• 文献检索
  • 文档翻译
  • 深度研究
  • 学术资讯
  • Suppr Zotero 插件Zotero 插件
  • 邀请有礼
  • 套餐&价格
  • 历史记录
应用&插件
Suppr Zotero 插件Zotero 插件浏览器插件Mac 客户端Windows 客户端微信小程序
定价
高级版会员购买积分包购买API积分包
服务
文献检索文档翻译深度研究API 文档MCP 服务
关于我们
关于 Suppr公司介绍联系我们用户协议隐私条款
关注我们

Suppr 超能文献

核心技术专利:CN118964589B侵权必究
粤ICP备2023148730 号-1Suppr @ 2026

文献检索

告别复杂PubMed语法,用中文像聊天一样搜索,搜遍4000万医学文献。AI智能推荐,让科研检索更轻松。

立即免费搜索

文件翻译

保留排版,准确专业,支持PDF/Word/PPT等文件格式,支持 12+语言互译。

免费翻译文档

深度研究

AI帮你快速写综述,25分钟生成高质量综述,智能提取关键信息,辅助科研写作。

立即免费体验

多尺度FOX-7颗粒的制备及其感度和热稳定性研究

Preparation of multi-scale FOX-7 particles and investigation of sensitivity and thermal stability.

作者信息

Xu Ruixuan, An Chongwei, Huang Hao, Wang Jingyu, Ye Baoyun, Liu Bin

机构信息

School of Environment and Safety Engineering, North University of China Taiyuan 030051 Shanxi China

Shanxi Engineering Technology Research Center for Ultrafine Powder, North University of China Taiyuan 030051 Shanxi China.

出版信息

RSC Adv. 2019 Jul 4;9(36):21042-21049. doi: 10.1039/c9ra03394g. eCollection 2019 Jul 1.

DOI:10.1039/c9ra03394g
PMID:35515516
原文链接:https://pmc.ncbi.nlm.nih.gov/articles/PMC9065742/
Abstract

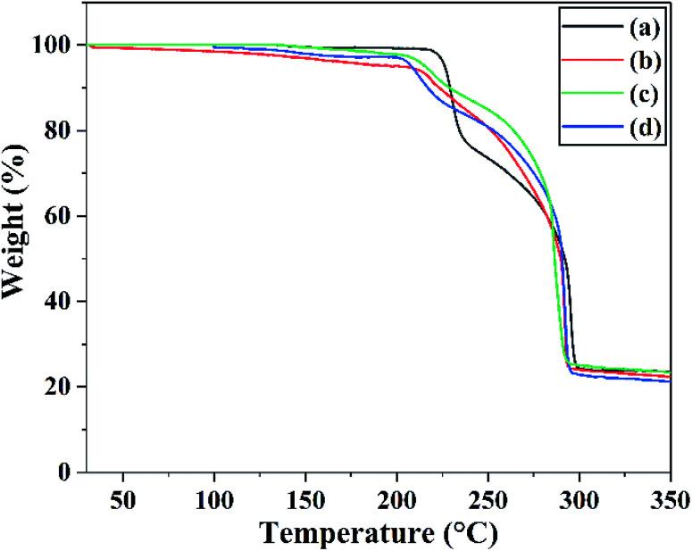
Multi-scale ultrafine 1,1-diamino-2,2-dinitroethene (FOX-7) samples with different particle size were fabricated and specifically, nano-FOX-7 was successfully prepared by a green mechanophysical milling method. All samples were characterized by field emission scanning electron microscopy (FE-SEM) and X-ray diffraction (XRD). Impact and friction sensitivities of the samples were tested and thermal analysis was performed by differential scanning calorimetry (DSC) and thermogravimetry (TG). Ultrafine particles with a mean size of 40 nm, 0.9 μm and 3.4 μm respectively showed less sensitivity than raw FOX-7, whose particles size was about 20 μm. The critical drop height of ultrafine FOX-7 increased from 129 cm to 172 cm, 142 cm and 136 cm, respectively and the friction sensitivity reduced from 32% to 8%, 16% and 20%, respectively. Furthermore, the apparent activation energy of ultrafine particles increased compared with raw materials, which suggested the thermal stability of the ultrafine particles was improved.

摘要

制备了具有不同粒径的多尺度超细1,1-二氨基-2,2-二硝基乙烯(FOX-7)样品,具体而言,通过绿色机械物理研磨法成功制备了纳米级FOX-7。所有样品均用场发射扫描电子显微镜(FE-SEM)和X射线衍射(XRD)进行表征。测试了样品的撞击和摩擦感度,并通过差示扫描量热法(DSC)和热重分析法(TG)进行热分析。平均粒径分别为40nm、0.9μm和3.4μm的超细颗粒显示出比粒径约为20μm的原始FOX-7更低的感度。超细FOX-7的临界落高分别从129cm增加到172cm、142cm和136cm,摩擦感度分别从32%降低到8%、16%和20%。此外,超细颗粒的表观活化能相对于原材料有所增加,这表明超细颗粒的热稳定性得到了提高。

https://cdn.ncbi.nlm.nih.gov/pmc/blobs/938d/9065742/57f119a532d8/c9ra03394g-f7.jpg
https://cdn.ncbi.nlm.nih.gov/pmc/blobs/938d/9065742/e9789722d0ad/c9ra03394g-f1.jpg
https://cdn.ncbi.nlm.nih.gov/pmc/blobs/938d/9065742/370cd3134cc7/c9ra03394g-f2.jpg
https://cdn.ncbi.nlm.nih.gov/pmc/blobs/938d/9065742/0cd32492125d/c9ra03394g-f3.jpg
https://cdn.ncbi.nlm.nih.gov/pmc/blobs/938d/9065742/25b3e27102db/c9ra03394g-f4.jpg
https://cdn.ncbi.nlm.nih.gov/pmc/blobs/938d/9065742/004e75fb1bb1/c9ra03394g-f5.jpg
https://cdn.ncbi.nlm.nih.gov/pmc/blobs/938d/9065742/2f6b14babe9d/c9ra03394g-f6.jpg
https://cdn.ncbi.nlm.nih.gov/pmc/blobs/938d/9065742/57f119a532d8/c9ra03394g-f7.jpg
https://cdn.ncbi.nlm.nih.gov/pmc/blobs/938d/9065742/e9789722d0ad/c9ra03394g-f1.jpg
https://cdn.ncbi.nlm.nih.gov/pmc/blobs/938d/9065742/370cd3134cc7/c9ra03394g-f2.jpg
https://cdn.ncbi.nlm.nih.gov/pmc/blobs/938d/9065742/0cd32492125d/c9ra03394g-f3.jpg
https://cdn.ncbi.nlm.nih.gov/pmc/blobs/938d/9065742/25b3e27102db/c9ra03394g-f4.jpg
https://cdn.ncbi.nlm.nih.gov/pmc/blobs/938d/9065742/004e75fb1bb1/c9ra03394g-f5.jpg
https://cdn.ncbi.nlm.nih.gov/pmc/blobs/938d/9065742/2f6b14babe9d/c9ra03394g-f6.jpg
https://cdn.ncbi.nlm.nih.gov/pmc/blobs/938d/9065742/57f119a532d8/c9ra03394g-f7.jpg

相似文献

1
Preparation of multi-scale FOX-7 particles and investigation of sensitivity and thermal stability.多尺度FOX-7颗粒的制备及其感度和热稳定性研究
RSC Adv. 2019 Jul 4;9(36):21042-21049. doi: 10.1039/c9ra03394g. eCollection 2019 Jul 1.
2
Preparation, characterization of spherical 1,1-diamino-2,2-dinitroethene (FOX-7), and study of its thermal decomposition characteristics.球形1,1-二氨基-2,2-二硝基乙烯(FOX-7)的制备、表征及其热分解特性研究。
RSC Adv. 2021 Oct 13;11(53):33522-33530. doi: 10.1039/d1ra05836c. eCollection 2021 Oct 8.
3
Preparation and Characterization of Ultrafine Nitroguanidine with Different Aspect Ratios.不同长径比超细硝基胍的制备与表征
ACS Omega. 2023 Dec 19;9(1):538-544. doi: 10.1021/acsomega.3c06086. eCollection 2024 Jan 9.
4
Mechanochemical fabrication and properties of CL-20/RDX nano co/mixed crystals.CL-20/RDX纳米共混晶体的机械化学制备及其性能
RSC Adv. 2018 Oct 4;8(59):34126-34135. doi: 10.1039/c8ra04122a. eCollection 2018 Sep 28.
5
The Effects of Metal Complexes of Nano-Graphene Oxide to Thermal Decomposition of FOX-7.纳米氧化石墨烯金属配合物对FOX-7热分解的影响
Nanomaterials (Basel). 2020 Jan 13;10(1):144. doi: 10.3390/nano10010144.
6
Preparation and characteristics of a novel PETN/TKX-50 co-crystal by a solvent/non-solvent method.溶剂/非溶剂法制备新型太安/TKX-50共晶及其特性
RSC Adv. 2019 Mar 21;9(16):9204-9210. doi: 10.1039/c8ra10512j. eCollection 2019 Mar 15.
7
Dependence of particle morphology and size on the mechanical sensitivity and thermal stability of octahydro-1,3,5,7-tetranitro-1,3,5,7-tetrazocine.八氢-1,3,5,7-四硝基-1,3,5,7-四氮杂环辛烷的颗粒形态和尺寸对其机械敏感性和热稳定性的依赖性。
J Hazard Mater. 2008 Nov 30;159(2-3):222-9. doi: 10.1016/j.jhazmat.2008.02.009. Epub 2008 Feb 13.
8
Significantly Enhanced Thermal Decomposition of Mechanically Activated Ammonium Perchlorate Coupling with Nano Copper Chromite.机械活化高氯酸铵与纳米铜铬铁矿耦合显著增强热分解
ACS Omega. 2021 Jun 10;6(24):16110-16118. doi: 10.1021/acsomega.1c02002. eCollection 2021 Jun 22.
9
Nanometer Ammonium Perchlorate and Ammonium Nitrate Prepared with 2D Network Structure via Rapid Freezing Technology.通过快速冷冻技术制备的具有二维网络结构的纳米高氯酸铵和硝酸铵
Nanomaterials (Basel). 2019 Nov 12;9(11):1605. doi: 10.3390/nano9111605.
10
Nanostructured CaWO4, CaWO4 : Pb2+ and CaWO4 : Tb3+ particles: polyol-mediated synthesis and luminescent properties.纳米结构的CaWO4、CaWO4 : Pb2+和CaWO4 : Tb3+颗粒:多元醇介导的合成及发光性质。
J Nanosci Nanotechnol. 2007 Feb;7(2):602-9.

引用本文的文献

1
Construction of nano-sized FOX-7/ZIF-8 composites for fast decomposition and reduced sensitivity.用于快速分解和降低敏感度的纳米级FOX-7/ZIF-8复合材料的构建。
RSC Adv. 2023 Jan 10;13(3):1862-1866. doi: 10.1039/d2ra06783h. eCollection 2023 Jan 6.
2
Preparation, characterization of spherical 1,1-diamino-2,2-dinitroethene (FOX-7), and study of its thermal decomposition characteristics.球形1,1-二氨基-2,2-二硝基乙烯(FOX-7)的制备、表征及其热分解特性研究。
RSC Adv. 2021 Oct 13;11(53):33522-33530. doi: 10.1039/d1ra05836c. eCollection 2021 Oct 8.
3
Terahertz spectral investigation of temperature induced polymorphic transformation of 2,2dinitroethylene-1,1-diamine.

本文引用的文献

1
One-Step Ball Milling Preparation of Nanoscale CL-20/Graphene Oxide for Significantly Reduced Particle Size and Sensitivity.一步球磨法制备纳米级CL-20/氧化石墨烯以显著减小粒径并降低感度
Nanoscale Res Lett. 2018 Feb 7;13(1):42. doi: 10.1186/s11671-017-2416-y.
2
Fabrication of FOX-7 quasi-three-dimensional grids of one-dimensional nanostructures via a spray freeze-drying technique and size-dependence of thermal properties.通过喷雾冷冻干燥技术制备 FOX-7 准三维一维纳米结构网格及其热性能的尺寸依赖性。
J Hazard Mater. 2010 Dec 15;184(1-3):561-566. doi: 10.1016/j.jhazmat.2010.08.072. Epub 2010 Aug 26.
3
Prefilming twin-fluid nozzle assisted precipitation method for preparing nanocrystalline HNS and its characterization.
太赫兹光谱研究2,2 - 二硝基乙烯 - 1,1 - 二胺温度诱导的多晶型转变
RSC Adv. 2021 Feb 3;11(11):6247-6253. doi: 10.1039/d0ra10754a. eCollection 2021 Feb 2.
用于制备纳米晶HNS的预拍摄双流体喷嘴辅助沉淀法及其表征
J Hazard Mater. 2009 Mar 15;162(2-3):842-7. doi: 10.1016/j.jhazmat.2008.05.107. Epub 2008 May 28.
4
Dependence of particle morphology and size on the mechanical sensitivity and thermal stability of octahydro-1,3,5,7-tetranitro-1,3,5,7-tetrazocine.八氢-1,3,5,7-四硝基-1,3,5,7-四氮杂环辛烷的颗粒形态和尺寸对其机械敏感性和热稳定性的依赖性。
J Hazard Mater. 2008 Nov 30;159(2-3):222-9. doi: 10.1016/j.jhazmat.2008.02.009. Epub 2008 Feb 13.
5
Synthesis, characterization and thermolysis of 1,1-diamino-2,2-dinitroethylene (FOX-7) and its salts.1,1-二氨基-2,2-二硝基乙烯(FOX-7)及其盐类的合成、表征与热解
J Hazard Mater. 2006 Sep 21;137(2):812-9. doi: 10.1016/j.jhazmat.2006.03.034. Epub 2006 May 15.