• 文献检索
  • 文档翻译
  • 深度研究
  • 学术资讯
  • Suppr Zotero 插件Zotero 插件
  • 邀请有礼
  • 套餐&价格
  • 历史记录
应用&插件
Suppr Zotero 插件Zotero 插件浏览器插件Mac 客户端Windows 客户端微信小程序
定价
高级版会员购买积分包购买API积分包
服务
文献检索文档翻译深度研究API 文档MCP 服务
关于我们
关于 Suppr公司介绍联系我们用户协议隐私条款
关注我们

Suppr 超能文献

核心技术专利:CN118964589B侵权必究
粤ICP备2023148730 号-1Suppr @ 2026

文献检索

告别复杂PubMed语法,用中文像聊天一样搜索,搜遍4000万医学文献。AI智能推荐,让科研检索更轻松。

立即免费搜索

文件翻译

保留排版,准确专业,支持PDF/Word/PPT等文件格式,支持 12+语言互译。

免费翻译文档

深度研究

AI帮你快速写综述,25分钟生成高质量综述,智能提取关键信息,辅助科研写作。

立即免费体验

植物生长、生理变异以及保育物种间的同源关系。

Plant growth, physiological variation and homological relationship of species in conservation.

作者信息

Feng Ying, Zheng Kailing, Lin Xiulian, Huang Junpo

机构信息

School of Resource and Environmental Science, Quanzhou Normal University, Donghai Street, Quanzhou City, Fujian Province, 362000, China.

Quanzhou Institute of Agricultural Science, Chidian Town, Jinjiang City, Fujian Province, 362000, China.

出版信息

Conserv Physiol. 2022 May 7;10(1):coac016. doi: 10.1093/conphys/coac016. eCollection 2022.

DOI:10.1093/conphys/coac016
PMID:35539008
原文链接:https://pmc.ncbi.nlm.nih.gov/articles/PMC9082347/
Abstract

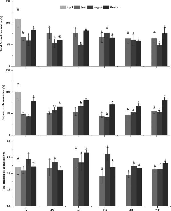
Natural forests of have been seriously damaged because of the extreme demand for leaf medicinal uses, making conservation of this valuable, medicinal woody species necessary. Because of geographical differentiation and diverse adaptability, in this study we analysed the variations in plant growth and physiological response to environmental factors at a resource plantation of conservation and determined the homological relationships between local provenance (from Fujian Province, FJ) and introduced provenances showing high-survival rate and better growth (from Zhejiang, Hubei, Guizhou and Jiangxi Province). Our results suggested the following: (i) Plant growth: FJ had the highest plant height but not the largest basal diameter in comparison to that of other provenances. (ii) Physiological responses during the growth periods: water content in leaf of FJ had similar change with that of other provenances, except for the provenance from Guizhou Province; total soluble sugar content in leaf of FJ was more than that of other provenances; calcium content in leaf of all provenances was higher as compared to K, Mg and Na; the highest activity among four kinds of antioxidant enzymes in all provenances was superoxide dismutase, then was polyphenol oxidase and peroxidase, finally was catalase; and total flavonoid among three kinds of secondary metabolites in all provenances showed the greatest content, followed by polysaccharides and total triterpenoid. (iii) Relation analysis: plant growth and physiological responses related with environmental factors, especially temperature and precipitation. (iv) Homological relationships: leaf characteristics among six provenances varied in colour, area and common petiole length, but not the shape of leaf base or apex. distributed in Fujian Province showed a very close homological relationship with that distributed in Zhejiang Province by simple sequence repeat. These findings will provide knowledge on physiological response to environmental factors and aid to select suitable provenances for cultivation.

摘要

由于对其叶片药用用途的极高需求,[物种名称]的天然林已遭到严重破坏,因此有必要对这种珍贵的药用木本植物进行保护。由于地理差异和多样的适应性,在本研究中,我们分析了该保护物种资源种植园中植物生长和对环境因子的生理响应变化,并确定了当地种源(来自福建省,FJ)与引入的高成活率且生长较好的种源(来自浙江、湖北、贵州和江西省)之间的同源关系。我们的结果表明:(i)植物生长:与其他种源相比,FJ的株高最高,但基径不是最大。(ii)生长期间的生理响应:除贵州省种源外,FJ叶片的含水量变化与其他种源相似;FJ叶片中的总可溶性糖含量高于其他种源;所有种源叶片中的钙含量均高于钾、镁和钠;所有种源中四种抗氧化酶的活性最高的是超氧化物歧化酶,其次是多酚氧化酶和过氧化物酶,最后是过氧化氢酶;所有种源中三种次生代谢产物中的总黄酮含量最高,其次是多糖和总三萜。(iii)关系分析:植物生长和生理响应与环境因子相关,尤其是温度和降水。(iv)同源关系:六个种源的叶片特征在颜色、面积和叶柄长度上有所不同,但叶基部或叶尖的形状没有差异。通过简单序列重复分析,分布在福建省的[物种名称]与分布在浙江省的[物种名称]显示出非常密切的同源关系。这些发现将为了解植物对环境因子的生理响应提供知识,并有助于选择适合[物种名称]种植的种源。

https://cdn.ncbi.nlm.nih.gov/pmc/blobs/f5b7/9082347/73a026f2ed72/coac016f8.jpg
https://cdn.ncbi.nlm.nih.gov/pmc/blobs/f5b7/9082347/5251224cea0b/coac016f1.jpg
https://cdn.ncbi.nlm.nih.gov/pmc/blobs/f5b7/9082347/8b59e5867cab/coac016f2.jpg
https://cdn.ncbi.nlm.nih.gov/pmc/blobs/f5b7/9082347/41cbf85391ea/coac016f3.jpg
https://cdn.ncbi.nlm.nih.gov/pmc/blobs/f5b7/9082347/7f7b30ba51a0/coac016f4.jpg
https://cdn.ncbi.nlm.nih.gov/pmc/blobs/f5b7/9082347/13858b75a940/coac016f5.jpg
https://cdn.ncbi.nlm.nih.gov/pmc/blobs/f5b7/9082347/2b062bff4309/coac016f6.jpg
https://cdn.ncbi.nlm.nih.gov/pmc/blobs/f5b7/9082347/8028c2c07c07/coac016f7.jpg
https://cdn.ncbi.nlm.nih.gov/pmc/blobs/f5b7/9082347/73a026f2ed72/coac016f8.jpg
https://cdn.ncbi.nlm.nih.gov/pmc/blobs/f5b7/9082347/5251224cea0b/coac016f1.jpg
https://cdn.ncbi.nlm.nih.gov/pmc/blobs/f5b7/9082347/8b59e5867cab/coac016f2.jpg
https://cdn.ncbi.nlm.nih.gov/pmc/blobs/f5b7/9082347/41cbf85391ea/coac016f3.jpg
https://cdn.ncbi.nlm.nih.gov/pmc/blobs/f5b7/9082347/7f7b30ba51a0/coac016f4.jpg
https://cdn.ncbi.nlm.nih.gov/pmc/blobs/f5b7/9082347/13858b75a940/coac016f5.jpg
https://cdn.ncbi.nlm.nih.gov/pmc/blobs/f5b7/9082347/2b062bff4309/coac016f6.jpg
https://cdn.ncbi.nlm.nih.gov/pmc/blobs/f5b7/9082347/8028c2c07c07/coac016f7.jpg
https://cdn.ncbi.nlm.nih.gov/pmc/blobs/f5b7/9082347/73a026f2ed72/coac016f8.jpg

相似文献

1
Plant growth, physiological variation and homological relationship of species in conservation.植物生长、生理变异以及保育物种间的同源关系。
Conserv Physiol. 2022 May 7;10(1):coac016. doi: 10.1093/conphys/coac016. eCollection 2022.
2
Effect of light regime and provenance on leaf characteristics, growth and flavonoid accumulation in Cyclocarya paliurus (Batal) Iljinskaja coppices.光照制度和种源对青钱柳(Cyclocarya paliurus (Batal) Iljinskaja)萌生林叶片特征、生长及黄酮类化合物积累的影响
Bot Stud. 2016 Dec;57(1):28. doi: 10.1186/s40529-016-0145-7. Epub 2016 Oct 17.
3
[Provenance difference in stable carbon isotope discrimination of Schima superba].[木荷稳定碳同位素分馏的来源差异]
Ying Yong Sheng Tai Xue Bao. 2009 Apr;20(4):741-6.
4
[Geographical variation of growth traits among different provenances].[不同种源间生长性状的地理变异]
Ying Yong Sheng Tai Xue Bao. 2021 Aug;32(8):2791-2799. doi: 10.13287/j.1001-9332.202108.007.
5
Wood structural differences between northern and southern beech provenances growing at a moderate site.生长在中等条件下的北方山毛榉和南方山毛榉种源之间的木材结构差异。
Tree Physiol. 2014 Aug;34(8):882-93. doi: 10.1093/treephys/tpu069. Epub 2014 Aug 27.
6
Does reduced precipitation trigger physiological and morphological drought adaptations in European beech (Fagus sylvatica L.)? Comparing provenances across a precipitation gradient.降水减少是否会引发欧洲山毛榉(Fagus sylvatica L.)的生理和形态干旱适应性?比较不同种源在降水梯度上的情况。
Tree Physiol. 2015 Sep;35(9):949-63. doi: 10.1093/treephys/tpv057. Epub 2015 Jul 23.
7
Light quality affects flavonoid production and related gene expression in Cyclocarya paliurus.光质影响青钱柳中黄酮类化合物的产生及相关基因表达。
J Photochem Photobiol B. 2018 Feb;179:66-73. doi: 10.1016/j.jphotobiol.2018.01.002. Epub 2018 Jan 11.
8
Morphological and physiological variations of under different soil water capacities.不同土壤水分容量条件下的形态和生理变化。
Physiol Mol Biol Plants. 2020 Aug;26(8):1663-1674. doi: 10.1007/s12298-020-00849-4. Epub 2020 Jul 27.
9
Phenotypic Variation Analysis and Excellent Clone Selection of from Different Provenances.不同种源的表型变异分析与优良无性系选择
Plants (Basel). 2023 Sep 13;12(18):3259. doi: 10.3390/plants12183259.
10
Phytochemical content and antioxidant activity in aqueous extracts of leaves collected from different populations.从不同种群采集的叶片水提取物中的植物化学成分和抗氧化活性。
PeerJ. 2019 Feb 19;7:e6492. doi: 10.7717/peerj.6492. eCollection 2019.

本文引用的文献

1
Morphological and physiological variations of under different soil water capacities.不同土壤水分容量条件下的形态和生理变化。
Physiol Mol Biol Plants. 2020 Aug;26(8):1663-1674. doi: 10.1007/s12298-020-00849-4. Epub 2020 Jul 27.
2
Phytochemical content and antioxidant activity in aqueous extracts of leaves collected from different populations.从不同种群采集的叶片水提取物中的植物化学成分和抗氧化活性。
PeerJ. 2019 Feb 19;7:e6492. doi: 10.7717/peerj.6492. eCollection 2019.
3
Nitrogen availability alters flavonoid accumulation in Cyclocarya paliurus via the effects on the internal carbon/nitrogen balance.
氮素供应通过影响内部碳氮平衡来改变青钱柳中类黄酮的积累。
Sci Rep. 2019 Feb 20;9(1):2370. doi: 10.1038/s41598-019-38837-8.
4
Geographic Variation in the Chemical Composition and Antioxidant Properties of Phenolic Compounds from (Batal) Iljinskaja Leaves.(巴塔)伊林斯卡娅叶酚类化合物的化学成分和抗氧化特性的地理变异。
Molecules. 2018 Sep 24;23(10):2440. doi: 10.3390/molecules23102440.
5
Plant diversity in a changing world: Status, trends, and conservation needs.变化世界中的植物多样性:现状、趋势及保护需求。
Plant Divers. 2016 May 24;38(1):10-16. doi: 10.1016/j.pld.2016.01.001. eCollection 2016 Feb.
6
Environmentally-Friendly Extraction of Flavonoids from (Batal.) Iljinskaja Leaves with Deep Eutectic Solvents and Evaluation of Their Antioxidant Activities.环境友好型从(Batal.)Iljinskaja 叶中用深共晶溶剂提取类黄酮及其抗氧化活性评价。
Molecules. 2018 Aug 22;23(9):2110. doi: 10.3390/molecules23092110.
7
Differential Responses of Stomata and Photosynthesis to Elevated Temperature in Two Co-occurring Subtropical Forest Tree Species.两种共生亚热带森林树种气孔与光合作用对温度升高的差异响应
Front Plant Sci. 2018 Apr 10;9:467. doi: 10.3389/fpls.2018.00467. eCollection 2018.
8
Light quality affects flavonoid production and related gene expression in Cyclocarya paliurus.光质影响青钱柳中黄酮类化合物的产生及相关基因表达。
J Photochem Photobiol B. 2018 Feb;179:66-73. doi: 10.1016/j.jphotobiol.2018.01.002. Epub 2018 Jan 11.
9
Molecular identification and genetic analysis of cherry cultivars using capillary electrophoresis with fluorescence-labeled SSR markers.利用荧光标记SSR标记的毛细管电泳对樱桃品种进行分子鉴定和遗传分析。
3 Biotech. 2018 Jan;8(1):16. doi: 10.1007/s13205-017-1036-7. Epub 2017 Dec 11.
10
Chemical composition of Cyclocarya paliurus polysaccharide and inflammatory effects in lipopolysaccharide-stimulated RAW264.7 macrophage.青钱柳叶多糖的化学成分及其对脂多糖刺激的 RAW264.7 巨噬细胞的炎症作用。
Int J Biol Macromol. 2018 Feb;107(Pt B):1898-1907. doi: 10.1016/j.ijbiomac.2017.10.055. Epub 2017 Oct 12.