Suppr超能文献

考虑土地利用/土地覆被对港湾生物多样性的影响,使用贝叶斯层次模型。

Considering the influence of land use/land cover on estuarine biotic richness with Bayesian hierarchical models.

机构信息

Department of Wildlife, Fisheries, and Aquaculture, Mississippi State University, Mississippi State, Mississippi, USA.

Department of Agricultural and Biological Engineering, Mississippi State University, Mississippi State, Mississippi, USA.

出版信息

Ecol Appl. 2022 Oct;32(7):e2675. doi: 10.1002/eap.2675. Epub 2022 Jul 14.

Abstract

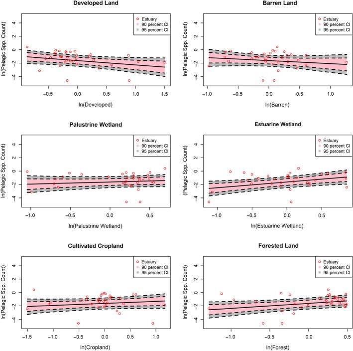
The composition of land use/land cover (LULC) in coastal watersheds has many implications for estuarine system ecological function. Land use/land cover can influence allochthonous inputs and can enhance or degrade the physical characteristics of estuaries, which in turn affects estuaries' ability to support local biota. However, these implications for estuaries are often poorly considered when assessing the value of lands for conservation. The focus of research regarding terrestrial and estuarine interfaces often evaluates how LULC may stress estuarine ecosystems, but in this study we sought to understand how LULC may both positively and negatively affect estuaries using measures of observed biotic richness as proxies for estuarine function. We investigated the influence of LULC on estuarine biotic richness with Bayesian hierarchical models using multiple geospatial data sets from 33 estuaries and their associated watersheds along the Gulf of Mexico coastal region of the United States. We designed the hierarchical models with observed species richness of three functional groups (FGs) (i.e., pelagic fishes, forage fishes, and shrimp) from fishery-independent trawl surveys as response variables. We then set salinity and water temperature as trawl-specific covariates and measures of influence from six LULC classes as estuary-specific covariates and allowed the models to vary by estuary, trawl program, salinity, and temperature. The model results indicated that the observed richness of each FG was both positively and negatively associated with different LULC classes, with estuarine wetlands and forested lands demonstrating the strongest positive influences on each FG. The results are generally consistent with past studies, and the modeling framework provides a promising way to systematically quantify LULC linkages with the biotic health of estuaries for the purposes of potentially valuing the estuarine implications of land conservation.

摘要

土地利用/土地覆被(LULC)在沿海流域的组成对河口系统生态功能有许多影响。土地利用/土地覆被可以影响异源输入,并可以增强或降低河口的物理特性,从而影响河口支持本地生物群的能力。然而,在评估土地保护的价值时,这些对河口的影响往往没有得到充分考虑。关于陆地和河口界面的研究重点通常评估 LULC 如何给河口生态系统带来压力,但在这项研究中,我们试图通过使用观察到的生物丰富度作为河口功能的代理来理解 LULC 如何对河口产生积极和消极的影响。我们使用来自美国墨西哥湾沿海地区 33 个河口及其相关流域的多个地理空间数据集,通过贝叶斯层次模型调查了 LULC 对河口生物丰富度的影响。我们设计了层次模型,使用渔业独立拖网调查中三种功能组(即浮游鱼类、饲料鱼类和虾类)的观察物种丰富度作为响应变量。然后,我们将盐度和水温作为拖网特定的协变量,将六个 LULC 类别作为河口特定的协变量来衡量影响,并允许模型根据河口、拖网计划、盐度和温度而变化。模型结果表明,每个 FG 的观察到的丰富度与不同的 LULC 类别都呈正相关和负相关,其中河口湿地和林地对每个 FG 的影响最大。结果与过去的研究基本一致,该模型框架为系统地量化 LULC 与河口生物健康之间的联系提供了一种有前途的方法,以便为潜在地评估土地保护对河口的影响提供价值。

https://cdn.ncbi.nlm.nih.gov/pmc/blobs/7346/9786285/28bf4c4a4fec/EAP-32-e2675-g001.jpg

文献AI研究员

20分钟写一篇综述,助力文献阅读效率提升50倍。

立即体验

用中文搜PubMed

大模型驱动的PubMed中文搜索引擎

马上搜索

文档翻译

学术文献翻译模型,支持多种主流文档格式。

立即体验