Suppr超能文献

在一项随机化变应性结膜炎现场试验中,瑞普罗沙的活性及眼部瘙痒和发红的临床相关阈值估计

Reproxalap Activity and Estimation of Clinically Relevant Thresholds for Ocular Itching and Redness in a Randomized Allergic Conjunctivitis Field Trial.

作者信息

Cavanagh Bill, Gomes Paul J, Starr Christopher E, Nichols Kelly K, Brady Todd C

机构信息

Aldeyra Therapeutics, Inc, 131 Hartwell Avenue, Suite 320, Lexington, MA, 02421, USA.

Ora, Inc, Andover, MA, USA.

出版信息

Ophthalmol Ther. 2022 Aug;11(4):1449-1461. doi: 10.1007/s40123-022-00520-z. Epub 2022 May 18.

Abstract

INTRODUCTION

This clinical trial assessed the activity of reproxalap, a novel reactive aldehyde species modulator, and estimated clinically relevant thresholds for changes in ocular itching and redness in an allergic conjunctivitis field trial.

METHODS

This was a randomized, double-masked, vehicle-controlled phase 2 trial. Patients with ragweed-associated allergic conjunctivitis were assessed over 28 days in an environmental setting with approximately four doses per day of either 0.25% reproxalap, 0.5% reproxalap, or vehicle. Patients recorded ocular itching, redness, tearing, and eyelid swelling scores (each with a 0-4 scale, except for a 0-3 scale for swelling), and completed the Allergic Conjunctivitis Quality of Life Questionnaire at the beginning and end of the trial.

RESULTS

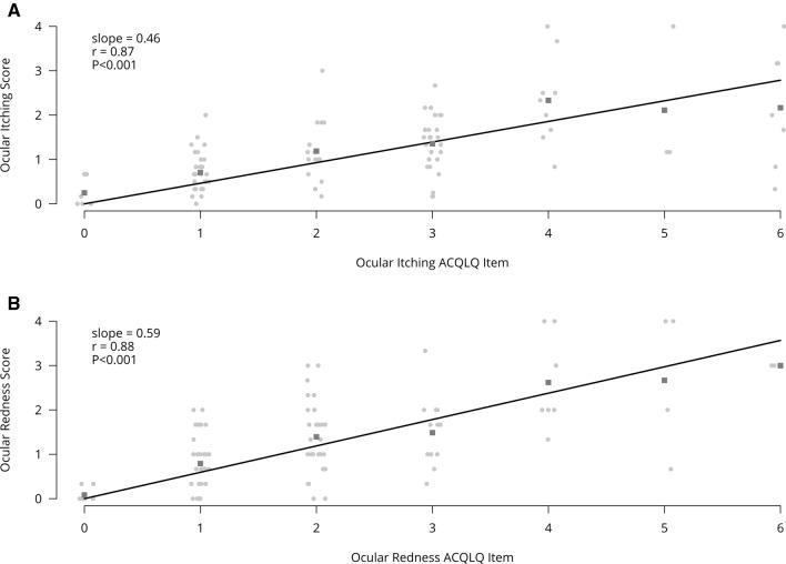
Mixed model of repeated measures analysis demonstrated statistically lower itching and tearing scores (pooled P = 0.026 and P < 0.001, respectively) and numerically lower redness and eyelid swelling scores than vehicle on days when pollen exceeded the 95th percentile value. Using three anchor-based and three distribution-based approaches, the meaningful within-patient change and the between-group meaningful difference for patient-reported ocular itching and redness was estimated to be approximately 0.5. The most common treatment-emergent adverse event associated with reproxalap was transient irritation upon instillation.

CONCLUSION

In a field clinical trial, reproxalap was well tolerated and superior to vehicle in reducing ocular itching on high-pollen days. The clinical meaningfulness threshold estimates of 0.5 units are among the first such calculations generated for the standard ocular itching and redness scores, providing important context for the clinical interpretation of clinical trials in allergic conjunctivitis.

摘要

引言

本临床试验评估了新型反应性醛类物质调节剂瑞普乐萘的活性,并在过敏性结膜炎现场试验中估计了眼部瘙痒和发红变化的临床相关阈值。

方法

这是一项随机、双盲、赋形剂对照的2期试验。对豚草相关过敏性结膜炎患者在环境中进行了28天的评估,每天给予约四剂0.25%瑞普乐萘、0.5%瑞普乐萘或赋形剂。患者记录眼部瘙痒、发红、流泪和眼睑肿胀评分(每项评分范围为0 - 4分,肿胀评分为0 - 3分),并在试验开始和结束时完成过敏性结膜炎生活质量问卷。

结果

重复测量分析的混合模型显示,在花粉超过第95百分位数的日子里,与赋形剂相比,瘙痒和流泪评分在统计学上显著降低(合并P值分别为0.026和P < 0.001),发红和眼睑肿胀评分在数值上也更低。使用三种基于锚点和三种基于分布的方法,估计患者报告的眼部瘙痒和发红的有意义的患者内变化和组间有意义差异约为0.5。与瑞普乐萘相关的最常见治疗中出现的不良事件是滴注时的短暂刺激。

结论

在现场临床试验中,瑞普乐萘耐受性良好,在高花粉日减少眼部瘙痒方面优于赋形剂。0.5个单位的临床意义阈值估计是首次针对标准眼部瘙痒和发红评分进行的此类计算之一,为过敏性结膜炎临床试验的临床解释提供了重要背景。

https://cdn.ncbi.nlm.nih.gov/pmc/blobs/6830/9253207/820444a8e63d/40123_2022_520_Fig1_HTML.jpg

文献AI研究员

20分钟写一篇综述,助力文献阅读效率提升50倍。

立即体验

用中文搜PubMed

大模型驱动的PubMed中文搜索引擎

马上搜索

文档翻译

学术文献翻译模型,支持多种主流文档格式。

立即体验