• 文献检索
  • 文档翻译
  • 深度研究
  • 学术资讯
  • Suppr Zotero 插件Zotero 插件
  • 邀请有礼
  • 套餐&价格
  • 历史记录
应用&插件
Suppr Zotero 插件Zotero 插件浏览器插件Mac 客户端Windows 客户端微信小程序
定价
高级版会员购买积分包购买API积分包
服务
文献检索文档翻译深度研究API 文档MCP 服务
关于我们
关于 Suppr公司介绍联系我们用户协议隐私条款
关注我们

Suppr 超能文献

核心技术专利:CN118964589B侵权必究
粤ICP备2023148730 号-1Suppr @ 2026

文献检索

告别复杂PubMed语法,用中文像聊天一样搜索,搜遍4000万医学文献。AI智能推荐,让科研检索更轻松。

立即免费搜索

文件翻译

保留排版,准确专业,支持PDF/Word/PPT等文件格式,支持 12+语言互译。

免费翻译文档

深度研究

AI帮你快速写综述,25分钟生成高质量综述,智能提取关键信息,辅助科研写作。

立即免费体验

通过氢和碳固体核磁共振研究混合有机-无机化合物(CHCHNH)CuCl中的阳离子动力学

Cation dynamics by H and C MAS NMR in hybrid organic-inorganic (CHCHNH)CuCl.

作者信息

Lim Ae Ran, Joo Yong Lak

机构信息

Analytical Laboratory of Advanced Ferroelectric Crystals, Jeonju University Jeonju 55069 South Korea

Department of Science Education, Jeonju University Jeonju 55069 South Korea.

出版信息

RSC Adv. 2018 Oct 4;8(59):34110-34115. doi: 10.1039/c8ra06268d. eCollection 2018 Sep 28.

DOI:10.1039/c8ra06268d
PMID:35548822
原文链接:https://pmc.ncbi.nlm.nih.gov/articles/PMC9086738/
Abstract

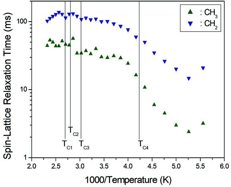
To understand the dynamics of the cation in layered perovskite-type (CHCHNH)CuCl, the temperature-dependent chemical shifts and spin-lattice relaxation times in the rotating frame have been measured using H magic angle spinning nuclear magnetic resonance (MAS NMR) and C cross-polarization (CP)/MAS NMR techniques. Each proton and carbon in the (CHCHNH) cation is distinguished in MAS NMR spectra. The Bloembergen-Purcell-Pound (BPP) curves for H in CHCH and NH, and for the C in CH and CH are revealed to have minima at low temperatures. This implies that the curves represent the CH and NH rotational motions. The amplitude of the cationic motion is enhanced at the C-end, that is, the N-end of the organic cation is fixed to the inorganic layer through N-H⋯Cl hydrogen bonds, and becomes short with larger-amplitude molecular motions.

摘要

为了理解层状钙钛矿型(CHCHNH)CuCl中阳离子的动力学,使用H魔角旋转核磁共振(MAS NMR)和C交叉极化(CP)/MAS NMR技术测量了旋转坐标系中随温度变化的化学位移和自旋晶格弛豫时间。(CHCHNH)阳离子中的每个质子和碳在MAS NMR光谱中都能区分。CHCH和NH中H以及CH和CH中C的布洛姆伯根-珀塞尔-庞德(BPP)曲线在低温下有最小值。这意味着这些曲线代表了CH和NH的旋转运动。阳离子运动的幅度在C端增强,也就是说,有机阳离子的N端通过N-H⋯Cl氢键固定在无机层上,并且随着分子运动幅度的增大而变短。

https://cdn.ncbi.nlm.nih.gov/pmc/blobs/a7b3/9086738/c6f64ddba42e/c8ra06268d-f8.jpg
https://cdn.ncbi.nlm.nih.gov/pmc/blobs/a7b3/9086738/d8c926451f16/c8ra06268d-f1.jpg
https://cdn.ncbi.nlm.nih.gov/pmc/blobs/a7b3/9086738/f18428c646c5/c8ra06268d-f2.jpg
https://cdn.ncbi.nlm.nih.gov/pmc/blobs/a7b3/9086738/a7144d93adea/c8ra06268d-f3.jpg
https://cdn.ncbi.nlm.nih.gov/pmc/blobs/a7b3/9086738/8e6f6d8782e3/c8ra06268d-f4.jpg
https://cdn.ncbi.nlm.nih.gov/pmc/blobs/a7b3/9086738/d7d3afe438bc/c8ra06268d-f5.jpg
https://cdn.ncbi.nlm.nih.gov/pmc/blobs/a7b3/9086738/c918d74c8943/c8ra06268d-f6.jpg
https://cdn.ncbi.nlm.nih.gov/pmc/blobs/a7b3/9086738/a7ccdea1e5b4/c8ra06268d-f7.jpg
https://cdn.ncbi.nlm.nih.gov/pmc/blobs/a7b3/9086738/c6f64ddba42e/c8ra06268d-f8.jpg
https://cdn.ncbi.nlm.nih.gov/pmc/blobs/a7b3/9086738/d8c926451f16/c8ra06268d-f1.jpg
https://cdn.ncbi.nlm.nih.gov/pmc/blobs/a7b3/9086738/f18428c646c5/c8ra06268d-f2.jpg
https://cdn.ncbi.nlm.nih.gov/pmc/blobs/a7b3/9086738/a7144d93adea/c8ra06268d-f3.jpg
https://cdn.ncbi.nlm.nih.gov/pmc/blobs/a7b3/9086738/8e6f6d8782e3/c8ra06268d-f4.jpg
https://cdn.ncbi.nlm.nih.gov/pmc/blobs/a7b3/9086738/d7d3afe438bc/c8ra06268d-f5.jpg
https://cdn.ncbi.nlm.nih.gov/pmc/blobs/a7b3/9086738/c918d74c8943/c8ra06268d-f6.jpg
https://cdn.ncbi.nlm.nih.gov/pmc/blobs/a7b3/9086738/a7ccdea1e5b4/c8ra06268d-f7.jpg
https://cdn.ncbi.nlm.nih.gov/pmc/blobs/a7b3/9086738/c6f64ddba42e/c8ra06268d-f8.jpg

相似文献

1
Cation dynamics by H and C MAS NMR in hybrid organic-inorganic (CHCHNH)CuCl.通过氢和碳固体核磁共振研究混合有机-无机化合物(CHCHNH)CuCl中的阳离子动力学
RSC Adv. 2018 Oct 4;8(59):34110-34115. doi: 10.1039/c8ra06268d. eCollection 2018 Sep 28.
2
Thermal and structural properties, and molecular dynamics in organic-inorganic hybrid perovskite (CHNH)ZnCl.有机-无机杂化钙钛矿(CHNH)ZnCl的热性能、结构性能及分子动力学
RSC Adv. 2019 Nov 21;9(65):38032-38037. doi: 10.1039/c9ra07695f. eCollection 2019 Nov 19.
3
Ionic dynamics of the cation in organic-inorganic hybrid compound (CHNH)MCl (M = Cu and Zn) by H MAS NMR, C CP MAS NMR, and N NMR.通过氢魔角旋转核磁共振(H MAS NMR)、碳交叉极化魔角旋转核磁共振(C CP MAS NMR)和氮核磁共振(N NMR)对有机-无机杂化化合物(CHNH)MCl(M = Cu和Zn)中阳离子的离子动力学进行研究。
RSC Adv. 2018 May 22;8(33):18656-18662. doi: 10.1039/c8ra02363h. eCollection 2018 May 17.
4
Thermodynamic Properties, Structural Characteristics, and Cation Dynamics of Perovskite-Type Layer Crystal [NH(CH)NH]ZnCl.钙钛矿型层状晶体[NH(CH)NH]ZnCl的热力学性质、结构特征及阳离子动力学
ACS Omega. 2020 Nov 25;5(48):31417-31422. doi: 10.1021/acsomega.0c04989. eCollection 2020 Dec 8.
5
Structural characterization, thermal properties, and molecular motions near the phase transition in hybrid perovskite [(CH)(NH)]CuCl crystals: H, C, and N nuclear magnetic resonance.杂化钙钛矿[(CH)(NH)]CuCl晶体相变附近的结构表征、热性能及分子运动:氢、碳和氮核磁共振
Sci Rep. 2020 Nov 30;10(1):20853. doi: 10.1038/s41598-020-77931-0.
6
Thermal property and structural molecular dynamics of organic-inorganic hybrid perovskite 1,4-butanediammonium tetrachlorocuprate.有机-无机杂化钙钛矿四氯铜酸1,4-丁二铵的热性质与结构分子动力学
RSC Adv. 2020 Sep 21;10(57):34800-34805. doi: 10.1039/d0ra06551j. eCollection 2020 Sep 16.
7
Thermodynamic, Physical, and Structural Characteristics in Layered Hybrid Type (CHNH)Cl ( = Co, Cu, Zn, and Cd) Crystals.层状混合类型(CHNH)Cl(=Co、Cu、Zn 和 Cd)晶体的热力学、物理和结构特性。
Molecules. 2020 Apr 15;25(8):1812. doi: 10.3390/molecules25081812.
8
Phase transition, thermal stability, and molecular dynamics of organic-inorganic hybrid perovskite [NH(CH)NH]CuCl crystals.有机-无机杂化钙钛矿[NH(CH)NH]CuCl晶体的相变、热稳定性及分子动力学
RSC Adv. 2022 Jul 20;12(32):20679-20685. doi: 10.1039/d2ra02975h. eCollection 2022 Jul 14.
9
Thermal, ferroelastic, and structural properties near phase transitions of organic-inorganic perovskite type [NH(CH)NH]CdBr crystals.有机-无机钙钛矿型[NH(CH)NH]CdBr晶体相变附近的热、铁弹性和结构性质
RSC Adv. 2021 May 13;11(29):17622-17629. doi: 10.1039/d1ra02045e.
10
NH(CH)CuCl Organic-Inorganic Hybrid Perovskite: Consideration to Crystal Structure, Thermodynamics, and Structural Molecular Dynamics.NH(CH)CuCl有机-无机杂化钙钛矿:对晶体结构、热力学和结构分子动力学的考量
ACS Omega. 2024 Jul 29;9(32):34918-34926. doi: 10.1021/acsomega.4c04606. eCollection 2024 Aug 13.

引用本文的文献

1
Thermal and structural properties, and molecular dynamics in organic-inorganic hybrid perovskite (CHNH)ZnCl.有机-无机杂化钙钛矿(CHNH)ZnCl的热性能、结构性能及分子动力学
RSC Adv. 2019 Nov 21;9(65):38032-38037. doi: 10.1039/c9ra07695f. eCollection 2019 Nov 19.
2
Thermal property and structural molecular dynamics of organic-inorganic hybrid perovskite 1,4-butanediammonium tetrachlorocuprate.有机-无机杂化钙钛矿四氯铜酸1,4-丁二铵的热性质与结构分子动力学
RSC Adv. 2020 Sep 21;10(57):34800-34805. doi: 10.1039/d0ra06551j. eCollection 2020 Sep 16.
3
Thermodynamic, Physical, and Structural Characteristics in Layered Hybrid Type (CHNH)Cl ( = Co, Cu, Zn, and Cd) Crystals.

本文引用的文献

1
Ionic dynamics of the cation in organic-inorganic hybrid compound (CHNH)MCl (M = Cu and Zn) by H MAS NMR, C CP MAS NMR, and N NMR.通过氢魔角旋转核磁共振(H MAS NMR)、碳交叉极化魔角旋转核磁共振(C CP MAS NMR)和氮核磁共振(N NMR)对有机-无机杂化化合物(CHNH)MCl(M = Cu和Zn)中阳离子的离子动力学进行研究。
RSC Adv. 2018 May 22;8(33):18656-18662. doi: 10.1039/c8ra02363h. eCollection 2018 May 17.
2
Copper-Substituted Lead Perovskite Materials Constructed with Different Halides for Working (CHNH)CuX-Based Perovskite Solar Cells from Experimental and Theoretical View.不同卤化物构建的铜取代铅钙钛矿材料用于(CHNH)CuX 基钙钛矿太阳能电池:从实验和理论角度。
ACS Appl Mater Interfaces. 2018 Apr 11;10(14):11699-11707. doi: 10.1021/acsami.8b00495. Epub 2018 Mar 30.
3
层状混合类型(CHNH)Cl(=Co、Cu、Zn 和 Cd)晶体的热力学、物理和结构特性。
Molecules. 2020 Apr 15;25(8):1812. doi: 10.3390/molecules25081812.
4
Thermotropic Liquid Crystalline Polymers with Various Alkoxy Side Groups: Thermal Properties and Molecular Dynamics.带有不同烷氧基侧基的热致液晶聚合物:热性能与分子动力学
Polymers (Basel). 2019 Jun 4;11(6):992. doi: 10.3390/polym11060992.
The electronic structure of organic-inorganic hybrid compounds: (NH₄)₂CuCl₄, (CH₃NH₃)₂CuCl₄ and (C₂H₅NH₃)₂CuCl₄.有机-无机杂化化合物的电子结构:(NH₄)₂CuCl₄、(CH₃NH₃)₂CuCl₄ 和 (C₂H₅NH₃)₂CuCl₄。
J Phys Condens Matter. 2013 Jul 24;25(29):295502. doi: 10.1088/0953-8984/25/29/295502. Epub 2013 Jun 27.