• 文献检索
  • 文档翻译
  • 深度研究
  • 学术资讯
  • Suppr Zotero 插件Zotero 插件
  • 邀请有礼
  • 套餐&价格
  • 历史记录
应用&插件
Suppr Zotero 插件Zotero 插件浏览器插件Mac 客户端Windows 客户端微信小程序
定价
高级版会员购买积分包购买API积分包
服务
文献检索文档翻译深度研究API 文档MCP 服务
关于我们
关于 Suppr公司介绍联系我们用户协议隐私条款
关注我们

Suppr 超能文献

核心技术专利:CN118964589B侵权必究
粤ICP备2023148730 号-1Suppr @ 2026

文献检索

告别复杂PubMed语法,用中文像聊天一样搜索,搜遍4000万医学文献。AI智能推荐,让科研检索更轻松。

立即免费搜索

文件翻译

保留排版,准确专业,支持PDF/Word/PPT等文件格式,支持 12+语言互译。

免费翻译文档

深度研究

AI帮你快速写综述,25分钟生成高质量综述,智能提取关键信息,辅助科研写作。

立即免费体验

梳状共聚物作为降滤失剂的合成、表征及其与同类产品的比较

Synthesis and characterization of comb-shaped copolymer as a filtration reducer and comparison with counterparts.

作者信息

Liu Lu, Pu Xiaolin, Tao Huaizhi, Deng Qing, Luo Ang

机构信息

State Key Laboratory of Oil and Gas Reservoir Geology and Exploitation, Southwest Petroleum University Chengdu 610500 China

Drilling & Production Technology Research Institute, CNPC Sichuan Petroleum Guanghan Sichuan 618300 China.

出版信息

RSC Adv. 2018 Mar 22;8(21):11424-11435. doi: 10.1039/c7ra13255g. eCollection 2018 Mar 21.

DOI:10.1039/c7ra13255g
PMID:35542783
原文链接:https://pmc.ncbi.nlm.nih.gov/articles/PMC9079132/
Abstract

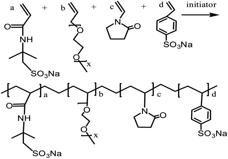
A comb-shaped copolymer of 2-acrylamide-2-methyl propane sulfonic acid (AMPS), allyl polyoxyethylene ether (APEG), -vinyl-2-pyrrolidone (NVP) and sodium styrene sulfonate (SSS) was synthesized by free-radical polymerization. The structure of the comb-shaped copolymer was characterized by Fourier transform infrared (FTIR) spectroscopy, and its molecular weight was determined by gel permeation chromatography (GPC). FTIR measurements and environmental scanning electron microscopy (ESEM) analysis were used to characterize the working mechanism of different filtrate loss reducers. Thermogravimetry and differential scanning calorimetry (TG-DSC) results showed that thermal degradation of the copolymer was significant only after 295.24 °C. The comb-shaped copolymer helped reduce filtration, while maintaining the rheological properties of the drilling fluid at high temperature and high salinity conditions as long PEG chains sterically stabilized colloids by protruding into the suspension. The filtration control of the comb-shaped copolymer was comparable to that of the sulfonated phenolic resin (SMP) mixture and outperformed AM/AMPS/NVP/SSS (NS-1) and polymeric product PAC in terms of high-temperature resistance and rheological advantages. The morphology of the comb-shaped copolymer was found with a compact 3-D film structure due to the intramolecular and intermolecular association by hydrogen bonding in the side chains. Small curly debris at high temperature and salinity remained capable of filtration control. The NS-1 had a lower temperature resistance, as large areas of flaky films thermally degraded into a small chain structure at 180 °C. Only separated filiform and coarse lines were found in PAC with a linear structure that makes the drilling fluid more viscous. Compact and structured films were formed with the SMP mixture at high temperature and salinity.

摘要

通过自由基聚合反应合成了一种由2-丙烯酰胺-2-甲基丙磺酸(AMPS)、烯丙基聚氧乙烯醚(APEG)、N-乙烯基-2-吡咯烷酮(NVP)和苯乙烯磺酸钠(SSS)组成的梳状共聚物。采用傅里叶变换红外光谱(FTIR)对梳状共聚物的结构进行了表征,并用凝胶渗透色谱法(GPC)测定了其分子量。利用FTIR测量和环境扫描电子显微镜(ESEM)分析来表征不同降滤失剂的作用机理。热重分析和差示扫描量热法(TG-DSC)结果表明,该共聚物在295.24℃后才发生显著的热降解。由于长PEG链通过伸入悬浮液中在空间上稳定了胶体,梳状共聚物有助于降低滤失量,同时在高温高盐条件下保持钻井液的流变性能。梳状共聚物的降滤失性能与磺化酚醛树脂(SMP)混合物相当,在耐高温性和流变性能方面优于AM/AMPS/NVP/SSS(NS-1)和聚合物产品PAC。由于侧链中通过氢键形成的分子内和分子间缔合,发现梳状共聚物的形态具有致密的三维薄膜结构。在高温和高盐条件下,小的卷曲碎片仍能控制滤失。NS-1的耐温性较低,因为大片的片状薄膜在180℃时热降解为小链结构。在具有线性结构的PAC中只发现了分离的丝状和粗线条,这使得钻井液更粘稠。在高温和高盐条件下,SMP混合物形成了致密且有结构的薄膜。

https://cdn.ncbi.nlm.nih.gov/pmc/blobs/e1ca/9079132/123310f740d0/c7ra13255g-f10.jpg
https://cdn.ncbi.nlm.nih.gov/pmc/blobs/e1ca/9079132/f24572f7699e/c7ra13255g-s1.jpg
https://cdn.ncbi.nlm.nih.gov/pmc/blobs/e1ca/9079132/767c3a15c444/c7ra13255g-f1.jpg
https://cdn.ncbi.nlm.nih.gov/pmc/blobs/e1ca/9079132/feb36750e627/c7ra13255g-f2.jpg
https://cdn.ncbi.nlm.nih.gov/pmc/blobs/e1ca/9079132/767615e28613/c7ra13255g-f3.jpg
https://cdn.ncbi.nlm.nih.gov/pmc/blobs/e1ca/9079132/b0fe4fef17d0/c7ra13255g-f4.jpg
https://cdn.ncbi.nlm.nih.gov/pmc/blobs/e1ca/9079132/9eff5269b3fa/c7ra13255g-f5.jpg
https://cdn.ncbi.nlm.nih.gov/pmc/blobs/e1ca/9079132/aa75d8ee7aaa/c7ra13255g-f6.jpg
https://cdn.ncbi.nlm.nih.gov/pmc/blobs/e1ca/9079132/06e3d7bd038a/c7ra13255g-f7.jpg
https://cdn.ncbi.nlm.nih.gov/pmc/blobs/e1ca/9079132/b760907b15bc/c7ra13255g-f8.jpg
https://cdn.ncbi.nlm.nih.gov/pmc/blobs/e1ca/9079132/a99c87e6e434/c7ra13255g-f9.jpg
https://cdn.ncbi.nlm.nih.gov/pmc/blobs/e1ca/9079132/0affe7149a35/c7ra13255g-s2.jpg
https://cdn.ncbi.nlm.nih.gov/pmc/blobs/e1ca/9079132/123310f740d0/c7ra13255g-f10.jpg
https://cdn.ncbi.nlm.nih.gov/pmc/blobs/e1ca/9079132/f24572f7699e/c7ra13255g-s1.jpg
https://cdn.ncbi.nlm.nih.gov/pmc/blobs/e1ca/9079132/767c3a15c444/c7ra13255g-f1.jpg
https://cdn.ncbi.nlm.nih.gov/pmc/blobs/e1ca/9079132/feb36750e627/c7ra13255g-f2.jpg
https://cdn.ncbi.nlm.nih.gov/pmc/blobs/e1ca/9079132/767615e28613/c7ra13255g-f3.jpg
https://cdn.ncbi.nlm.nih.gov/pmc/blobs/e1ca/9079132/b0fe4fef17d0/c7ra13255g-f4.jpg
https://cdn.ncbi.nlm.nih.gov/pmc/blobs/e1ca/9079132/9eff5269b3fa/c7ra13255g-f5.jpg
https://cdn.ncbi.nlm.nih.gov/pmc/blobs/e1ca/9079132/aa75d8ee7aaa/c7ra13255g-f6.jpg
https://cdn.ncbi.nlm.nih.gov/pmc/blobs/e1ca/9079132/06e3d7bd038a/c7ra13255g-f7.jpg
https://cdn.ncbi.nlm.nih.gov/pmc/blobs/e1ca/9079132/b760907b15bc/c7ra13255g-f8.jpg
https://cdn.ncbi.nlm.nih.gov/pmc/blobs/e1ca/9079132/a99c87e6e434/c7ra13255g-f9.jpg
https://cdn.ncbi.nlm.nih.gov/pmc/blobs/e1ca/9079132/0affe7149a35/c7ra13255g-s2.jpg
https://cdn.ncbi.nlm.nih.gov/pmc/blobs/e1ca/9079132/123310f740d0/c7ra13255g-f10.jpg

相似文献

1
Synthesis and characterization of comb-shaped copolymer as a filtration reducer and comparison with counterparts.梳状共聚物作为降滤失剂的合成、表征及其与同类产品的比较
RSC Adv. 2018 Mar 22;8(21):11424-11435. doi: 10.1039/c7ra13255g. eCollection 2018 Mar 21.
2
Effect of molecular flexibility on the rheological and filtration properties of synthetic polymers used as fluid loss additives in water-based drilling fluid.分子柔韧性对用作水基钻井液滤失添加剂的合成聚合物的流变和过滤性能的影响。
RSC Adv. 2019 Mar 14;9(15):8608-8619. doi: 10.1039/c9ra00038k. eCollection 2019 Mar 12.
3
Comparison of an Emulsion- and Solution-Prepared Acrylamide/AMPS Copolymer for a Fluid Loss Agent in Drilling Fluid.乳液法和溶液法制备的用于钻井液降滤失剂的丙烯酰胺/AMPS共聚物的比较
ACS Omega. 2020 May 27;5(22):12892-12904. doi: 10.1021/acsomega.0c00665. eCollection 2020 Jun 9.
4
Development of a Low-Molecular-Weight Filtrate Reducer with High-Temperature Resistance for Drilling Fluid Gel System.用于钻井液凝胶体系的耐高温低分子量降滤失剂的研制
Gels. 2023 Oct 7;9(10):805. doi: 10.3390/gels9100805.
5
A Thermal-Responsive Zwitterionic Polymer Gel as a Filtrate Reducer for Water-Based Drilling Fluids.一种作为水基钻井液降滤失剂的热响应性两性离子聚合物凝胶
Gels. 2022 Dec 16;8(12):832. doi: 10.3390/gels8120832.
6
A Zwitterionic Copolymer as Rheology Modifier and Fluid Loss Agents for Water-Based Drilling Fluids.一种作为水基钻井液流变改性剂和降滤失剂的两性离子共聚物。
Polymers (Basel). 2021 Sep 16;13(18):3120. doi: 10.3390/polym13183120.
7
Synthesis and Weak Hydrogelling Properties of a Salt Resistance Copolymer Based on Fumaric Acid Sludge and Its Application in Oil Well Drilling Fluids.基于富马酸渣的耐盐共聚物的合成、弱凝胶化性能及其在油井钻井液中的应用
Gels. 2022 Apr 20;8(5):251. doi: 10.3390/gels8050251.
8
New Zwitterionic Polymer as a Highly Effective Salt- and Calcium-Resistant Fluid Loss Reducer in Water-Based Drilling Fluids.新型两性离子聚合物作为水基钻井液中一种高效的抗盐抗钙降滤失剂
Gels. 2022 Nov 11;8(11):735. doi: 10.3390/gels8110735.
9
Adsorption-desorption behavior of the hydrophobically associating copolymer AM/APEG/C-18/SSS.疏水缔合共聚物AM/APEG/C-18/SSS的吸附-解吸行为
RSC Adv. 2019 Apr 18;9(22):12300-12309. doi: 10.1039/c9ra01932d. eCollection 2019 Apr 17.
10
Synthesis and properties of a high-performance environment-friendly micro-nano filtration reducer.一种高性能环保型微纳过滤减阻剂的合成与性能
RSC Adv. 2020 Nov 27;10(70):43204-43212. doi: 10.1039/d0ra07504c. eCollection 2020 Nov 23.

引用本文的文献

1
Enhancing drilling mud performance through CMITS-modified formulations: rheological insights and performance optimization.通过CMITS改性配方提高钻井液性能:流变学见解与性能优化
RSC Adv. 2023 Nov 8;13(47):32904-32917. doi: 10.1039/d3ra06008j. eCollection 2023 Nov 7.
2
Preparation of MOF-Based Core-Shell Gel Particles with Catalytic Activity and Their Plugging Performance.具有催化活性的基于金属有机框架的核壳凝胶颗粒的制备及其封堵性能
Gels. 2023 Jan 4;9(1):44. doi: 10.3390/gels9010044.
3
New Zwitterionic Polymer as a Highly Effective Salt- and Calcium-Resistant Fluid Loss Reducer in Water-Based Drilling Fluids.

本文引用的文献

1
Dispersion of alumina suspension using comb-like and diblock copolymers produced by RAFT polymerization of AMPS and MPEG.使用通过AMPS和MPEG的RAFT聚合制备的梳状和二嵌段共聚物分散氧化铝悬浮液。
J Colloid Interface Sci. 2007 Aug 15;312(2):279-91. doi: 10.1016/j.jcis.2007.03.060. Epub 2007 Mar 31.
2
Alumina interaction with AMPS-MPEG random copolymers I. Adsorption and electrokinetic behavior.氧化铝与AMPS-MPEG无规共聚物的相互作用I. 吸附与电动行为
J Colloid Interface Sci. 2003 May 15;261(2):264-72. doi: 10.1016/S0021-9797(03)00100-0.
新型两性离子聚合物作为水基钻井液中一种高效的抗盐抗钙降滤失剂
Gels. 2022 Nov 11;8(11):735. doi: 10.3390/gels8110735.
4
Study of a High-Temperature and High-Density Water-Based Drilling Fluid System Based on Non-sulfonated Plant Polymers.基于非磺化植物聚合物的高温高密度水基钻井液体系研究
Polymers (Basel). 2022 Oct 20;14(20):4433. doi: 10.3390/polym14204433.
5
A Zwitterionic Copolymer as Rheology Modifier and Fluid Loss Agents for Water-Based Drilling Fluids.一种作为水基钻井液流变改性剂和降滤失剂的两性离子共聚物。
Polymers (Basel). 2021 Sep 16;13(18):3120. doi: 10.3390/polym13183120.
6
Application of Tea Polyphenols as a Biodegradable Fluid Loss Additive and Study of the Filtration Mechanism.
ACS Omega. 2020 Feb 11;5(7):3453-3461. doi: 10.1021/acsomega.9b03712. eCollection 2020 Feb 25.
7
Improving the Thermal Stability of Hydrophobic Associative Polymer Aqueous Solution Using a "Triple-Protection" Strategy.采用“三重保护”策略提高疏水缔合聚合物水溶液的热稳定性
Polymers (Basel). 2019 Jun 1;11(6):949. doi: 10.3390/polym11060949.