Suppr超能文献

采用计算与实验相结合的方法探索磺化聚砜质子交换膜的结构-性能关系

Exploring the Structure-Performance Relationship of Sulfonated Polysulfone Proton Exchange Membrane by a Combined Computational and Experimental Approach.

作者信息

Simari Cataldo, Prejanò Mario, Lufrano Ernestino, Sicilia Emilia, Nicotera Isabella

机构信息

Department of Chemistry and Chemical Technologies-CTC, University of Calabria, Via Pietro Bucci, 87036 Rende, Italy.

出版信息

Polymers (Basel). 2021 Mar 20;13(6):959. doi: 10.3390/polym13060959.

Abstract

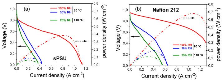
Sulfonated Polysulfone (sPSU) is emerging as a concrete alternative to Nafion ionomer for the development of proton exchange electrolytic membranes for low cost, environmentally friendly and high-performance PEM fuel cells. This ionomer has recently gained great consideration since it can effectively combine large availability on the market, excellent film-forming ability and remarkable thermo-mechanical resistance with interesting proton conductive properties. Despite the great potential, however, the morphological architecture of hydrated sPSU is still unknown. In this study, computational and experimental advanced tools are combined to preliminary describe the relationship between the microstructure of highly sulfonated sPSU (DS = 80%) and its physico-chemical, mechanical and electrochemical features. Computer simulations allowed for describing the architecture and to estimate the structural parameters of the sPSU membrane. Molecular dynamics revealed an interconnected lamellar-like structure for hydrated sPSU, with ionic clusters of about 14-18 Å in diameter corresponding to the hydrophilic sulfonic-acid-containing phase. Water dynamics were investigated by H Pulsed Field Gradient (PFG) NMR spectroscopy in a wide temperature range (20-120 °C) and the self-diffusion coefficients data were analyzed by a "two-sites" model. It allows to estimate the hydration number in excellent agreement with the theoretical simulation (e.g., about 8 mol HO/mol SO @ 80 °C). The PEM performance was assessed in terms of dimensional, thermo-mechanical and electrochemical properties by swelling tests, DMA and EIS, respectively. The peculiar microstructure of sPSU provides a wider thermo-mechanical stability in comparison to Nafion, but lower dimensional and conductive features. Nonetheless, the single H/O fuel cell assembled with sPSU exhibited better features than any earlier published hydrocarbon ionomers, thus opening interesting perspectives toward the design and preparation of high-performing sPSU-based PEMs.

摘要

磺化聚砜(sPSU)正逐渐成为一种切实可行的替代品,有望用于开发低成本、环境友好且高性能的质子交换膜燃料电池的质子交换电解膜,以取代Nafion离聚物。这种离聚物最近备受关注,因为它能有效融合市场上的大量供应、出色的成膜能力、卓越的热机械抗性以及有趣的质子传导特性。然而,尽管潜力巨大,但水合sPSU的形态结构仍不为人知。在本研究中,结合了计算和实验先进工具,初步描述了高磺化sPSU(磺化度DS = 80%)的微观结构与其物理化学、机械和电化学特性之间的关系。计算机模拟能够描述sPSU膜的结构并估算其结构参数。分子动力学揭示了水合sPSU具有相互连接的层状结构,直径约为14 - 18 Å的离子簇对应于含亲水性磺酸的相。通过在较宽温度范围(20 - 120 °C)内的氢脉冲场梯度(PFG)核磁共振光谱研究了水动力学,并采用“双位点”模型分析了自扩散系数数据。这使得能够估算水合数,与理论模拟结果高度吻合(例如,在80 °C时约为8 mol H₂O/mol SO₃)。分别通过溶胀试验、动态热机械分析(DMA)和电化学阻抗谱(EIS)从尺寸、热机械和电化学性能方面评估了质子交换膜的性能。与Nafion相比,sPSU独特的微观结构提供了更宽的热机械稳定性,但尺寸和导电特性较低。尽管如此,用sPSU组装的单H/O燃料电池表现出比任何先前发表的烃类离聚物更好的特性,从而为设计和制备高性能的基于sPSU的质子交换膜开辟了有趣的前景。

https://cdn.ncbi.nlm.nih.gov/pmc/blobs/92df/8003876/b964175909dc/polymers-13-00959-g001.jpg

文献检索

告别复杂PubMed语法,用中文像聊天一样搜索,搜遍4000万医学文献。AI智能推荐,让科研检索更轻松。

立即免费搜索

文件翻译

保留排版,准确专业,支持PDF/Word/PPT等文件格式,支持 12+语言互译。

免费翻译文档

深度研究

AI帮你快速写综述,25分钟生成高质量综述,智能提取关键信息,辅助科研写作。

立即免费体验