Suppr超能文献

用于二氧化碳捕集的由高炉矿渣衍生的CaMgAl层状双氢氧化物和介孔二氧化硅吸附剂的制备。

Preparation of CaMgAl-LDHs and mesoporous silica sorbents derived from blast furnace slag for CO capture.

作者信息

Jiang Haojie, Guo Hongwei, Li Peng, Li Yang, Yan Bingji

机构信息

Shagang School of Iron and Steel, Soochow University Suzhou 215021 P. R. China

The State Key Laboratory of Refractories and Metallurgy, School of Materials and Metallurgy, Wuhan University of Science and Technology Wuhan 430081 China.

出版信息

RSC Adv. 2019 Feb 19;9(11):6054-6063. doi: 10.1039/c8ra08458k. eCollection 2019 Feb 18.

Abstract

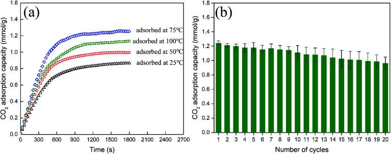
High volume blast furnace slag (BFS) resulting from iron-making activities has long been considered a burden for the environment. Despite considerable research efforts, attempts to convert BFS into high value-added products for environmental remediation are still challenging. In this study, calcium-magnesium-aluminium layered double hydroxides (CaMgAl-LDHs) and ordered mesoporous silica material (MCM-41) sorbents were simultaneously synthesized from BFS, and their CO adsorption performance was evaluated. Calcium (Ca), magnesium (Mg) and aluminium (Al) were selectively extracted from BFS using hydrochloric acid. Leaching conditions consisting of 2 mol L acid concentration, 100 °C leaching temperature, 90 min leaching time and a solid-to-liquid ratio of 40 g L achieved a high leaching ratio of Ca, Mg and Al at 88.08%, 88.59% and 82.27%, respectively. The silica-rich residue (SiO > 98.6 wt%) generated from the leaching process could be used as a precursor for MCM-41 preparation. Chemical composition, surface chemical bonds, morphology and textural properties of the as-synthesized CaMgAl-LDHs and MCM-41 sorbents were determined. Both the CaMgAl-LDHs and MCM-41 sorbents were found to be thermally stable and exhibited comparable adsorption uptake and rates over 20 CO adsorption/desorption cycles. This work demonstrated that a total solution for the utilisation of BFS can be achieved and the resulting valuable products, CaMgAl-LDHs and MCM-41 are promising sorbents for CO capture.

摘要

炼铁活动产生的大量高炉矿渣(BFS)长期以来一直被视为环境负担。尽管进行了大量研究,但将BFS转化为用于环境修复的高附加值产品的尝试仍然具有挑战性。在本研究中,从BFS中同时合成了钙镁铝层状双氢氧化物(CaMgAl-LDHs)和有序介孔二氧化硅材料(MCM-41)吸附剂,并评估了它们对CO的吸附性能。使用盐酸从BFS中选择性提取钙(Ca)、镁(Mg)和铝(Al)。在酸浓度为2 mol/L、浸出温度为100℃、浸出时间为90分钟且固液比为40 g/L的浸出条件下,Ca、Mg和Al的浸出率分别达到88.08%、88.59%和82.27%。浸出过程中产生的富含二氧化硅的残渣(SiO>98.6 wt%)可作为制备MCM-41的前驱体。测定了合成的CaMgAl-LDHs和MCM-41吸附剂的化学成分、表面化学键、形态和结构性质。发现CaMgAl-LDHs和MCM-41吸附剂均具有热稳定性,并且在20次CO吸附/解吸循环中表现出相当的吸附量和速率。这项工作表明,可以实现BFS利用的整体解决方案,所得的有价值产品CaMgAl-LDHs和MCM-41是有前景的CO捕获吸附剂。

https://cdn.ncbi.nlm.nih.gov/pmc/blobs/b587/9060887/69f556893839/c8ra08458k-f1.jpg

文献检索

告别复杂PubMed语法,用中文像聊天一样搜索,搜遍4000万医学文献。AI智能推荐,让科研检索更轻松。

立即免费搜索

文件翻译

保留排版,准确专业,支持PDF/Word/PPT等文件格式,支持 12+语言互译。

免费翻译文档

深度研究

AI帮你快速写综述,25分钟生成高质量综述,智能提取关键信息,辅助科研写作。

立即免费体验