Suppr超能文献

用于光电和光学截止应用的双嵌入PVP/PVA薄膜的微观结构研究及线性/非线性光学性能

Microstructure Study and Linear/Nonlinear Optical Performance of Bi-Embedded PVP/PVA Films for Optoelectronic and Optical Cut-Off Applications.

作者信息

Elhosiny Ali H, Abdel-Aziz Mohammad, Mahmoud Ibrahiem Ashraf, Sayed Mahmoud A, Abd-Rabboh Hisham S M, Awwad Nasser S, Algarni Hamed, Shkir Mohd, Yasmin Khairy M

机构信息

Advanced Functional Materials & Optoelectronic Laboratory (AFMOL), Department of Physics, Faculty of Science, King Khalid University, P.O. Box 9004, Abha 61413, Saudi Arabia.

Physics Department, Faculty of Science, Zagazig University, Zagazig 44519, Egypt.

出版信息

Polymers (Basel). 2022 Apr 25;14(9):1741. doi: 10.3390/polym14091741.

Abstract

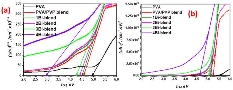
Hybrid polymer films of polyvinyl pyrrolidone (PVP)/polyvinyl alcohol (PVA) embedded with gradient levels of Bi-powder were prepared using a conventional solution casting process. XRD, FTIR, and SEM techniques have been used to examine the micro/molecular structure and morphology of the synthesized flexible films. The intensities of the diffraction peaks and transmission spectrum of the PVP/PVA gradually declined with the introduction of Bi-metal. In addition, filler changes the microstructure surface of the pure film. The modification in the microstructure leads to an enhancement in the optical absorption characteristic of the blend films. The indirect allowed transition energy was calculated via Tauc's and ASF (Absorption Spectra Fitting) models. The decrease in the hybrid film's bandgap returns to the localized states in the forbidden region, which led the present films to be suitable for photo-electric, solar cell, etc., applications. The relation between the transition energy and the refractive index was studied. The enhancement in the refractive index with Bi-metal concentrations led to use the as-prepared films in optical sensors. The rise of Bi-metal concentrations leads also to the improvement of the nonlinear susceptibility and refractive parameters. The optical limiting characteristics revealed that the higher concentration dopant films reduce the light transmission intensity which is appropriate for laser attenuation and optical limiting in photonic devices. The results suggest that hybrid films are promising materials in a wide range of opto-electronic applications.

摘要

采用传统溶液浇铸法制备了嵌入不同梯度铋粉的聚乙烯吡咯烷酮(PVP)/聚乙烯醇(PVA)混合聚合物薄膜。利用X射线衍射(XRD)、傅里叶变换红外光谱(FTIR)和扫描电子显微镜(SEM)技术研究了合成的柔性薄膜的微观/分子结构和形态。随着铋金属的引入,PVP/PVA的衍射峰强度和透射光谱逐渐下降。此外,填料改变了纯薄膜的微观结构表面。微观结构的改变导致共混薄膜的光吸收特性增强。通过陶克(Tauc)模型和吸收光谱拟合(ASF)模型计算了间接允许跃迁能量。混合薄膜带隙的减小归因于禁带区域中的局域态,这使得当前薄膜适用于光电、太阳能电池等应用。研究了跃迁能量与折射率之间的关系。随着铋金属浓度增加,折射率增大,这使得所制备的薄膜可用于光学传感器。铋金属浓度的增加还导致非线性磁化率和折射参数的改善。光学限幅特性表明,较高浓度掺杂剂的薄膜降低了光透射强度,这适用于光子器件中的激光衰减和光学限幅。结果表明,混合薄膜是广泛的光电子应用中有前景的材料。

https://cdn.ncbi.nlm.nih.gov/pmc/blobs/8f14/9104475/8759fd02d8fb/polymers-14-01741-g001.jpg

文献检索

告别复杂PubMed语法,用中文像聊天一样搜索,搜遍4000万医学文献。AI智能推荐,让科研检索更轻松。

立即免费搜索

文件翻译

保留排版,准确专业,支持PDF/Word/PPT等文件格式,支持 12+语言互译。

免费翻译文档

深度研究

AI帮你快速写综述,25分钟生成高质量综述,智能提取关键信息,辅助科研写作。

立即免费体验