Suppr超能文献

1,2,3-三唑环上供体/受体取代基对新型三联吡啶衍生物的影响:合成与性质

Influence of the substituent D/A at the 1,2,3-triazole ring on novel terpyridine derivatives: synthesis and properties.

作者信息

Zych Dawid, Slodek Aneta, Zimny Dżastin, Golba Sylwia, Malarz Katarzyna, Mrozek-Wilczkiewicz Anna

机构信息

Institute of Chemistry, Faculty of Mathematics, Physics and Chemistry, University of Silesia Szkolna 9 40-007 Katowice Poland

Institute of Materials Science, University of Silesia 75 Pulku Piechoty 1A 41-500 Chorzów Poland.

出版信息

RSC Adv. 2019 May 28;9(29):16554-16564. doi: 10.1039/c9ra02655j. eCollection 2019 May 24.

Abstract

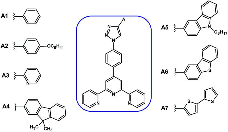
In this study, we newly designed and developed a synthesis route based on the 1,3-dipolar cycloaddition of the derivatives of 4'-(1,2,3-triazol-4-yl)phenyl-2,2':6',2''-terpyridine with various (hetero)aryl substituents, differing in electronic character, on a triazol ring. The obtained compounds were comprehensively characterized by UV-Vis spectroscopy and electrochemical and thermal studies. Moreover, preliminary biological tests were conducted. The investigation allowed the selection of materials with the most promising properties with particular emphasis on the nature of the substituents. In addition, theoretical studies (DFT and TD-DFT) were performed to verify the comprehensive understanding of experimental results.

摘要

在本研究中,我们新设计并开发了一种合成路线,该路线基于4'-(1,2,3-三唑-4-基)苯基-2,2':6',2''-三联吡啶衍生物与各种在三唑环上具有不同电子性质的(杂)芳基取代基的1,3-偶极环加成反应。通过紫外-可见光谱、电化学和热学研究对所得化合物进行了全面表征。此外,还进行了初步的生物学测试。该研究使得能够选择具有最有前景性质的材料,特别强调了取代基的性质。此外,还进行了理论研究(密度泛函理论和含时密度泛函理论)以验证对实验结果的全面理解。

https://cdn.ncbi.nlm.nih.gov/pmc/blobs/6177/9064414/df92cd7763a6/c9ra02655j-f1.jpg

文献AI研究员

20分钟写一篇综述,助力文献阅读效率提升50倍。

立即体验

用中文搜PubMed

大模型驱动的PubMed中文搜索引擎

马上搜索

文档翻译

学术文献翻译模型,支持多种主流文档格式。

立即体验