• 文献检索
  • 文档翻译
  • 深度研究
  • 学术资讯
  • Suppr Zotero 插件Zotero 插件
  • 邀请有礼
  • 套餐&价格
  • 历史记录
应用&插件
Suppr Zotero 插件Zotero 插件浏览器插件Mac 客户端Windows 客户端微信小程序
定价
高级版会员购买积分包购买API积分包
服务
文献检索文档翻译深度研究API 文档MCP 服务
关于我们
关于 Suppr公司介绍联系我们用户协议隐私条款
关注我们

Suppr 超能文献

核心技术专利:CN118964589B侵权必究
粤ICP备2023148730 号-1Suppr @ 2026

文献检索

告别复杂PubMed语法,用中文像聊天一样搜索,搜遍4000万医学文献。AI智能推荐,让科研检索更轻松。

立即免费搜索

文件翻译

保留排版,准确专业,支持PDF/Word/PPT等文件格式,支持 12+语言互译。

免费翻译文档

深度研究

AI帮你快速写综述,25分钟生成高质量综述,智能提取关键信息,辅助科研写作。

立即免费体验

ATCC36112对杀虫剂二嗪农的代谢作用。

Metabolism of insecticide diazinon by ATCC36112.

作者信息

Zhao Mei-Ai, Gu Hao, Zhang Chuan-Jie, Jeong In-Hong, Kim Jeong-Han, Zhu Yong-Zhe

机构信息

College of Life Sciences, Qingdao Agricultural University Changcheng Rd, Chengyang Qingdao City Shandong Province 266-109 China.

College of Chemistry and Pharmacy, Qingdao Agricultural University Changcheng Rd, Chengyang Qingdao City Shandong Province 266-109 China

出版信息

RSC Adv. 2020 May 26;10(33):19659-19668. doi: 10.1039/d0ra02253e. eCollection 2020 May 20.

DOI:10.1039/d0ra02253e
PMID:35515422
原文链接:https://pmc.ncbi.nlm.nih.gov/articles/PMC9054078/
Abstract

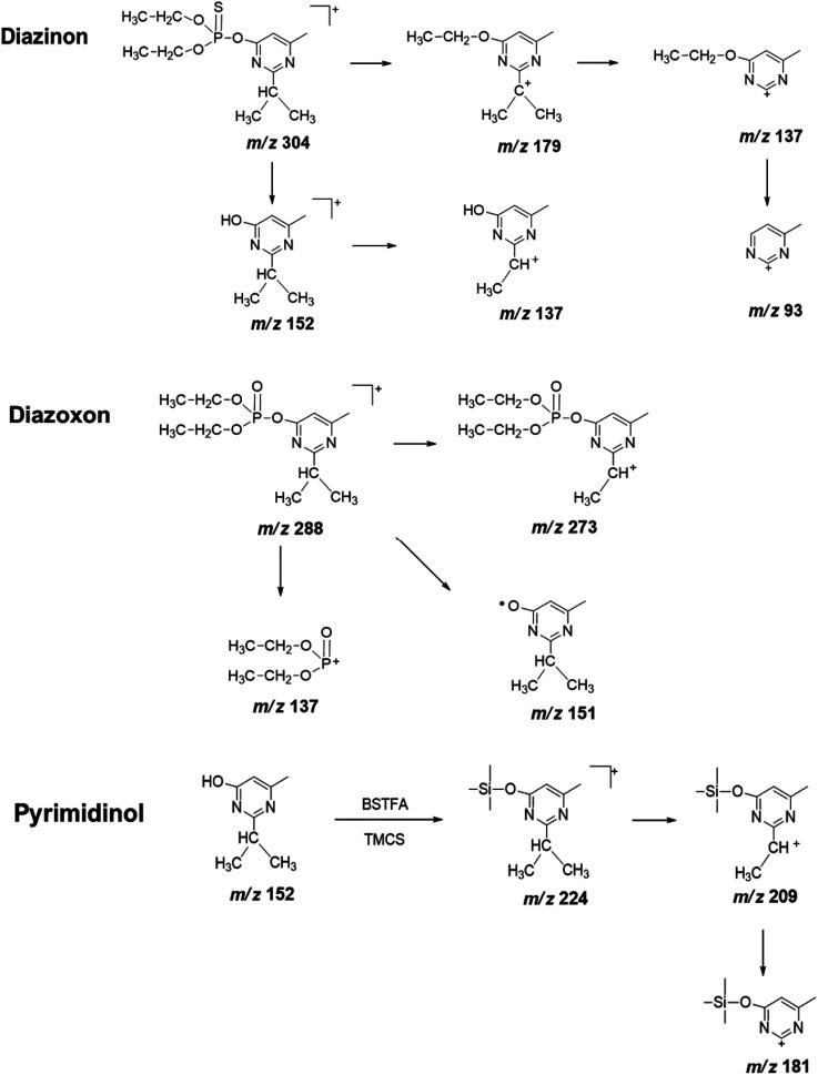
The fungal metabolism of diazinon was investigated and the microbial model ( ATCC36112) could effectively degrade the organophosphorus pesticide (diazinon) mediated by cytochrome P450, which was mainly involved in oxidation and hydrolysis of phase I metabolism. Approximately 89% of diazinon was removed within 7 days and was not observed after 13 days with concomitant accumulation of eight metabolites. Structures of the metabolites were fully or tentatively identified with GC-MS and H, C NMR. The major metabolites of diazinon were diethyl (2-isopropyl-6-methylpyrimidin-4-yl) phosphate (diazoxon) and 2-isopropyl-6-methyl-4-pyrimidinol (pyrimidinol), and formation of minor metabolites was primarily the result of hydroxylation. To determine the responsible enzymes in diazinon metabolism, piperonyl butoxide and methimazole were treated, and the kinetic responses of diazinon and its metabolites by were measured. Results indirectly demonstrated that cytochrome P450 and flavin monooxygenase were involved in the metabolism of diazinon, but methimazole inhibited the metabolism less effectively. Based on the metabolic profiling, a possible metabolic pathway involved in phase I metabolism of diazinon was proposed, which would contribute to providing insight into understanding the toxicological effects of diazinon and the potential application of fungi on organophosphorus pesticides.

摘要

研究了二嗪农的真菌代谢情况,微生物模型(ATCC36112)能够在细胞色素P450介导下有效降解有机磷农药(二嗪农),细胞色素P450主要参与I相代谢的氧化和水解过程。约89%的二嗪农在7天内被去除,13天后未观察到二嗪农,同时积累了8种代谢产物。通过气相色谱 - 质谱联用仪(GC-MS)和氢、碳核磁共振波谱(H,C NMR)对代谢产物的结构进行了完全或初步鉴定。二嗪农的主要代谢产物是二乙基(2 - 异丙基 - 6 - 甲基嘧啶 - 4 - 基)磷酸酯(二嗪磷)和2 - 异丙基 - 6 - 甲基 - 4 - 嘧啶醇(嘧啶醇),次要代谢产物的形成主要是羟基化的结果。为了确定二嗪农代谢过程中的相关酶,用胡椒基丁醚和甲巯咪唑进行处理,并测定了二嗪农及其代谢产物的动力学响应。结果间接表明细胞色素P450和黄素单加氧酶参与了二嗪农的代谢,但甲巯咪唑对代谢的抑制作用较弱。基于代谢谱,提出了二嗪农I相代谢可能的代谢途径,这将有助于深入了解二嗪农的毒理学效应以及真菌在有机磷农药方面的潜在应用。

https://cdn.ncbi.nlm.nih.gov/pmc/blobs/f8bf/9054078/10d0a8313ad4/d0ra02253e-f5.jpg
https://cdn.ncbi.nlm.nih.gov/pmc/blobs/f8bf/9054078/5e0e42551172/d0ra02253e-f1.jpg
https://cdn.ncbi.nlm.nih.gov/pmc/blobs/f8bf/9054078/08b9c72fee65/d0ra02253e-f2.jpg
https://cdn.ncbi.nlm.nih.gov/pmc/blobs/f8bf/9054078/9eb19a76f9f1/d0ra02253e-f3.jpg
https://cdn.ncbi.nlm.nih.gov/pmc/blobs/f8bf/9054078/ba2f1bc985e1/d0ra02253e-f4.jpg
https://cdn.ncbi.nlm.nih.gov/pmc/blobs/f8bf/9054078/10d0a8313ad4/d0ra02253e-f5.jpg
https://cdn.ncbi.nlm.nih.gov/pmc/blobs/f8bf/9054078/5e0e42551172/d0ra02253e-f1.jpg
https://cdn.ncbi.nlm.nih.gov/pmc/blobs/f8bf/9054078/08b9c72fee65/d0ra02253e-f2.jpg
https://cdn.ncbi.nlm.nih.gov/pmc/blobs/f8bf/9054078/9eb19a76f9f1/d0ra02253e-f3.jpg
https://cdn.ncbi.nlm.nih.gov/pmc/blobs/f8bf/9054078/ba2f1bc985e1/d0ra02253e-f4.jpg
https://cdn.ncbi.nlm.nih.gov/pmc/blobs/f8bf/9054078/10d0a8313ad4/d0ra02253e-f5.jpg

相似文献

1
Metabolism of insecticide diazinon by ATCC36112.ATCC36112对杀虫剂二嗪农的代谢作用。
RSC Adv. 2020 May 26;10(33):19659-19668. doi: 10.1039/d0ra02253e. eCollection 2020 May 20.
2
Metabolism of an insecticide fipronil by soil fungus Cunninghamella elegans ATCC36112.土壤真菌弯颈霉 ATCC36112 对杀虫剂氟虫腈的代谢。
Arch Microbiol. 2023 Jun 14;205(7):264. doi: 10.1007/s00203-023-03594-w.
3
Biodegradation and metabolic pathway of quinalphos by Cunninghamella elegans ATCC36112.棘孢木霉 ATCC36112 对喹硫磷的生物降解及代谢途径。
Biotechnol Lett. 2023 Jul;45(7):873-883. doi: 10.1007/s10529-023-03393-9. Epub 2023 May 17.
4
Metabolism of a fungicide mepanipyrim by soil fungus Cunninghamella elegans ATCC36112.土壤真菌雅致小克银汉霉ATCC36112对杀菌剂嘧菌胺的代谢作用
J Agric Food Chem. 2010 Dec 8;58(23):12379-84. doi: 10.1021/jf102980y. Epub 2010 Nov 3.
5
Metabolism of a fungicide propiconazole by Cunninghamella elegans ATCC36112.线虫状小克银汉霉ATCC36112对杀菌剂丙环唑的代谢
Arch Microbiol. 2024 Jul 18;206(8):356. doi: 10.1007/s00203-024-04062-9.
6
Metabolic pathway of tebuconazole by soil fungus Cunninghamella elegans ATCC36112.土壤真菌雅致小克银汉霉ATCC36112对戊唑醇的代谢途径
Antonie Van Leeuwenhoek. 2023 Dec;116(12):1385-1393. doi: 10.1007/s10482-023-01894-1. Epub 2023 Oct 16.
7
Metabolism of methoxychlor by Cunninghamella elegans ATCC36112.线虫菌属优雅线虫ATCC36112对甲氧滴滴涕的代谢作用。
J Agric Food Chem. 2009 Sep 9;57(17):7931-7. doi: 10.1021/jf902132j.
8
Metabolism of an Insecticide Fenitrothion by Cunninghamella elegans ATCC36112.顶孢头孢菌 ATCC36112 对杀虫剂 Fenitrothion 的代谢。
J Agric Food Chem. 2017 Dec 13;65(49):10711-10718. doi: 10.1021/acs.jafc.7b04273. Epub 2017 Nov 28.
9
Biodegradation of bisphenol A and its halogenated analogues by Cunninghamella elegans ATCC36112.美丽青霉 ATCC36112 对双酚 A 及其卤代类似物的生物降解作用。
Biodegradation. 2010 Nov;21(6):989-97. doi: 10.1007/s10532-010-9358-8. Epub 2010 May 9.
10
Toxicokinetic model describing bioconcentration and biotransformation of diazinon in Daphnia magna.描述二嗪磷在大型溞体内生物浓缩和生物转化的毒代动力学模型。
Environ Sci Technol. 2011 Jun 1;45(11):4995-5002. doi: 10.1021/es104324v. Epub 2011 May 11.

引用本文的文献

1
What are the 100 most cited fungal genera?被引用次数最多的100个真菌属有哪些?
Stud Mycol. 2024 Jul;108:1-411. doi: 10.3114/sim.2024.108.01. Epub 2024 Jul 15.
2
Metabolism of a fungicide propiconazole by Cunninghamella elegans ATCC36112.线虫状小克银汉霉ATCC36112对杀菌剂丙环唑的代谢
Arch Microbiol. 2024 Jul 18;206(8):356. doi: 10.1007/s00203-024-04062-9.
3
Pharmacokinetics of the Recalcitrant Drug Lamotrigine: Identification and Distribution of Metabolites in Cucumber Plants.抗药性药物拉莫三嗪的药代动力学:黄瓜植物中代谢物的鉴定和分布。

本文引用的文献

1
Fungal P monooxygenases - the diversity in catalysis and their promising roles in biocontrol activity.真菌 P 单加氧酶——催化多样性及其在生物防治活性中的应用前景。
Appl Microbiol Biotechnol. 2020 Feb;104(3):989-999. doi: 10.1007/s00253-019-10305-3. Epub 2019 Dec 19.
2
Architectural Organization of Dinoflagellate Liquid Crystalline Chromosomes.甲藻液晶染色体的结构组织
Microorganisms. 2019 Jan 22;7(2):27. doi: 10.3390/microorganisms7020027.
3
Cytotoxicity and DNA Damage Caused from Diazinon Exposure by Inhibiting the PI3K-AKT Pathway in Porcine Ovarian Granulosa Cells.
Environ Sci Technol. 2023 Dec 5;57(48):20228-20237. doi: 10.1021/acs.est.3c06685. Epub 2023 Nov 7.
4
Recent advances in fungal xenobiotic metabolism: enzymes and applications.真菌外源化合物代谢的最新进展:酶与应用。
World J Microbiol Biotechnol. 2023 Sep 2;39(11):296. doi: 10.1007/s11274-023-03737-7.
5
Metabolism of an insecticide fipronil by soil fungus Cunninghamella elegans ATCC36112.土壤真菌弯颈霉 ATCC36112 对杀虫剂氟虫腈的代谢。
Arch Microbiol. 2023 Jun 14;205(7):264. doi: 10.1007/s00203-023-03594-w.
6
Biodegradation and metabolic pathway of quinalphos by Cunninghamella elegans ATCC36112.棘孢木霉 ATCC36112 对喹硫磷的生物降解及代谢途径。
Biotechnol Lett. 2023 Jul;45(7):873-883. doi: 10.1007/s10529-023-03393-9. Epub 2023 May 17.
7
Filamentous fungi for sustainable remediation of pharmaceutical compounds, heavy metal and oil hydrocarbons.丝状真菌用于药物化合物、重金属和石油烃的可持续修复。
Front Bioeng Biotechnol. 2023 Feb 14;11:1106973. doi: 10.3389/fbioe.2023.1106973. eCollection 2023.
8
Application of a needle trap device packed with a MIP@MOF nano-composite for efficient sampling and determination of airborne diazinon pesticide.装有MIP@MOF纳米复合材料的针捕集装置在高效采集和测定空气中二嗪农农药中的应用。
RSC Adv. 2022 May 31;12(25):16267-16276. doi: 10.1039/d2ra01614a. eCollection 2022 May 23.
9
Actinobacteria isolated from wastewater treatment plants located in the east-north of Algeria able to degrade pesticides.从位于阿尔及利亚东北部的污水处理厂分离出的放线菌能够降解农药。
World J Microbiol Biotechnol. 2022 May 3;38(6):105. doi: 10.1007/s11274-022-03282-9.
10
Environmental Occurrence, Toxicity Concerns, and Degradation of Diazinon Using a Microbial System.利用微生物系统研究二嗪农的环境存在、毒性问题及降解情况
Front Microbiol. 2021 Nov 1;12:717286. doi: 10.3389/fmicb.2021.717286. eCollection 2021.
二嗪磷通过抑制猪卵巢颗粒细胞中的 PI3K-AKT 通路引起的细胞毒性和 DNA 损伤。
J Agric Food Chem. 2019 Jan 9;67(1):19-31. doi: 10.1021/acs.jafc.8b05194. Epub 2018 Dec 21.
4
Cyhalothrin biodegradation in Cunninghamella elegans.拟除虫菊酯在美丽青霉中的生物降解。
Environ Sci Pollut Res Int. 2019 Jan;26(2):1414-1421. doi: 10.1007/s11356-018-3689-0. Epub 2018 Nov 13.
5
Structural Elucidation of Metabolites of Synthetic Cannabinoid UR-144 by Cunninghamella elegans Using Nuclear Magnetic Resonance (NMR) Spectroscopy.利用核磁共振(NMR)光谱技术对合成大麻素 UR-144 的代谢产物进行结构解析。
AAPS J. 2018 Mar 8;20(2):42. doi: 10.1208/s12248-018-0209-6.
6
Metabolism of an Insecticide Fenitrothion by Cunninghamella elegans ATCC36112.顶孢头孢菌 ATCC36112 对杀虫剂 Fenitrothion 的代谢。
J Agric Food Chem. 2017 Dec 13;65(49):10711-10718. doi: 10.1021/acs.jafc.7b04273. Epub 2017 Nov 28.
7
Structure-Oxidative Metabolism Relationships of Substituted Flavones by Aspergillus niger.黑曲霉对取代黄酮的结构-氧化代谢关系
J Agric Food Chem. 2017 Apr 12;65(14):3056-3064. doi: 10.1021/acs.jafc.7b00390. Epub 2017 Mar 28.
8
Toxicopathic changes and genotoxic effects in liver of rat following exposure to diazinon.敌百虫染毒对大鼠肝脏的毒性病理学改变及遗传毒性作用
Environ Sci Pollut Res Int. 2016 Jun;23(11):11163-11170. doi: 10.1007/s11356-016-6314-0. Epub 2016 Feb 26.
9
Diazinon, an organophosphate pesticide, induces oxidative stress and genotoxicity in cells deriving from large intestine.二嗪磷,一种有机磷农药,会在大肠来源的细胞中诱导氧化应激和遗传毒性。
Environ Sci Pollut Res Int. 2016 Feb;23(3):2882-9. doi: 10.1007/s11356-015-5519-y.
10
Removal of the insecticide diazinon from liquid media by free and immobilized Streptomyces sp. isolated from agricultural soil.从农业土壤中分离出的游离态和固定化链霉菌对液体介质中杀虫剂二嗪农的去除
J Basic Microbiol. 2015 Mar;55(3):293-302. doi: 10.1002/jobm.201300576. Epub 2013 Dec 11.