (VEP) recordings in the pediatric population.

METHODS

This cross-sectional observational study assessed 240 eyes of 120 participants attending the outpatient department of a tertiary care center in North India. Participants were between 8 and 18 years of age; 30 participants each were recruited into four groups, namely emmetropia, myopia, hypermetropia, and amblyopia. They were then subjected to pattern reversal VEP, with P-100 amplitude and latency recorded for each participant.

RESULTS

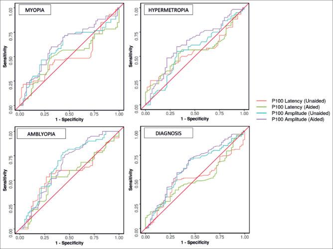
The emmetropic group in this study provided normal values of P-100 parameters, namely P-100 latency and P-100 amplitude with readings of 115.78 ± 10.19 ms and 11.11 ± 4.08 μV, respectively. P-100 amplitude was significant compared to P-100 latency in detecting the presence or absence of a specific type of refractive error. It was found that there was a significant association between severity of myopia and P-100 latency (both unaided and aided) with P < 0.05. The severity of hypermetropia showed a significant association with P-100 amplitude (unaided) (P < 0.05). Receiver operating characteristics analysis revealed P-100 amplitude to be a good predictor of refractive error and the cut-offs were calculated.

CONCLUSION

The P-100 parameters of the pediatric Indian population were comparatively higher than conventional values. P-100 latency seemed to better correlate with myopia, while hypermetropia correlated with P-100 amplitude. P-100 amplitude appears to be the most significant predictor of the presence of refractive error in an individual.

摘要

目的

研究屈光不正对儿科人群图形视觉诱发电位(VEP)记录的影响。

方法

本横断面观察性研究评估了印度北部一家三级保健中心门诊的 120 名参与者的 240 只眼。参与者年龄在 8 至 18 岁之间;每组 30 人,共分为 4 组,即正视、近视、远视和弱视。然后对他们进行图形翻转 VEP 检查,记录每位参与者的 P-100 波幅和潜伏期。

结果

本研究中正视组提供了 P-100 参数的正常值,即 P-100 潜伏期和 P-100 波幅,分别为 115.78 ± 10.19ms 和 11.11 ± 4.08μV。与 P-100 潜伏期相比,P-100 波幅在检测特定类型屈光不正的存在与否方面更具显著性。发现近视的严重程度与 P-100 潜伏期(未矫正和矫正)均显著相关(P<0.05)。远视的严重程度与 P-100 波幅(未矫正)显著相关(P<0.05)。受试者工作特征分析表明 P-100 波幅是屈光不正的良好预测指标,并计算了其截断值。

结论

印度儿科人群的 P-100 参数值高于常规值。P-100 潜伏期似乎与近视相关性更好,而远视与 P-100 波幅相关性更好。P-100 波幅似乎是个体屈光不正存在的最显著预测指标。

https://cdn.ncbi.nlm.nih.gov/pmc/blobs/dab6/9332958/f151e201aaf2/IJO-70-1727-g001.jpg

文献AI研究员

20分钟写一篇综述,助力文献阅读效率提升50倍。

立即体验

用中文搜PubMed

大模型驱动的PubMed中文搜索引擎

马上搜索

文档翻译

学术文献翻译模型,支持多种主流文档格式。

立即体验