Suppr超能文献

用于电渗析的磺化聚(酞嗪酮醚酮)膜的制备与性能

Preparation and Properties of Sulfonated Poly(phthalazinone ether ketone) Membranes for Electrodialysis.

作者信息

Deng Cong, Liu Qian, Zhang Shouhai, Wang Zhaoqi, Chen Yuning, Jian Xigao

机构信息

State Key Laboratory of Fine Chemicals, School of Chemical Engineering, Dalian University of Technology, Dalian 116024, China.

Dalian Key Laboratory of Membrane Materials and Membrane Processes, High Performance Polymer Engineering Research Center, Dalian 116024, China.

出版信息

Polymers (Basel). 2022 Apr 23;14(9):1723. doi: 10.3390/polym14091723.

Abstract

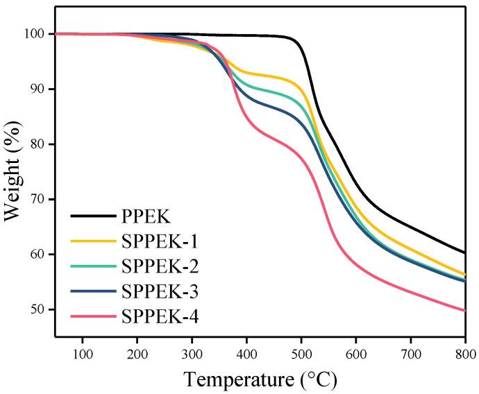
Sulfonated poly(phthalazinone ether ketones) (SPPEK) with ion exchange capacities from 0.77 to 1.82 mmol·g are synthesized via an electrophilic substitution reaction. Nuclear magnetic resonance and infrared absorption spectroscopy are used to characterize the chemical structure of the obtained polymers for confirming the successful introduction of sulfonic groups. SPPEKs show excellent thermal stability; their temperature required to achieve 5% weight loss is about 360 °C. Accordingly, the obtained membranes possess high ion perm-selectivity, proton conductivity, and low area resistance. Regarding the electrodialysis-related performance of the membranes, the SPPEK-4 membrane has the highest limiting current density (39.8 mA·cm), resulting from its high content of sulfonic groups. In a desalination test of standard solution, SPPEK-3 and SPPEK-4 membranes exhibit both better salt removal rate and acceptable energy consumption than commercial membrane. Additionally, SPPEK-3 membrane shows outstanding performance in terms of high concentration rate and low energy consumption during saline water treatment, which indicates the feasibility of novel membranes in electrodialysis application.

摘要

通过亲电取代反应合成了离子交换容量为0.77至1.82 mmol·g的磺化聚(酞嗪酮醚酮)(SPPEK)。利用核磁共振和红外吸收光谱对所得聚合物的化学结构进行表征,以确认磺酸基团的成功引入。SPPEK表现出优异的热稳定性;其达到5%失重所需的温度约为360℃。因此,所得膜具有高离子渗透选择性、质子传导率和低面积电阻。关于膜的电渗析相关性能,SPPEK-4膜具有最高的极限电流密度(39.8 mA·cm),这是由于其磺酸基团含量高所致。在标准溶液的脱盐试验中,SPPEK-3和SPPEK-4膜的脱盐率均优于商业膜,且能耗可接受。此外,SPPEK-3膜在盐水处理过程中的浓缩率高且能耗低,这表明新型膜在电渗析应用中的可行性。

https://cdn.ncbi.nlm.nih.gov/pmc/blobs/a293/9105782/7646598982d9/polymers-14-01723-g001.jpg

文献检索

告别复杂PubMed语法,用中文像聊天一样搜索,搜遍4000万医学文献。AI智能推荐,让科研检索更轻松。

立即免费搜索

文件翻译

保留排版,准确专业,支持PDF/Word/PPT等文件格式,支持 12+语言互译。

免费翻译文档

深度研究

AI帮你快速写综述,25分钟生成高质量综述,智能提取关键信息,辅助科研写作。

立即免费体验