• 文献检索
  • 文档翻译
  • 深度研究
  • 学术资讯
  • Suppr Zotero 插件Zotero 插件
  • 邀请有礼
  • 套餐&价格
  • 历史记录
应用&插件
Suppr Zotero 插件Zotero 插件浏览器插件Mac 客户端Windows 客户端微信小程序
定价
高级版会员购买积分包购买API积分包
服务
文献检索文档翻译深度研究API 文档MCP 服务
关于我们
关于 Suppr公司介绍联系我们用户协议隐私条款
关注我们

Suppr 超能文献

核心技术专利:CN118964589B侵权必究
粤ICP备2023148730 号-1Suppr @ 2026

文献检索

告别复杂PubMed语法,用中文像聊天一样搜索,搜遍4000万医学文献。AI智能推荐,让科研检索更轻松。

立即免费搜索

文件翻译

保留排版,准确专业,支持PDF/Word/PPT等文件格式,支持 12+语言互译。

免费翻译文档

深度研究

AI帮你快速写综述,25分钟生成高质量综述,智能提取关键信息,辅助科研写作。

立即免费体验

一种用于合成α-氨基硼酸肽的固相方法。

A solid-phase approach for the synthesis of α-aminoboronic acid peptides.

作者信息

Daniels Blake E, Stivala Craig E

机构信息

Discovery Chemistry, Genentech, Inc. 1 DNA Way South San Francisco CA 94080 USA

出版信息

RSC Adv. 2018 Jan 16;8(6):3343-3347. doi: 10.1039/c7ra13479g. eCollection 2018 Jan 12.

DOI:10.1039/c7ra13479g
PMID:35541192
原文链接:https://pmc.ncbi.nlm.nih.gov/articles/PMC9077542/
Abstract

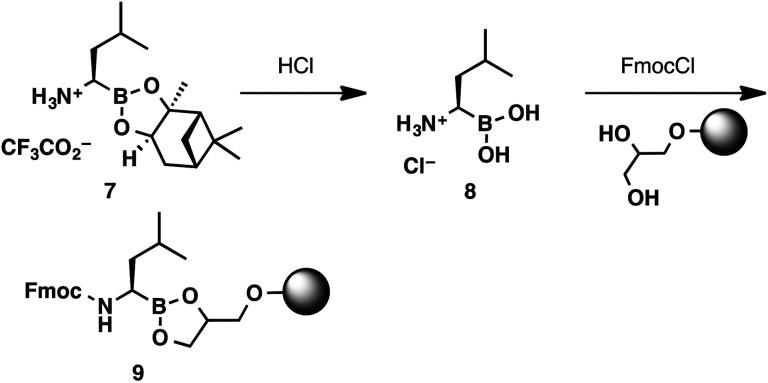
A solid-phase synthesis of α-aminoboronic acid peptides using a 1-glycerol polystyrene resin is described. Standard Fmoc solid-phase peptide chemistry is carried out to construct bortezomib and ixazomib. This approach eliminates the need for liquid-liquid extractions, silica gel column chromatography, and HPLC purifications, as products are isolated in high purity after direct cleavage from the resin.

摘要

描述了一种使用1-甘油聚苯乙烯树脂进行α-氨基硼酸肽的固相合成方法。采用标准的Fmoc固相肽化学方法来构建硼替佐米和伊沙佐米。这种方法无需液-液萃取、硅胶柱色谱和HPLC纯化,因为从树脂上直接切割后,产物能以高纯度分离出来。

https://cdn.ncbi.nlm.nih.gov/pmc/blobs/e329/9077542/6679afaeac97/c7ra13479g-s5.jpg
https://cdn.ncbi.nlm.nih.gov/pmc/blobs/e329/9077542/aef84ed15854/c7ra13479g-f1.jpg
https://cdn.ncbi.nlm.nih.gov/pmc/blobs/e329/9077542/343bc8ad1b6b/c7ra13479g-f2.jpg
https://cdn.ncbi.nlm.nih.gov/pmc/blobs/e329/9077542/f97a73222802/c7ra13479g-s1.jpg
https://cdn.ncbi.nlm.nih.gov/pmc/blobs/e329/9077542/87f0c402ffe2/c7ra13479g-s2.jpg
https://cdn.ncbi.nlm.nih.gov/pmc/blobs/e329/9077542/1bd612d2f69a/c7ra13479g-s3.jpg
https://cdn.ncbi.nlm.nih.gov/pmc/blobs/e329/9077542/ff6800f217ce/c7ra13479g-s4.jpg
https://cdn.ncbi.nlm.nih.gov/pmc/blobs/e329/9077542/6679afaeac97/c7ra13479g-s5.jpg
https://cdn.ncbi.nlm.nih.gov/pmc/blobs/e329/9077542/aef84ed15854/c7ra13479g-f1.jpg
https://cdn.ncbi.nlm.nih.gov/pmc/blobs/e329/9077542/343bc8ad1b6b/c7ra13479g-f2.jpg
https://cdn.ncbi.nlm.nih.gov/pmc/blobs/e329/9077542/f97a73222802/c7ra13479g-s1.jpg
https://cdn.ncbi.nlm.nih.gov/pmc/blobs/e329/9077542/87f0c402ffe2/c7ra13479g-s2.jpg
https://cdn.ncbi.nlm.nih.gov/pmc/blobs/e329/9077542/1bd612d2f69a/c7ra13479g-s3.jpg
https://cdn.ncbi.nlm.nih.gov/pmc/blobs/e329/9077542/ff6800f217ce/c7ra13479g-s4.jpg
https://cdn.ncbi.nlm.nih.gov/pmc/blobs/e329/9077542/6679afaeac97/c7ra13479g-s5.jpg

相似文献

1
A solid-phase approach for the synthesis of α-aminoboronic acid peptides.一种用于合成α-氨基硼酸肽的固相方法。
RSC Adv. 2018 Jan 16;8(6):3343-3347. doi: 10.1039/c7ra13479g. eCollection 2018 Jan 12.
2
Solid Phase Synthesis of C-Terminal Boronic Acid Peptides.固相合成 C 末端硼酸肽。
Org Lett. 2016 May 6;18(9):2016-9. doi: 10.1021/acs.orglett.6b00625. Epub 2016 Apr 22.
3
Automated Fmoc-based solid-phase synthesis of peptide thioesters with self-purification effect and application in the construction of immobilized SH3 domains.基于 Fmoc 的自动化固相合成肽硫酯及其自纯化效应在固定化 SH3 结构域构建中的应用。
J Am Chem Soc. 2010 Aug 18;132(32):11110-8. doi: 10.1021/ja101732a.
4
Edman degradation sequence analysis of resin-bound peptides synthesized by 9-fluorenylmethoxycarbonyl chemistry.通过9-芴甲氧羰基化学合成的树脂结合肽的埃德曼降解序列分析。
Pept Res. 1993 Jan-Feb;6(1):39-47.
5
Synthesis and characterization of indolicidin, a tryptophan-rich antimicrobial peptide from bovine neutrophils.吲哚杀菌素的合成与表征,一种来自牛中性粒细胞的富含色氨酸的抗菌肽。
Int J Pept Protein Res. 1995 May;45(5):401-9. doi: 10.1111/j.1399-3011.1995.tb01055.x.
6
Pegylated peptides. II. Solid-phase synthesis of amino-, carboxy- and side-chain pegylated peptides.聚乙二醇化肽。II. 氨基、羧基和侧链聚乙二醇化肽的固相合成
Int J Pept Protein Res. 1994 Feb;43(2):127-38.
7
The use of crown ethers in peptide chemistry-V. Solid-phase synthesis of peptides by the fragment condensation approach using crown ethers as non-covalent protecting groups.冠醚在肽化学中的应用 - V. 以冠醚作为非共价保护基通过片段缩合方法进行肽的固相合成
J Pept Sci. 1996 Nov-Dec;2(6):371-80. doi: 10.1002/psc.79.
8
Solid phase synthesis of hydrophobic difficult sequence peptides on BDDMA-PS support.在BDDMA-PS载体上进行疏水性难序列肽的固相合成。
J Pept Sci. 2001 Dec;7(12):641-9. doi: 10.1002/psc.355.
9
Fmoc SPPS using Perloza beaded cellulose.使用Perloza珠状纤维素的芴甲氧羰基固相合成法。
Int J Pept Protein Res. 1994 Jun;43(6):546-54.
10
Solid-Phase synthesis of a dendritic peptide related to a retinoblastoma protein fragment utilizing a combined boc- and fmoc-chemistry approach.利用叔丁氧羰基(Boc)和芴甲氧羰基(Fmoc)化学相结合的方法进行与视网膜母细胞瘤蛋白片段相关的树枝状肽的固相合成。
J Pept Sci. 2001 May;7(5):262-9. doi: 10.1002/psc.314.

引用本文的文献

1
Covalent-reversible peptide-based protease inhibitors. Design, synthesis, and clinical success stories.基于共价可逆肽的蛋白酶抑制剂。设计、合成及临床成功案例。
Amino Acids. 2023 Dec;55(12):1775-1800. doi: 10.1007/s00726-023-03286-1. Epub 2023 Jun 17.
2
Primary trifluoroborate-iminiums enable facile access to chiral α-aminoboronic acids Ru-catalyzed asymmetric hydrogenation and simple hydrolysis of the trifluoroborate moiety.伯三氟硼酸亚胺盐可通过钌催化的不对称氢化反应以及三氟硼酸部分的简单水解反应,轻松制得手性α-氨基硼酸。
Chem Sci. 2022 Jan 26;13(10):2946-2953. doi: 10.1039/d1sc07065g. eCollection 2022 Mar 9.
3

本文引用的文献

1
Ixazomib: A Review in Relapsed and/or Refractory Multiple Myeloma.伊沙佐米:在复发性和/或难治性多发性骨髓瘤中的研究进展。
Target Oncol. 2017 Aug;12(4):535-542. doi: 10.1007/s11523-017-0504-7.
2
Decarboxylative borylation.脱羧硼化反应
Science. 2017 Jun 9;356(6342). doi: 10.1126/science.aam7355. Epub 2017 Apr 13.
3
Phase I/II study of the novel proteasome inhibitor delanzomib (CEP-18770) for relapsed and refractory multiple myeloma.新型蛋白酶体抑制剂德兰佐米布(CEP-18770)用于复发和难治性多发性骨髓瘤的I/II期研究。
Diversity-oriented synthesis of peptide-boronic acids by a versatile building-block approach.
通过通用构建模块方法实现肽硼酸的多样化合成。
Chem Sci. 2020 Aug 21;11(36):9898-9903. doi: 10.1039/d0sc03999c.
Leuk Lymphoma. 2017 Aug;58(8):1872-1879. doi: 10.1080/10428194.2016.1263842. Epub 2017 Jan 31.
4
Design, synthesis and in vitro biological evaluation of oligopeptides targeting E. coli type I signal peptidase (LepB).靶向大肠杆菌I型信号肽酶(LepB)的寡肽的设计、合成及体外生物学评价
Bioorg Med Chem. 2017 Feb 1;25(3):897-911. doi: 10.1016/j.bmc.2016.12.003. Epub 2016 Dec 7.
5
Crystal structure of Zika virus NS2B-NS3 protease in complex with a boronate inhibitor.寨卡病毒 NS2B-NS3 蛋白酶与硼酸抑制剂复合物的晶体结构。
Science. 2016 Jul 29;353(6298):503-5. doi: 10.1126/science.aag2419. Epub 2016 Jul 7.
6
Oral Ixazomib, Lenalidomide, and Dexamethasone for Multiple Myeloma.来那度胺、伊沙佐米和地塞米松联合治疗多发性骨髓瘤。
N Engl J Med. 2016 Apr 28;374(17):1621-34. doi: 10.1056/NEJMoa1516282.
7
Solid Phase Synthesis of C-Terminal Boronic Acid Peptides.固相合成 C 末端硼酸肽。
Org Lett. 2016 May 6;18(9):2016-9. doi: 10.1021/acs.orglett.6b00625. Epub 2016 Apr 22.
8
Synthesis of α-aminoboronic acids.α-氨基硼酸的合成。
Chem Soc Rev. 2016 Apr 21;45(8):2291-307. doi: 10.1039/c5cs00886g. Epub 2016 Feb 8.
9
Proteasome inhibitors.蛋白酶体抑制剂。
Biochem Pharmacol. 2015 Jul 1;96(1):1-9. doi: 10.1016/j.bcp.2015.04.008. Epub 2015 Apr 29.
10
Cleavage Specificity of Mycobacterium tuberculosis ClpP1P2 Protease and Identification of Novel Peptide Substrates and Boronate Inhibitors with Anti-bacterial Activity.结核分枝杆菌ClpP1P2蛋白酶的切割特异性以及具有抗菌活性的新型肽底物和硼酸酯抑制剂的鉴定
J Biol Chem. 2015 Apr 24;290(17):11008-20. doi: 10.1074/jbc.M114.625640. Epub 2015 Mar 10.