• 文献检索
  • 文档翻译
  • 深度研究
  • 学术资讯
  • Suppr Zotero 插件Zotero 插件
  • 邀请有礼
  • 套餐&价格
  • 历史记录
应用&插件
Suppr Zotero 插件Zotero 插件浏览器插件Mac 客户端Windows 客户端微信小程序
定价
高级版会员购买积分包购买API积分包
服务
文献检索文档翻译深度研究API 文档MCP 服务
关于我们
关于 Suppr公司介绍联系我们用户协议隐私条款
关注我们

Suppr 超能文献

核心技术专利:CN118964589B侵权必究
粤ICP备2023148730 号-1Suppr @ 2026

文献检索

告别复杂PubMed语法,用中文像聊天一样搜索,搜遍4000万医学文献。AI智能推荐,让科研检索更轻松。

立即免费搜索

文件翻译

保留排版,准确专业,支持PDF/Word/PPT等文件格式,支持 12+语言互译。

免费翻译文档

深度研究

AI帮你快速写综述,25分钟生成高质量综述,智能提取关键信息,辅助科研写作。

立即免费体验

有机-无机杂化钙钛矿(CHNH)ZnCl的热性能、结构性能及分子动力学

Thermal and structural properties, and molecular dynamics in organic-inorganic hybrid perovskite (CHNH)ZnCl.

作者信息

Lim Ae Ran

机构信息

Analytical Laboratory of Advanced Ferroelectric Crystals, Jeonju University Jeonju 55069 South Korea

Department of Science Education, Jeonju University Jeonju 55069 South Korea.

出版信息

RSC Adv. 2019 Nov 21;9(65):38032-38037. doi: 10.1039/c9ra07695f. eCollection 2019 Nov 19.

DOI:10.1039/c9ra07695f
PMID:35541808
原文链接:https://pmc.ncbi.nlm.nih.gov/articles/PMC9075765/
Abstract

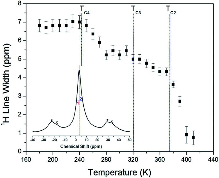
The thermal and structural properties and molecular dynamics of layered perovskite-type (CHNH)ZnCl are investigated by differential scanning calorimetry, thermogravimetric analysis, and magic angle spinning nuclear magnetic resonance spectroscopy. The thermal properties and phase transitions are studied. Additionally, the Bloembergen-Purcell-Pound (BPP) curves for the H spin-lattice relaxation time in the CHNH cation and for the C in CH are shown to have minima as a function of inverse temperature. This observation implies that these curves represent the rotational motions of H and C in the CHNH cation. The activation energies for H and C in the CHNH cation are obtained; the molecular motion of H is enhanced at the C-end and N-end of the organic cation, and that at the carbons of the main chain is not as free as that for protons at the C-end and N-end.

摘要

通过差示扫描量热法、热重分析和魔角旋转核磁共振光谱法研究了层状钙钛矿型(CHNH)ZnCl的热性能、结构性能和分子动力学。研究了其热性能和相变。此外,CHNH阳离子中H自旋晶格弛豫时间的布洛姆伯根-珀塞尔-庞德(BPP)曲线以及CH中C的BPP曲线显示出作为逆温度函数的最小值。这一观察结果表明,这些曲线代表了CHNH阳离子中H和C的旋转运动。获得了CHNH阳离子中H和C的活化能;有机阳离子C端和N端的H分子运动增强,主链碳上的分子运动不如C端和N端质子的分子运动自由。

https://cdn.ncbi.nlm.nih.gov/pmc/blobs/7553/9075765/abe93162d841/c9ra07695f-f9.jpg
https://cdn.ncbi.nlm.nih.gov/pmc/blobs/7553/9075765/264900d4d97d/c9ra07695f-f1.jpg
https://cdn.ncbi.nlm.nih.gov/pmc/blobs/7553/9075765/b9efd36faf4b/c9ra07695f-f2.jpg
https://cdn.ncbi.nlm.nih.gov/pmc/blobs/7553/9075765/dee4e8daf2af/c9ra07695f-f3.jpg
https://cdn.ncbi.nlm.nih.gov/pmc/blobs/7553/9075765/87bac87a2b0e/c9ra07695f-f4.jpg
https://cdn.ncbi.nlm.nih.gov/pmc/blobs/7553/9075765/e0874602d245/c9ra07695f-f5.jpg
https://cdn.ncbi.nlm.nih.gov/pmc/blobs/7553/9075765/a244e33d548c/c9ra07695f-f6.jpg
https://cdn.ncbi.nlm.nih.gov/pmc/blobs/7553/9075765/90c3bc6d5bd8/c9ra07695f-f7.jpg
https://cdn.ncbi.nlm.nih.gov/pmc/blobs/7553/9075765/c08b74bd85c8/c9ra07695f-f8.jpg
https://cdn.ncbi.nlm.nih.gov/pmc/blobs/7553/9075765/abe93162d841/c9ra07695f-f9.jpg
https://cdn.ncbi.nlm.nih.gov/pmc/blobs/7553/9075765/264900d4d97d/c9ra07695f-f1.jpg
https://cdn.ncbi.nlm.nih.gov/pmc/blobs/7553/9075765/b9efd36faf4b/c9ra07695f-f2.jpg
https://cdn.ncbi.nlm.nih.gov/pmc/blobs/7553/9075765/dee4e8daf2af/c9ra07695f-f3.jpg
https://cdn.ncbi.nlm.nih.gov/pmc/blobs/7553/9075765/87bac87a2b0e/c9ra07695f-f4.jpg
https://cdn.ncbi.nlm.nih.gov/pmc/blobs/7553/9075765/e0874602d245/c9ra07695f-f5.jpg
https://cdn.ncbi.nlm.nih.gov/pmc/blobs/7553/9075765/a244e33d548c/c9ra07695f-f6.jpg
https://cdn.ncbi.nlm.nih.gov/pmc/blobs/7553/9075765/90c3bc6d5bd8/c9ra07695f-f7.jpg
https://cdn.ncbi.nlm.nih.gov/pmc/blobs/7553/9075765/c08b74bd85c8/c9ra07695f-f8.jpg
https://cdn.ncbi.nlm.nih.gov/pmc/blobs/7553/9075765/abe93162d841/c9ra07695f-f9.jpg

相似文献

1
Thermal and structural properties, and molecular dynamics in organic-inorganic hybrid perovskite (CHNH)ZnCl.有机-无机杂化钙钛矿(CHNH)ZnCl的热性能、结构性能及分子动力学
RSC Adv. 2019 Nov 21;9(65):38032-38037. doi: 10.1039/c9ra07695f. eCollection 2019 Nov 19.
2
Cation dynamics by H and C MAS NMR in hybrid organic-inorganic (CHCHNH)CuCl.通过氢和碳固体核磁共振研究混合有机-无机化合物(CHCHNH)CuCl中的阳离子动力学
RSC Adv. 2018 Oct 4;8(59):34110-34115. doi: 10.1039/c8ra06268d. eCollection 2018 Sep 28.
3
Thermodynamic, Physical, and Structural Characteristics in Layered Hybrid Type (CHNH)Cl ( = Co, Cu, Zn, and Cd) Crystals.层状混合类型(CHNH)Cl(=Co、Cu、Zn 和 Cd)晶体的热力学、物理和结构特性。
Molecules. 2020 Apr 15;25(8):1812. doi: 10.3390/molecules25081812.
4
Thermodynamic Properties, Structural Characteristics, and Cation Dynamics of Perovskite-Type Layer Crystal [NH(CH)NH]ZnCl.钙钛矿型层状晶体[NH(CH)NH]ZnCl的热力学性质、结构特征及阳离子动力学
ACS Omega. 2020 Nov 25;5(48):31417-31422. doi: 10.1021/acsomega.0c04989. eCollection 2020 Dec 8.
5
Ionic dynamics of the cation in organic-inorganic hybrid compound (CHNH)MCl (M = Cu and Zn) by H MAS NMR, C CP MAS NMR, and N NMR.通过氢魔角旋转核磁共振(H MAS NMR)、碳交叉极化魔角旋转核磁共振(C CP MAS NMR)和氮核磁共振(N NMR)对有机-无机杂化化合物(CHNH)MCl(M = Cu和Zn)中阳离子的离子动力学进行研究。
RSC Adv. 2018 May 22;8(33):18656-18662. doi: 10.1039/c8ra02363h. eCollection 2018 May 17.
6
Structural characterization, thermal properties, and molecular motions near the phase transition in hybrid perovskite [(CH)(NH)]CuCl crystals: H, C, and N nuclear magnetic resonance.杂化钙钛矿[(CH)(NH)]CuCl晶体相变附近的结构表征、热性能及分子运动:氢、碳和氮核磁共振
Sci Rep. 2020 Nov 30;10(1):20853. doi: 10.1038/s41598-020-77931-0.
7
Thermal, ferroelastic, and structural properties near phase transitions of organic-inorganic perovskite type [NH(CH)NH]CdBr crystals.有机-无机钙钛矿型[NH(CH)NH]CdBr晶体相变附近的热、铁弹性和结构性质
RSC Adv. 2021 May 13;11(29):17622-17629. doi: 10.1039/d1ra02045e.
8
Phase transition, thermal stability, and molecular dynamics of organic-inorganic hybrid perovskite [NH(CH)NH]CuCl crystals.有机-无机杂化钙钛矿[NH(CH)NH]CuCl晶体的相变、热稳定性及分子动力学
RSC Adv. 2022 Jul 20;12(32):20679-20685. doi: 10.1039/d2ra02975h. eCollection 2022 Jul 14.
9
Thermal property and structural molecular dynamics of organic-inorganic hybrid perovskite 1,4-butanediammonium tetrachlorocuprate.有机-无机杂化钙钛矿四氯铜酸1,4-丁二铵的热性质与结构分子动力学
RSC Adv. 2020 Sep 21;10(57):34800-34805. doi: 10.1039/d0ra06551j. eCollection 2020 Sep 16.
10
NH(CH)CuCl Organic-Inorganic Hybrid Perovskite: Consideration to Crystal Structure, Thermodynamics, and Structural Molecular Dynamics.NH(CH)CuCl有机-无机杂化钙钛矿:对晶体结构、热力学和结构分子动力学的考量
ACS Omega. 2024 Jul 29;9(32):34918-34926. doi: 10.1021/acsomega.4c04606. eCollection 2024 Aug 13.

引用本文的文献

1
Thermodynamic, Physical, and Structural Characteristics in Layered Hybrid Type (CHNH)Cl ( = Co, Cu, Zn, and Cd) Crystals.层状混合类型(CHNH)Cl(=Co、Cu、Zn 和 Cd)晶体的热力学、物理和结构特性。
Molecules. 2020 Apr 15;25(8):1812. doi: 10.3390/molecules25081812.

本文引用的文献

1
Cation dynamics by H and C MAS NMR in hybrid organic-inorganic (CHCHNH)CuCl.通过氢和碳固体核磁共振研究混合有机-无机化合物(CHCHNH)CuCl中的阳离子动力学
RSC Adv. 2018 Oct 4;8(59):34110-34115. doi: 10.1039/c8ra06268d. eCollection 2018 Sep 28.
2
Ionic dynamics of the cation in organic-inorganic hybrid compound (CHNH)MCl (M = Cu and Zn) by H MAS NMR, C CP MAS NMR, and N NMR.通过氢魔角旋转核磁共振(H MAS NMR)、碳交叉极化魔角旋转核磁共振(C CP MAS NMR)和氮核磁共振(N NMR)对有机-无机杂化化合物(CHNH)MCl(M = Cu和Zn)中阳离子的离子动力学进行研究。
RSC Adv. 2018 May 22;8(33):18656-18662. doi: 10.1039/c8ra02363h. eCollection 2018 May 17.
3
Copper-Substituted Lead Perovskite Materials Constructed with Different Halides for Working (CHNH)CuX-Based Perovskite Solar Cells from Experimental and Theoretical View.
不同卤化物构建的铜取代铅钙钛矿材料用于(CHNH)CuX 基钙钛矿太阳能电池:从实验和理论角度。
ACS Appl Mater Interfaces. 2018 Apr 11;10(14):11699-11707. doi: 10.1021/acsami.8b00495. Epub 2018 Mar 30.
4
Dielectric and Raman investigations of structural phase transitions in (C2H5NH3)2CdCl4.(C2H5NH3)2CdCl4结构相变的介电和拉曼研究
Phys Chem Chem Phys. 2015 May 14;17(18):12207-14. doi: 10.1039/c5cp00906e.
5
The electronic structure of organic-inorganic hybrid compounds: (NH₄)₂CuCl₄, (CH₃NH₃)₂CuCl₄ and (C₂H₅NH₃)₂CuCl₄.有机-无机杂化化合物的电子结构:(NH₄)₂CuCl₄、(CH₃NH₃)₂CuCl₄ 和 (C₂H₅NH₃)₂CuCl₄。
J Phys Condens Matter. 2013 Jul 24;25(29):295502. doi: 10.1088/0953-8984/25/29/295502. Epub 2013 Jun 27.