• 文献检索
  • 文档翻译
  • 深度研究
  • 学术资讯
  • Suppr Zotero 插件Zotero 插件
  • 邀请有礼
  • 套餐&价格
  • 历史记录
应用&插件
Suppr Zotero 插件Zotero 插件浏览器插件Mac 客户端Windows 客户端微信小程序
定价
高级版会员购买积分包购买API积分包
服务
文献检索文档翻译深度研究API 文档MCP 服务
关于我们
关于 Suppr公司介绍联系我们用户协议隐私条款
关注我们

Suppr 超能文献

核心技术专利:CN118964589B侵权必究
粤ICP备2023148730 号-1Suppr @ 2026

文献检索

告别复杂PubMed语法,用中文像聊天一样搜索,搜遍4000万医学文献。AI智能推荐,让科研检索更轻松。

立即免费搜索

文件翻译

保留排版,准确专业,支持PDF/Word/PPT等文件格式,支持 12+语言互译。

免费翻译文档

深度研究

AI帮你快速写综述,25分钟生成高质量综述,智能提取关键信息,辅助科研写作。

立即免费体验

替奈普汀钠双层缓释片的体外-体内相关性研究。

In Vitro-In Vivo Correlation of Tianeptine Sodium Sustained-Release Dual-Layer Tablets.

机构信息

Department of Pharmaceutical Engineering, Catholic University of Daegu, Hayang-Ro 13-13, Hayang-Eup, Gyeongsan 38430, Korea.

出版信息

Molecules. 2022 Apr 29;27(9):2828. doi: 10.3390/molecules27092828.

DOI:10.3390/molecules27092828
PMID:35566178
原文链接:https://pmc.ncbi.nlm.nih.gov/articles/PMC9101287/
Abstract

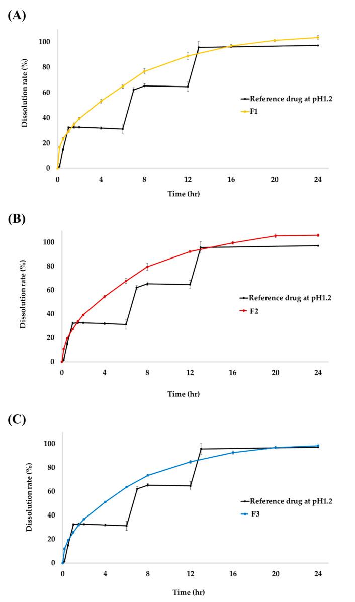
Tianeptine tablets are currently marketed to be designed for immediate-release tablets. The tianeptine has a short half-life, making it difficult to design for sustained-release tablets and achieve bioequivalence with the tianeptine immediate-release tablet (Stablon). We established the in vitro-in vivo correlation (IVIVC) of three formulations of tianeptine sustained-release tablets according to their granule size. To evaluate sustained drug release, in vitro tests were performed in pH 1.2 media for 24 h. In vivo pharmacokinetic analysis was performed following oral administration of reference drug and test drug to beagle dogs. The dissolution profile revealed delayed release as the size of the granules increased. The dissolution results were confirmed in pharmacokinetic analysis, showing that the half-life was delayed as granule size increased. The final formulation and reference drug showed an equivalent area under the curve (AUC). Through this, IVIVC was established according to the size of the tianeptine sodium granules, which is the purpose of this study, and was used to predict in vivo pharmacokinetics from the formulation composition. This approach may be useful for determining optimal formulation compositions to achieve the desired pharmacokinetics when developing new formulations.

摘要

甲硫苯丙胺片目前市售的设计为速释片。甲硫苯丙胺的半衰期较短,因此难以设计为缓释片,并实现与甲硫苯丙胺速释片(Stablon)的生物等效性。我们根据颗粒大小建立了三种甲硫苯丙胺缓释片的体外-体内相关性(IVIVC)。为了评估药物的持续释放,在 pH 1.2 的介质中进行了 24 小时的体外试验。在口服参比药物和受试药物后,对比格犬进行了体内药代动力学分析。溶解曲线显示随着颗粒尺寸的增加而延迟释放。药代动力学分析结果证实了这一点,表明半衰期随着颗粒尺寸的增加而延迟。最终的配方和参比药物显示出等效的曲线下面积(AUC)。通过这种方式,根据甲硫苯丙胺钠颗粒的大小建立了 IVIVC,这是本研究的目的,并用于从制剂组成预测体内药代动力学。当开发新制剂时,这种方法可能有助于确定最佳的制剂组成以实现所需的药代动力学。

https://cdn.ncbi.nlm.nih.gov/pmc/blobs/b62d/9101287/96b115422c7b/molecules-27-02828-g004.jpg
https://cdn.ncbi.nlm.nih.gov/pmc/blobs/b62d/9101287/b83f87c8be95/molecules-27-02828-g001.jpg
https://cdn.ncbi.nlm.nih.gov/pmc/blobs/b62d/9101287/08cd374093a0/molecules-27-02828-g002.jpg
https://cdn.ncbi.nlm.nih.gov/pmc/blobs/b62d/9101287/d36a78978ece/molecules-27-02828-g003.jpg
https://cdn.ncbi.nlm.nih.gov/pmc/blobs/b62d/9101287/96b115422c7b/molecules-27-02828-g004.jpg
https://cdn.ncbi.nlm.nih.gov/pmc/blobs/b62d/9101287/b83f87c8be95/molecules-27-02828-g001.jpg
https://cdn.ncbi.nlm.nih.gov/pmc/blobs/b62d/9101287/08cd374093a0/molecules-27-02828-g002.jpg
https://cdn.ncbi.nlm.nih.gov/pmc/blobs/b62d/9101287/d36a78978ece/molecules-27-02828-g003.jpg
https://cdn.ncbi.nlm.nih.gov/pmc/blobs/b62d/9101287/96b115422c7b/molecules-27-02828-g004.jpg

相似文献

1
In Vitro-In Vivo Correlation of Tianeptine Sodium Sustained-Release Dual-Layer Tablets.替奈普汀钠双层缓释片的体外-体内相关性研究。
Molecules. 2022 Apr 29;27(9):2828. doi: 10.3390/molecules27092828.
2
Novel extended IVIVC combined with DoE to predict pharmacokinetics from formulation compositions.新型扩展 IVIVC 结合设计空间法预测制剂组成与药代动力学的关系。
J Control Release. 2022 Mar;343:443-456. doi: 10.1016/j.jconrel.2022.01.048. Epub 2022 Feb 4.
3
Development of a Physiologically Relevant Population Pharmacokinetic in Vitro-in Vivo Correlation Approach for Designing Extended-Release Oral Dosage Formulation.开发一种用于设计缓释口服剂型的具有生理相关性的群体药代动力学体外-体内相关性方法。
Mol Pharm. 2017 Jan 3;14(1):53-65. doi: 10.1021/acs.molpharmaceut.6b00677. Epub 2016 Dec 12.
4
A Three-Pulse Release Tablet for Amoxicillin: Preparation, Pharmacokinetic Study and Physiologically Based Pharmacokinetic Modeling.阿莫西林三脉冲释放片:制备、药代动力学研究及基于生理的药代动力学建模
PLoS One. 2016 Aug 1;11(8):e0160260. doi: 10.1371/journal.pone.0160260. eCollection 2016.
5
Pharmacokinetic and bioequivalence assessment of two formulations of tianeptine sodium in healthy male volunteers.健康男性志愿者中两种硫蒽酮钠制剂的药代动力学和生物等效性评估。
Int J Clin Pharmacol Ther. 2014 Sep;52(9):817-23. doi: 10.5414/cp202128.
6
Development, Physicochemical Characteristics and Pharmacokinetics of a New Sustained-Release Bilayer Tablet Formulation of Tramadol with an Immediate-Release Component for Twice-Daily Administration.盐酸曲马多双层控释片的研制及其速释部分的药代动力学研究。
Eur J Drug Metab Pharmacokinet. 2024 Jan;49(1):87-100. doi: 10.1007/s13318-023-00865-1. Epub 2023 Dec 8.
7
Establishment of Level a In Vitro-In Vivo Correlation (IVIVC) via Extended DoE-IVIVC Model: A Donepezil Case Study.通过扩展的实验设计-体外-体内相关性(IVIVC)模型建立A级体外-体内相关性:多奈哌齐案例研究
Pharmaceutics. 2022 Jun 9;14(6):1226. doi: 10.3390/pharmaceutics14061226.
8
Modulation of microenvironmental pH for dual release and reduced in vivo gastrointestinal bleeding of aceclofenac using hydroxypropyl methylcellulose-based bilayered matrix tablet.使用羟丙基甲基纤维素基双层基质片剂调节微环境pH以实现双释放并减少醋氯芬酸在体内的胃肠道出血
Eur J Pharm Sci. 2017 May 1;102:85-93. doi: 10.1016/j.ejps.2017.02.039. Epub 2017 Mar 2.
9
Screening of Bioequivalent Extended-Release Formulations for Metformin by Principal Component Analysis and Convolution-Based IVIVC Approach.基于主成分分析和卷积的 IVIVC 方法筛选二甲双胍生物等效缓释制剂。
AAPS J. 2021 Mar 4;23(2):38. doi: 10.1208/s12248-021-00559-z.
10
Feasibility of biowaiver extension to biopharmaceutics classification system class III drug products: cimetidine.生物豁免扩展至生物药剂学分类系统III类药品的可行性:西咪替丁
Clin Pharmacokinet. 2006;45(4):385-99. doi: 10.2165/00003088-200645040-00004.

引用本文的文献

1
Development and In Vitro-In Vivo Correlation Evaluation of IMM-H014 Extended-Release Tablets for the Treatment of Fatty Liver Disease.开发并进行 IMM-H014 缓释片治疗脂肪肝的体外-体内相关性评估。
Int J Mol Sci. 2023 Aug 2;24(15):12328. doi: 10.3390/ijms241512328.
2
Establishment of Level a In Vitro-In Vivo Correlation (IVIVC) via Extended DoE-IVIVC Model: A Donepezil Case Study.通过扩展的实验设计-体外-体内相关性(IVIVC)模型建立A级体外-体内相关性:多奈哌齐案例研究
Pharmaceutics. 2022 Jun 9;14(6):1226. doi: 10.3390/pharmaceutics14061226.

本文引用的文献

1
Quality by Design Applied Development of Immediate-Release Rabeprazole Sodium Dry-Coated Tablet.基于质量源于设计理念的速释型雷贝拉唑钠干包衣片的应用开发
Pharmaceutics. 2021 Feb 14;13(2):259. doi: 10.3390/pharmaceutics13020259.
2
Nanoporous Silica Entrapped Lipid-Drug Complexes for the Solubilization and Absorption Enhancement of Poorly Soluble Drugs.用于难溶性药物增溶和吸收增强的纳米多孔二氧化硅包封脂质-药物复合物
Pharmaceutics. 2021 Jan 6;13(1):63. doi: 10.3390/pharmaceutics13010063.
3
Physiologically Relevant In Vitro-In Vivo Correlation (IVIVC) Approach for Sildenafil with Site-Dependent Dissolution.
西地那非基于溶出部位差异的生理相关体外-体内相关性(IVIVC)方法
Pharmaceutics. 2019 Jun 1;11(6):251. doi: 10.3390/pharmaceutics11060251.
4
PBPK Absorption Modeling: Establishing the In Vitro-In Vivo Link-Industry Perspective.基于生理的药代动力学吸收模型:建立体外-体内关联-行业视角。
AAPS J. 2019 Jan 23;21(2):19. doi: 10.1208/s12248-019-0292-3.
5
Development of stabilized tenofovir disoproxil tablet: degradation profile, stabilization, and bioequivalence in beagle dogs.稳定的替诺福韦二吡呋酯片的研制:降解谱、稳定性和在比格犬体内的生物等效性。
Drug Dev Ind Pharm. 2018 May;44(5):757-766. doi: 10.1080/03639045.2017.1411943. Epub 2017 Dec 25.
6
Development of a Physiologically Relevant Population Pharmacokinetic in Vitro-in Vivo Correlation Approach for Designing Extended-Release Oral Dosage Formulation.开发一种用于设计缓释口服剂型的具有生理相关性的群体药代动力学体外-体内相关性方法。
Mol Pharm. 2017 Jan 3;14(1):53-65. doi: 10.1021/acs.molpharmaceut.6b00677. Epub 2016 Dec 12.
7
Applications of In Vitro-In Vivo Correlations in Generic Drug Development: Case Studies.体外-体内相关性在仿制药研发中的应用:案例研究
AAPS J. 2015 Jul;17(4):1035-9. doi: 10.1208/s12248-015-9765-1. Epub 2015 Apr 22.
8
Tianeptine: a novel atypical antidepressant that may provide new insights into the biomolecular basis of depression.噻奈普汀:一种新型非典型抗抑郁药,可能为抑郁症的生物分子基础提供新的见解。
Recent Pat CNS Drug Discov. 2006 Jan;1(1):29-41. doi: 10.2174/157488906775245327.
9
A cross-performance relationship between Carr's index and dissolution rate constant: the study of acetaminophen batches.卡尔指数与溶出速率常数之间的交叉性能关系:对乙酰氨基酚批次的研究。
Drug Dev Ind Pharm. 2007 Nov;33(11):1273-84. doi: 10.1080/03639040701542390.
10
In vitro - in vivo correlation: from theory to applications.体外-体内相关性:从理论到应用
J Pharm Pharm Sci. 2006;9(2):169-89.