Suppr超能文献

以咪唑基离子液体为助催化剂球磨合成用于CO与环氧丙烷共聚的Zn-Fe双金属氰化物配合物

Synthesis of Zn-Fe double metal cyanide complexes with imidazolium-based ionic liquid cocatalysts ball milling for copolymerization of CO and propylene oxide.

作者信息

Shi Jia, Shi Zaifeng, Yan Huiqiong, Wang Xianghui, Zhang Xiaopeng, Lin Qiang, Zhu Linhua

机构信息

College of Chemistry and Chemical Engineering, Hainan Normal University Haikou Hainan 571158 P. R. China

Key Laboratory of Pollution Control of Hainan Province, Hainan Normal University Haikou Hainan 571158 P. R. China.

出版信息

RSC Adv. 2018 Feb 9;8(12):6565-6571. doi: 10.1039/c7ra12528c. eCollection 2018 Feb 6.

Abstract

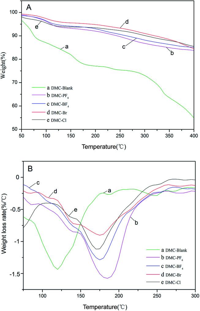
In this work, Zn-Fe double metal cyanide (DMC) catalysts were successfully synthesized clean and efficient ball milling. Imidazolium-based ionic liquids as cocatalysts were incorporated into the structure of the DMC catalysts during the grinding process. The modified Zn-Fe DMC catalysts were effective for the alternating copolymerization of carbon dioxide and propylene oxide under controlled reaction conditions. The properties and structures of the Zn-Fe DMC catalysts and the resulting polymers were characterized by Fourier transform infrared spectroscopy, scanning electron microscopy, X-ray diffraction, elemental analysis, H and C NMR spectroscopy, gel permeation chromatography, and thermogravimetric analysis. The results indicate that the Zn-Fe DMC catalysts exhibit higher thermal stability compared to the DMC catalysts without imidazolium-based ionic liquids (DMC-Blank). We determined that the introduction of a small amount of imidazolium-based ionic liquids can increase the carbonate content of the poly(propylene carbonate) (PPC) copolymer in the range of 18.48-29.00%. The turnover numbers of PPC were ∼4.40. In addition, the measured number-average relative molecular mass was in the range of 2.96 × 10-4.98 × 10 with a narrow polydispersity index of 1.00-1.08.

摘要

在本工作中,通过清洁高效的球磨成功合成了锌铁双金属氰化物(DMC)催化剂。在研磨过程中,将咪唑基离子液体作为助催化剂引入DMC催化剂的结构中。改性后的锌铁DMC催化剂在可控反应条件下对二氧化碳和环氧丙烷的交替共聚反应有效。通过傅里叶变换红外光谱、扫描电子显微镜、X射线衍射、元素分析、氢和碳核磁共振光谱、凝胶渗透色谱和热重分析对锌铁DMC催化剂及所得聚合物的性能和结构进行了表征。结果表明,与不含咪唑基离子液体的DMC催化剂(DMC-空白)相比,锌铁DMC催化剂具有更高的热稳定性。我们确定,引入少量咪唑基离子液体可使聚碳酸亚丙酯(PPC)共聚物的碳酸酯含量在18.48 - 29.00%范围内增加。PPC的周转数约为4.40。此外,测得的数均相对分子质量在2.96×10 - 4.98×10范围内,多分散指数窄,为1.00 - 1.08。

https://cdn.ncbi.nlm.nih.gov/pmc/blobs/a23f/9078315/5b61072a5eaa/c7ra12528c-s1.jpg

文献检索

告别复杂PubMed语法,用中文像聊天一样搜索,搜遍4000万医学文献。AI智能推荐,让科研检索更轻松。

立即免费搜索

文件翻译

保留排版,准确专业,支持PDF/Word/PPT等文件格式,支持 12+语言互译。

免费翻译文档

深度研究

AI帮你快速写综述,25分钟生成高质量综述,智能提取关键信息,辅助科研写作。

立即免费体验