Suppr超能文献

双钙钛矿氧化物BaPrRuO的介电弛豫

Dielectric relaxation of the double perovskite oxide BaPrRuO.

作者信息

Chen Jenq-Wei, Chiou Kuan Ru, Hsueh An-Chih, Chang Ching-Ray

机构信息

Department of Physics, National Taiwan University Taipei 106 Taiwan

出版信息

RSC Adv. 2019 Apr 23;9(22):12319-12324. doi: 10.1039/c9ra00663j. eCollection 2019 Apr 17.

Abstract

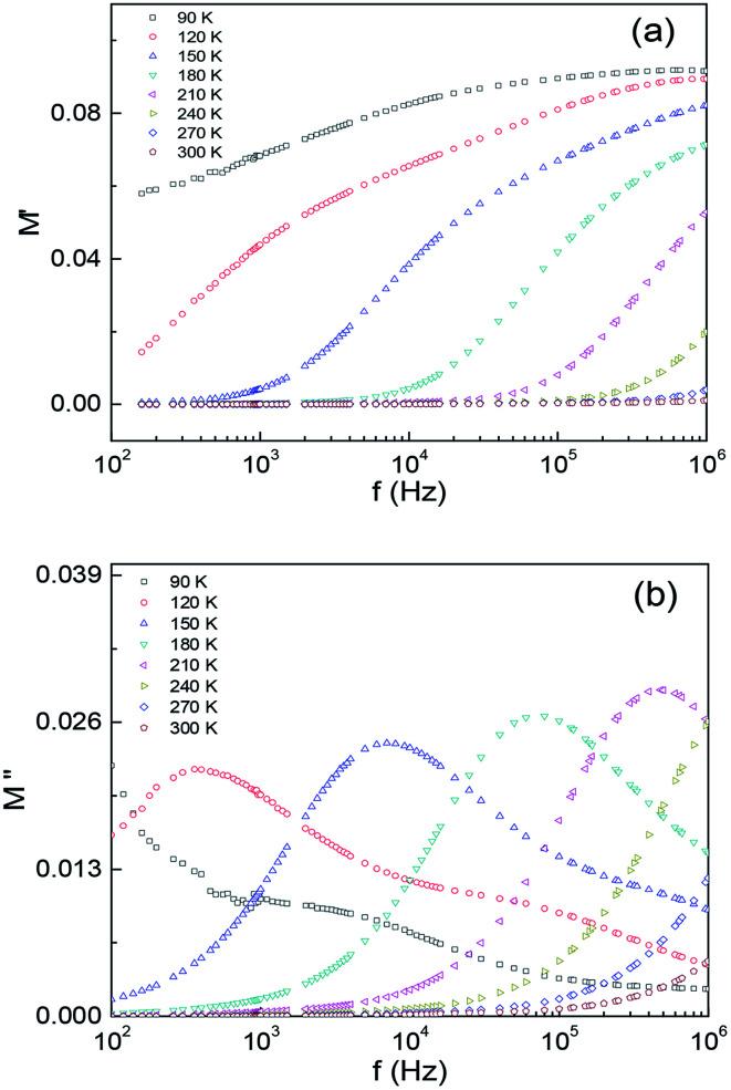
Samples of BaPrRuO were prepared by the solid state reaction method and the structure was characterized by X-ray diffraction (XRD). Scanning electron microscopy (SEM) and dielectric measurements were performed in order to investigate the morphology and electric properties of the ceramics. X-ray diffraction data reveal that the BaPrRuO samples are of the cubic crystal structure with the space group 3̄ at room temperature. The dielectric properties were studied in the range of 20 Hz to 1 MHz in the temperature range from 10 K to 300 K. Strong dispersion in frequency and a rapid increase in ' are observed when > 150 K. The observed steps of the '() curves are correlated with the peaks of the tan () curves, with the peak temperature shifting to higher values as the frequency increases. Impedance spectroscopy studies indicate the presence of grain and grain boundary relaxations in the sample at high temperatures, while at low temperatures only grain relaxation can be observed. Both grain and grain boundary relaxation times follow the Arrhenius law with activation energies of 0.16 eV and 0.17 eV, respectively.

摘要

采用固态反应法制备了BaPrRuO样品,并通过X射线衍射(XRD)对其结构进行了表征。为了研究陶瓷的形貌和电学性能,进行了扫描电子显微镜(SEM)和介电测量。X射线衍射数据表明,BaPrRuO样品在室温下具有立方晶体结构,空间群为3̄。在10 K至300 K的温度范围内,在20 Hz至1 MHz的频率范围内研究了介电性能。当温度高于150 K时,观察到频率上的强色散和‘的快速增加。观察到的‘()曲线的台阶与tan ()曲线的峰值相关,随着频率增加,峰值温度向更高值移动。阻抗谱研究表明,在高温下样品中存在晶粒和晶界弛豫,而在低温下只能观察到晶粒弛豫。晶粒和晶界弛豫时间均遵循阿仑尼乌斯定律,激活能分别为0.16 eV和0.17 eV。

https://cdn.ncbi.nlm.nih.gov/pmc/blobs/04c8/9063643/e9011c70c5ed/c9ra00663j-f1.jpg

文献检索

告别复杂PubMed语法,用中文像聊天一样搜索,搜遍4000万医学文献。AI智能推荐,让科研检索更轻松。

立即免费搜索

文件翻译

保留排版,准确专业,支持PDF/Word/PPT等文件格式,支持 12+语言互译。

免费翻译文档

深度研究

AI帮你快速写综述,25分钟生成高质量综述,智能提取关键信息,辅助科研写作。

立即免费体验