• 文献检索
  • 文档翻译
  • 深度研究
  • 学术资讯
  • Suppr Zotero 插件Zotero 插件
  • 邀请有礼
  • 套餐&价格
  • 历史记录
应用&插件
Suppr Zotero 插件Zotero 插件浏览器插件Mac 客户端Windows 客户端微信小程序
定价
高级版会员购买积分包购买API积分包
服务
文献检索文档翻译深度研究API 文档MCP 服务
关于我们
关于 Suppr公司介绍联系我们用户协议隐私条款
关注我们

Suppr 超能文献

核心技术专利:CN118964589B侵权必究
粤ICP备2023148730 号-1Suppr @ 2026

文献检索

告别复杂PubMed语法,用中文像聊天一样搜索,搜遍4000万医学文献。AI智能推荐,让科研检索更轻松。

立即免费搜索

文件翻译

保留排版,准确专业,支持PDF/Word/PPT等文件格式,支持 12+语言互译。

免费翻译文档

深度研究

AI帮你快速写综述,25分钟生成高质量综述,智能提取关键信息,辅助科研写作。

立即免费体验

PDE6A 相关性视锥视杆细胞营养不良的中心视觉功能与基因型-表型相关性

Central Visual Function and Genotype-Phenotype Correlations in PDE6A-Associated Retinitis Pigmentosa.

机构信息

University Eye Hospital, Centre for Ophthalmology, Eberhard Karls University of Tübingen, Tübingen, Germany.

Institute for Ophthalmic Research, Centre for Ophthalmology, Eberhard Karls University of Tübingen, Tübingen, Germany.

出版信息

Invest Ophthalmol Vis Sci. 2022 May 2;63(5):9. doi: 10.1167/iovs.63.5.9.

DOI:10.1167/iovs.63.5.9
PMID:35533076
原文链接:https://pmc.ncbi.nlm.nih.gov/articles/PMC9106976/
Abstract

PURPOSE

Autosomal recessive retinitis pigmentosa (arRP) can be caused by mutations in the phosphodiesterase 6A (PDE6A) gene. Here, we describe the natural course of disease progression with respect to central retinal function (i.e., visual acuity, contrast sensitivity, and color vision) and establish a detailed genotype--phenotype correlation.

METHODS

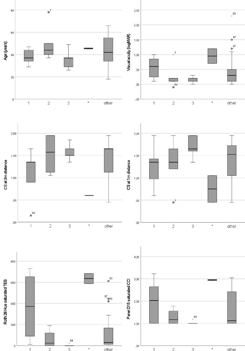
Forty-four patients (26 females; mean age ± SD, 43 ± 13 years) with a confirmed genetic diagnosis of PDE6A-associated arRP underwent comprehensive ophthalmological examinations including best-corrected visual acuity (BCVA) with Early Treatment Diabetic Retinopathy Study charts, contrast sensitivity (CS) with Pelli-Robson charts at distances of 3 m and 1 m, and color vision testing using Roth 28-Hue and Panel D-15 saturated color cups.

RESULTS

The most frequently observed variants were c.998+1G>A/p.?, c.304C>A/p.R102S, and c.2053G>A/p.V685M. Central retinal function in patients homozygous for variant c.304C>A/p.R102S was better when compared to patients homozygous for variant c.998+1G>A/p.?, although the former were older at baseline. Central retinal function was similar in patients homozygous for variant c.304C>A/p.R102S and patients heterozygous for variants c.304C>A/p.R102S and c.2053G>A/p.V685M, although the latter were younger at baseline. Annual decline rates in central retinal function were small.

CONCLUSIONS

We conclude that the severity of the different disease-causing PDE6A mutations in humans with respect to central visual function may be ranked as follows: c.2053G>A/p.V685M in homozygous state (most severe) > c.998+1G>A/p.? in homozygous state > c.304C>A/p.R102S and c.2053G>A/p.V685M in compound-heterozygous state > c.304C>A/p.R102S in homozygous state (mildest). The assessment of treatment efficacy in interventional trials will remain challenging due to small annual decline rates in central retinal function.

摘要

目的

常染色体隐性视网膜色素变性(arRP)可由磷酸二酯酶 6A(PDE6A)基因突变引起。在此,我们描述了中央视网膜功能(即视力、对比敏感度和色觉)的疾病进展自然过程,并建立了详细的基因型-表型相关性。

方法

44 名经基因确诊为 PDE6A 相关 arRP 的患者(26 名女性;平均年龄±标准差,43±13 岁)接受了全面的眼科检查,包括最佳矫正视力(BCVA)的早期糖尿病视网膜病变研究图表、3m 和 1m 距离的 Pelli-Robson 图表的对比敏感度(CS)和 Roth 28-Hue 和 Panel D-15 饱和色杯的色觉测试。

结果

最常观察到的变异是 c.998+1G>A/p.?, c.304C>A/p.R102S 和 c.2053G>A/p.V685M。与 c.998+1G>A/p.?纯合子患者相比,c.304C>A/p.R102S 纯合子患者的中央视网膜功能更好,尽管前者的基线年龄更大。c.304C>A/p.R102S 纯合子患者和 c.304C>A/p.R102S 和 c.2053G>A/p.V685M 杂合子患者的中央视网膜功能相似,尽管后者的基线年龄更小。中央视网膜功能的年下降率较小。

结论

我们得出结论,人类中不同 PDE6A 突变导致疾病的严重程度可能如下:c.2053G>A/p.V685M 纯合状态(最严重)>c.998+1G>A/p.? 纯合状态>c.304C>A/p.R102S 和 c.2053G>A/p.V685M 复合杂合状态>c.304C>A/p.R102S 纯合状态(最轻)。由于中央视网膜功能的年下降率较小,干预试验的治疗效果评估仍将具有挑战性。

https://cdn.ncbi.nlm.nih.gov/pmc/blobs/89ab/9106976/2c1fce0ca2f0/iovs-63-5-9-f005.jpg
https://cdn.ncbi.nlm.nih.gov/pmc/blobs/89ab/9106976/e30eee00d5d5/iovs-63-5-9-f001.jpg
https://cdn.ncbi.nlm.nih.gov/pmc/blobs/89ab/9106976/9ad884068899/iovs-63-5-9-f002.jpg
https://cdn.ncbi.nlm.nih.gov/pmc/blobs/89ab/9106976/437c0c4e7699/iovs-63-5-9-f003.jpg
https://cdn.ncbi.nlm.nih.gov/pmc/blobs/89ab/9106976/c3dba9a79482/iovs-63-5-9-f004.jpg
https://cdn.ncbi.nlm.nih.gov/pmc/blobs/89ab/9106976/2c1fce0ca2f0/iovs-63-5-9-f005.jpg
https://cdn.ncbi.nlm.nih.gov/pmc/blobs/89ab/9106976/e30eee00d5d5/iovs-63-5-9-f001.jpg
https://cdn.ncbi.nlm.nih.gov/pmc/blobs/89ab/9106976/9ad884068899/iovs-63-5-9-f002.jpg
https://cdn.ncbi.nlm.nih.gov/pmc/blobs/89ab/9106976/437c0c4e7699/iovs-63-5-9-f003.jpg
https://cdn.ncbi.nlm.nih.gov/pmc/blobs/89ab/9106976/c3dba9a79482/iovs-63-5-9-f004.jpg
https://cdn.ncbi.nlm.nih.gov/pmc/blobs/89ab/9106976/2c1fce0ca2f0/iovs-63-5-9-f005.jpg

相似文献

1
Central Visual Function and Genotype-Phenotype Correlations in PDE6A-Associated Retinitis Pigmentosa.PDE6A 相关性视锥视杆细胞营养不良的中心视觉功能与基因型-表型相关性
Invest Ophthalmol Vis Sci. 2022 May 2;63(5):9. doi: 10.1167/iovs.63.5.9.
2
Clinical Phenotype and Course of PDE6A-Associated Retinitis Pigmentosa Disease, Characterized in Preparation for a Gene Supplementation Trial.PDE6A 相关的视网膜色素变性疾病的临床表型和病程,为基因补充试验做准备。
JAMA Ophthalmol. 2020 Dec 1;138(12):1241-1250. doi: 10.1001/jamaophthalmol.2020.4206.
3
Increased Plasma cGMP in a Family With Autosomal Recessive Retinitis Pigmentosa Due to Homozygous Mutations in the PDE6A Gene.由于PDE6A基因纯合突变导致的常染色体隐性视网膜色素变性家族中血浆环磷酸鸟苷水平升高。
Invest Ophthalmol Vis Sci. 2016 Nov 1;57(14):6048-6057. doi: 10.1167/iovs.16-19861.
4
Retinitis pigmentosa: impact of different Pde6a point mutations on the disease phenotype.视网膜色素变性:不同Pde6a点突变对疾病表型的影响
Hum Mol Genet. 2015 Oct 1;24(19):5486-99. doi: 10.1093/hmg/ddv275. Epub 2015 Jul 17.
5
Novel variants in PDE6A and PDE6B genes and its phenotypes in patients with retinitis pigmentosa in Chinese families.中国人视网膜色素变性家系中 PDE6A 和 PDE6B 基因的新型变异及其表型。
BMC Ophthalmol. 2022 Jan 15;22(1):27. doi: 10.1186/s12886-021-02242-5.
6
Longitudinal Clinical Follow-up and Genetic Spectrum of Patients With Rod-Cone Dystrophy Associated With Mutations in PDE6A and PDE6B.PDE6A 和 PDE6B 基因突变相关的 rods-cone 营养不良患者的纵向临床随访和遗传谱。
JAMA Ophthalmol. 2019 Jun 1;137(6):669-679. doi: 10.1001/jamaophthalmol.2018.6367.
7
Splice-site mutations identified in PDE6A responsible for retinitis pigmentosa in consanguineous Pakistani families.在近亲结婚的巴基斯坦家庭中,PDE6A基因中发现的剪接位点突变导致色素性视网膜炎。
Mol Vis. 2015 Aug 18;21:871-82. eCollection 2015.
8
Targeted next-generation sequencing reveals that a compound heterozygous mutation in phosphodiesterase 6a gene leads to retinitis pigmentosa in a Chinese family.靶向二代测序揭示磷酸二酯酶6a基因的复合杂合突变导致一个中国家系患色素性视网膜炎。
Ophthalmic Genet. 2018 Aug;39(4):487-491. doi: 10.1080/13816810.2018.1461912. Epub 2018 Apr 25.
9
A new PDE6A missense variant p.Arg544Gln in rod-cone dystrophy.一种新的 PDE6A 错义变异 p.Arg544Gln 导致视杆-视锥营养不良。
Doc Ophthalmol. 2021 Aug;143(1):107-114. doi: 10.1007/s10633-021-09826-y. Epub 2021 Feb 21.
10
P.arg102ser is a common Pde6a mutation causing autosomal recessive retinitis pigmentosa in Pakistani families.P.arg102ser 是一种常见的 Pde6a 突变,导致巴基斯坦家族性常染色体隐性视网膜色素变性。
J Pak Med Assoc. 2021 Mar;71(3):816-821. doi: 10.47391/JPMA.256.

引用本文的文献

1
Assessment of a novel color vision optomotor response assay in zebrafish larvae with red cone ablation.对红锥消融的斑马鱼幼体进行新型色觉视动反应测定的评估。
Lab Anim (NY). 2025 Jul 25. doi: 10.1038/s41684-025-01586-5.
2
All-in-one AAV-mediated Nrl gene inactivation rescues retinal degeneration in Pde6a mice.一体化腺相关病毒介导的Nrl基因失活挽救了Pde6a小鼠的视网膜变性。
JCI Insight. 2024 Dec 20;9(24):e178159. doi: 10.1172/jci.insight.178159.
3
Efficient Rescue of Retinal Degeneration in Pde6a Mice by Engineered Base Editing and Prime Editing.

本文引用的文献

1
ERG assessment of altered retinal function in canine models of retinitis pigmentosa and monitoring of response to translatable gene augmentation therapy.视网膜色素变性犬模型中视网膜功能改变的视网膜电图(ERG)评估及可转化基因增强疗法反应的监测
Doc Ophthalmol. 2021 Oct;143(2):171-184. doi: 10.1007/s10633-021-09832-0. Epub 2021 Apr 5.
2
Clinical Perspectives and Trends: Microperimetry as a Trial Endpoint in Retinal Disease.临床观点与趋势:微视野计在视网膜疾病中的试验终点应用。
Ophthalmologica. 2021;244(5):418-450. doi: 10.1159/000515148. Epub 2021 Feb 10.
3
Neovascular Age-Related Macular Degeneration: Therapeutic Management and New-Upcoming Approaches.
通过工程化碱基编辑和先导编辑高效挽救 Pde6a 小鼠的视网膜变性。
Adv Sci (Weinh). 2024 Nov;11(42):e2405628. doi: 10.1002/advs.202405628. Epub 2024 Sep 19.
4
Self-Reported Functional Vision in USH2A-Associated Retinal Degeneration as Measured by the Michigan Retinal Degeneration Questionnaire.密歇根视网膜变性问卷评估的 USH2A 相关性视网膜变性的自我报告功能性视力。
Invest Ophthalmol Vis Sci. 2024 Jun 3;65(6):5. doi: 10.1167/iovs.65.6.5.
5
Electrically-evoked responses for retinal prostheses are differentially altered depending on ganglion cell types in outer retinal neurodegeneration caused by gene mutation.视网膜假体的电诱发反应在由基因突变引起的外视网膜神经变性中,会根据神经节细胞类型而发生不同程度的改变。
Front Cell Neurosci. 2023 Feb 6;17:1115703. doi: 10.3389/fncel.2023.1115703. eCollection 2023.
新生血管性年龄相关性黄斑变性:治疗管理与新出现的方法。
Int J Mol Sci. 2020 Nov 3;21(21):8242. doi: 10.3390/ijms21218242.
4
Clinical Phenotype and Course of PDE6A-Associated Retinitis Pigmentosa Disease, Characterized in Preparation for a Gene Supplementation Trial.PDE6A 相关的视网膜色素变性疾病的临床表型和病程,为基因补充试验做准备。
JAMA Ophthalmol. 2020 Dec 1;138(12):1241-1250. doi: 10.1001/jamaophthalmol.2020.4206.
5
Rod function deficit in retained photoreceptors of patients with class B Rhodopsin mutations.B 型视紫红质突变患者保留感光细胞的功能缺陷。
Sci Rep. 2020 Jul 28;10(1):12552. doi: 10.1038/s41598-020-69456-3.
6
Retinal Dystrophies and the Road to Treatment: Clinical Requirements and Considerations.视网膜营养不良及其治疗途径:临床需求与考量。
Asia Pac J Ophthalmol (Phila). 2020 May-Jun;9(3):159-179. doi: 10.1097/APO.0000000000000290.
7
Advancing Gene Therapy for PDE6A Retinitis Pigmentosa.推进 PDE6A 型视网膜色素变性的基因治疗。
Adv Exp Med Biol. 2019;1185:103-107. doi: 10.1007/978-3-030-27378-1_17.
8
A nationwide genetic analysis of inherited retinal diseases in Israel as assessed by the Israeli inherited retinal disease consortium (IIRDC).以色列遗传性视网膜疾病联合会(IIRDC)对以色列遗传性视网膜疾病进行的全国性基因分析。
Hum Mutat. 2020 Jan;41(1):140-149. doi: 10.1002/humu.23903. Epub 2019 Sep 15.
9
Longitudinal Clinical Follow-up and Genetic Spectrum of Patients With Rod-Cone Dystrophy Associated With Mutations in PDE6A and PDE6B.PDE6A 和 PDE6B 基因突变相关的 rods-cone 营养不良患者的纵向临床随访和遗传谱。
JAMA Ophthalmol. 2019 Jun 1;137(6):669-679. doi: 10.1001/jamaophthalmol.2018.6367.
10
Therapeutic Window for Phosphodiesterase 6-Related Retinitis Pigmentosa.磷酸二酯酶6相关性视网膜色素变性的治疗窗
JAMA Ophthalmol. 2019 Jun 1;137(6):679-680. doi: 10.1001/jamaophthalmol.2018.6381.