• 文献检索
  • 文档翻译
  • 深度研究
  • 学术资讯
  • Suppr Zotero 插件Zotero 插件
  • 邀请有礼
  • 套餐&价格
  • 历史记录
应用&插件
Suppr Zotero 插件Zotero 插件浏览器插件Mac 客户端Windows 客户端微信小程序
定价
高级版会员购买积分包购买API积分包
服务
文献检索文档翻译深度研究API 文档MCP 服务
关于我们
关于 Suppr公司介绍联系我们用户协议隐私条款
关注我们

Suppr 超能文献

核心技术专利:CN118964589B侵权必究
粤ICP备2023148730 号-1Suppr @ 2026

文献检索

告别复杂PubMed语法,用中文像聊天一样搜索,搜遍4000万医学文献。AI智能推荐,让科研检索更轻松。

立即免费搜索

文件翻译

保留排版,准确专业,支持PDF/Word/PPT等文件格式,支持 12+语言互译。

免费翻译文档

深度研究

AI帮你快速写综述,25分钟生成高质量综述,智能提取关键信息,辅助科研写作。

立即免费体验

基于含磷阻燃剂的聚酰胺6纤维的制备与表征

Preparation and characterization of polyamide 6 fibre based on a phosphorus-containing flame retardant.

作者信息

Liu Ke, Li Yuanyuan, Tao Lei, Xiao Ru

机构信息

State Key Laboratory for Modification of Chemical Fibers and Polymer Materials, College of Materials Science and Engineering, Donghua University Shanghai 201620 P. R. China

出版信息

RSC Adv. 2018 Mar 5;8(17):9261-9271. doi: 10.1039/c7ra13228j. eCollection 2018 Feb 28.

DOI:10.1039/c7ra13228j
PMID:35541864
原文链接:https://pmc.ncbi.nlm.nih.gov/articles/PMC9078688/
Abstract

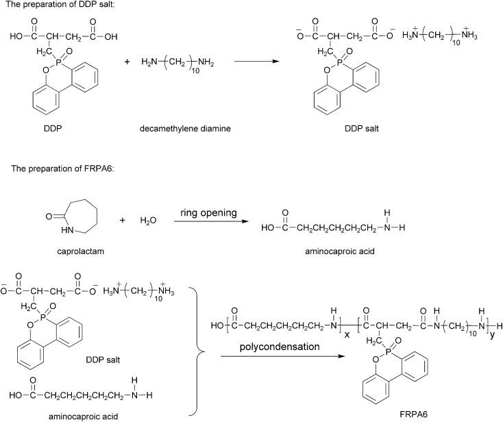
Intrinsically flame retardant polyamide 6 (FRPA6) was synthesized by melt polycondensation of caprolactam and 9,10-dihydro-10-[2,3-di(hydroxycarbonyl)propyl]-10-phosphaphenanthrene-10-oxide (DDP). Following this, FRPA6 fibres were prepared by melt spinning. The chemical structure, thermal stability, mechanical and combustion properties of FRPA6 were characterized by Fourier transform infrared spectroscopy, nuclear magnetic resonance spectroscopy, differential scanning calorimetry, thermogravimetric analysis, tensile measurements, vertical burning measurements, limiting oxygen index (LOI) measurements, cone calorimetry and scanning electron microscopy. The thermal stability of FRPA6 decreased to a certain extent, but the amount of residual char was improved. FRPA6 containing 5 wt% DDP could achieve a V-0 rating with an LOI value of 33.7%. The spinnability of FRPA6 fibres was good and the tenacity at break reached 3.0 cN dtex which met the requirements of textiles. The flame retardancy of FRPA6 fibres was definitely improved and the LOI value of FRPA6-5 fabric could reach 28.4%, thereby showing good prospect in applications.

摘要

通过己内酰胺与9,10-二氢-10-[2,3-二(羟羰基)丙基]-10-氧化磷杂菲-10-氧化物(DDP)的熔融缩聚反应合成了本质阻燃聚酰胺6(FRPA6)。随后,通过熔融纺丝制备了FRPA6纤维。采用傅里叶变换红外光谱、核磁共振光谱、差示扫描量热法、热重分析、拉伸测量、垂直燃烧测量、极限氧指数(LOI)测量、锥形量热法和扫描电子显微镜对FRPA6的化学结构、热稳定性、力学性能和燃烧性能进行了表征。FRPA6的热稳定性有一定程度降低,但残炭量有所提高。含5 wt% DDP的FRPA6可达到V-0等级,极限氧指数值为33.7%。FRPA6纤维的可纺性良好,断裂强度达到3.0 cN/dtex,满足纺织要求。FRPA6纤维的阻燃性得到明显改善,FRPA6-5织物的极限氧指数值可达28.4%,在应用中显示出良好的前景。

https://cdn.ncbi.nlm.nih.gov/pmc/blobs/1da7/9078688/da16bb212b1c/c7ra13228j-f12.jpg
https://cdn.ncbi.nlm.nih.gov/pmc/blobs/1da7/9078688/543fd465ebb2/c7ra13228j-s1.jpg
https://cdn.ncbi.nlm.nih.gov/pmc/blobs/1da7/9078688/baed11bc39f8/c7ra13228j-f1.jpg
https://cdn.ncbi.nlm.nih.gov/pmc/blobs/1da7/9078688/c1f0790fa502/c7ra13228j-f2.jpg
https://cdn.ncbi.nlm.nih.gov/pmc/blobs/1da7/9078688/0af7ae4ff840/c7ra13228j-f3.jpg
https://cdn.ncbi.nlm.nih.gov/pmc/blobs/1da7/9078688/a51bef823159/c7ra13228j-f4.jpg
https://cdn.ncbi.nlm.nih.gov/pmc/blobs/1da7/9078688/3b7b5e846c80/c7ra13228j-f5.jpg
https://cdn.ncbi.nlm.nih.gov/pmc/blobs/1da7/9078688/91e06b82098d/c7ra13228j-f6.jpg
https://cdn.ncbi.nlm.nih.gov/pmc/blobs/1da7/9078688/5ef4a88a487e/c7ra13228j-f7.jpg
https://cdn.ncbi.nlm.nih.gov/pmc/blobs/1da7/9078688/121705b3c8ec/c7ra13228j-f8.jpg
https://cdn.ncbi.nlm.nih.gov/pmc/blobs/1da7/9078688/61809fe2d772/c7ra13228j-f9.jpg
https://cdn.ncbi.nlm.nih.gov/pmc/blobs/1da7/9078688/b5e938f3ea3a/c7ra13228j-f10.jpg
https://cdn.ncbi.nlm.nih.gov/pmc/blobs/1da7/9078688/acfdcf51576e/c7ra13228j-f11.jpg
https://cdn.ncbi.nlm.nih.gov/pmc/blobs/1da7/9078688/da16bb212b1c/c7ra13228j-f12.jpg
https://cdn.ncbi.nlm.nih.gov/pmc/blobs/1da7/9078688/543fd465ebb2/c7ra13228j-s1.jpg
https://cdn.ncbi.nlm.nih.gov/pmc/blobs/1da7/9078688/baed11bc39f8/c7ra13228j-f1.jpg
https://cdn.ncbi.nlm.nih.gov/pmc/blobs/1da7/9078688/c1f0790fa502/c7ra13228j-f2.jpg
https://cdn.ncbi.nlm.nih.gov/pmc/blobs/1da7/9078688/0af7ae4ff840/c7ra13228j-f3.jpg
https://cdn.ncbi.nlm.nih.gov/pmc/blobs/1da7/9078688/a51bef823159/c7ra13228j-f4.jpg
https://cdn.ncbi.nlm.nih.gov/pmc/blobs/1da7/9078688/3b7b5e846c80/c7ra13228j-f5.jpg
https://cdn.ncbi.nlm.nih.gov/pmc/blobs/1da7/9078688/91e06b82098d/c7ra13228j-f6.jpg
https://cdn.ncbi.nlm.nih.gov/pmc/blobs/1da7/9078688/5ef4a88a487e/c7ra13228j-f7.jpg
https://cdn.ncbi.nlm.nih.gov/pmc/blobs/1da7/9078688/121705b3c8ec/c7ra13228j-f8.jpg
https://cdn.ncbi.nlm.nih.gov/pmc/blobs/1da7/9078688/61809fe2d772/c7ra13228j-f9.jpg
https://cdn.ncbi.nlm.nih.gov/pmc/blobs/1da7/9078688/b5e938f3ea3a/c7ra13228j-f10.jpg
https://cdn.ncbi.nlm.nih.gov/pmc/blobs/1da7/9078688/acfdcf51576e/c7ra13228j-f11.jpg
https://cdn.ncbi.nlm.nih.gov/pmc/blobs/1da7/9078688/da16bb212b1c/c7ra13228j-f12.jpg

相似文献

1
Preparation and characterization of polyamide 6 fibre based on a phosphorus-containing flame retardant.基于含磷阻燃剂的聚酰胺6纤维的制备与表征
RSC Adv. 2018 Mar 5;8(17):9261-9271. doi: 10.1039/c7ra13228j. eCollection 2018 Feb 28.
2
Flame-Retardant and Smoke-Suppressant Flexible Polyurethane Foams Based on Phosphorus-Containing Polyester Diols and Expandable Graphite.基于含磷聚酯二醇和可膨胀石墨的阻燃抑烟柔性聚氨酯泡沫
Polymers (Basel). 2023 Mar 3;15(5):1284. doi: 10.3390/polym15051284.
3
Enhancing the flame retardancy of lyocell fabric finished with an efficient, halogen-free flame retardant.提高用高效无卤阻燃剂整理的莱赛尔织物的阻燃性。
RSC Adv. 2021 Oct 28;11(55):34926-34937. doi: 10.1039/d1ra06573d. eCollection 2021 Oct 25.
4
Synthesis of a Novel Phosphorus-Containing Flame Retardant Curing Agent and Its Application in Epoxy Resins.一种新型含磷阻燃固化剂的合成及其在环氧树脂中的应用。
J Nanosci Nanotechnol. 2016 Mar;16(3):2811-21. doi: 10.1166/jnn.2016.11637.
5
Flame Retardancy and Mechanical Properties of Melt-Spun PA66 Fibers Prepared by End-Group Blocking Technology.端基封端技术制备的熔纺PA66纤维的阻燃性和力学性能
Polymers (Basel). 2023 Feb 26;15(5):1183. doi: 10.3390/polym15051183.
6
The Effects of a Macromolecular Charring Agent with Gas Phase and Condense Phase Synergistic Flame Retardant Capability on the Properties of PP/IFR Composites.具有气相和凝聚相协同阻燃能力的大分子炭化剂对PP/IFR复合材料性能的影响
Materials (Basel). 2018 Jan 11;11(1):111. doi: 10.3390/ma11010111.
7
Effect of Thermal Conductive Fillers on the Flame Retardancy, Thermal Conductivity, and Thermal Behavior of Flame-Retardant and Thermal Conductive Polyamide 6.导热填料对阻燃导热聚酰胺6的阻燃性、热导率及热行为的影响
Materials (Basel). 2019 Dec 9;12(24):4114. doi: 10.3390/ma12244114.
8
Synthesis and characterization of PEDSCD and its application as a flame retardant in epoxy resins.PEDSCD的合成、表征及其作为环氧树脂阻燃剂的应用。
RSC Adv. 2021 Oct 27;11(55):34849-34859. doi: 10.1039/d1ra06116j. eCollection 2021 Oct 25.
9
Preparation and Mechanism of Flame-Retardant Cotton Fabric with Phosphoramidate Siloxane Polymer through Multistep Coating.通过多步涂层制备含磷酰胺基硅氧烷聚合物的阻燃棉织物及其机理
Polymers (Basel). 2020 Jul 12;12(7):1538. doi: 10.3390/polym12071538.
10
A Bridge-Linked Phosphorus-Containing Flame Retardant for Endowing Vinyl Ester Resin with Low Fire Hazard.一种桥联含磷阻燃剂,赋予乙烯基酯树脂低火灾风险。
Molecules. 2022 Dec 11;27(24):8783. doi: 10.3390/molecules27248783.

引用本文的文献

1
Preparation of a Macromolecular Flame Retardant with a Phosphine Oxide Structure and Its Application in Polyamide 6.一种具有氧化膦结构的高分子阻燃剂的制备及其在聚酰胺6中的应用。
Polymers (Basel). 2025 Feb 11;17(4):475. doi: 10.3390/polym17040475.
2
Internal Structure Dependence of Biodegradation for Polyamide 4 Thin Films in Seawater.聚酰胺4薄膜在海水中生物降解的内部结构依赖性
Biomacromolecules. 2025 Feb 10;26(2):992-1001. doi: 10.1021/acs.biomac.4c01304. Epub 2025 Jan 12.
3
Effects of Hybrid POSS Nanoparticles on the Properties of Thermoplastic Elastomer-Toughened Polyamide 6.

本文引用的文献

1
Flame Retardant Polyamide Fibres: The Challenge of Minimising Flame Retardant Additive Contents with Added Nanoclays.阻燃聚酰胺纤维:使用添加纳米黏土使阻燃添加剂含量最小化的挑战
Polymers (Basel). 2016 Aug 9;8(8):288. doi: 10.3390/polym8080288.
2
Phosphorus-based Flame Retardancy Mechanisms-Old Hat or a Starting Point for Future Development?基于磷的阻燃机理——老生常谈还是未来发展的起点?
Materials (Basel). 2010 Sep 30;3(10):4710-4745. doi: 10.3390/ma3104710.
杂化倍半硅氧烷纳米粒子对热塑性弹性体增韧聚酰胺6性能的影响
ACS Omega. 2023 Nov 29;8(49):47034-47050. doi: 10.1021/acsomega.3c06896. eCollection 2023 Dec 12.
4
Electroless plating of premetalized polyamide fibers for stretchable conductive devices.用于可拉伸导电器件的预金属化聚酰胺纤维的化学镀
RSC Adv. 2023 Jun 20;13(27):18605-18613. doi: 10.1039/d3ra01566a. eCollection 2023 Jun 15.
5
Flame Retardancy of Nylon 6 Fibers: A Review.尼龙6纤维的阻燃性:综述
Polymers (Basel). 2023 Apr 30;15(9):2161. doi: 10.3390/polym15092161.
6
Intrinsically flame-retardant polyamide 66 with high flame retardancy and mechanical properties.具有高阻燃性和机械性能的本征型阻燃聚酰胺66。
RSC Adv. 2020 Dec 23;11(1):433-441. doi: 10.1039/d0ra07822k. eCollection 2020 Dec 21.
7
Binational survey of personal protective equipment (PPE) pollution driven by the COVID-19 pandemic in coastal environments: Abundance, distribution, and analytical characterization.新冠疫情期间沿海环境中个人防护装备(PPE)污染的跨国调查:丰度、分布和分析特征。
J Hazard Mater. 2022 Mar 15;426:128070. doi: 10.1016/j.jhazmat.2021.128070. Epub 2021 Dec 11.