Leong Lambert T, Malkov Serghei, Drukker Karen, Niell Bethany L, Sadowski Peter, Wolfgruber Thomas, Greenwood Heather I, Joe Bonnie N, Kerlikowske Karla, Giger Maryellen L, Shepherd John A
Department of Epidemiology and Population Sciences, University of Hawaii Cancer Center, Honolulu, HI USA.
Department Molecular Bioscience and Bioengineering, University of Hawaii at Manoa, Honolulu, HI USA.
Commun Med (Lond). 2021 Aug 31;1:29. doi: 10.1038/s43856-021-00024-0. eCollection 2021.
While breast imaging such as full-field digital mammography and digital breast tomosynthesis have helped to reduced breast cancer mortality, issues with low specificity exist resulting in unnecessary biopsies. The fundamental information used in diagnostic decisions are primarily based in lesion morphology. We explore a dual-energy compositional breast imaging technique known as three-compartment breast (3CB) to show how the addition of compositional information improves malignancy detection.
Women who presented with Breast Imaging-Reporting and Data System (BI-RADS) diagnostic categories 4 or 5 and who were scheduled for breast biopsies were consecutively recruited for both standard mammography and 3CB imaging. Computer-aided detection (CAD) software was used to assign a morphology-based prediction of malignancy for all biopsied lesions. Compositional signatures for all lesions were calculated using 3CB imaging and a neural network evaluated CAD predictions with composition to predict a new probability of malignancy. CAD and neural network predictions were compared to the biopsy pathology.
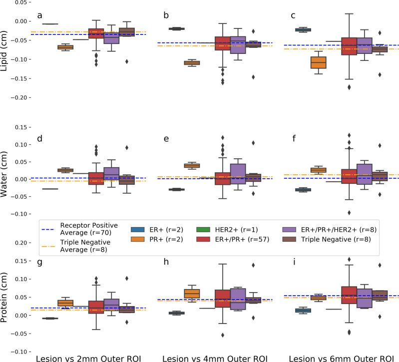
The addition of 3CB compositional information to CAD improves malignancy predictions resulting in an area under the receiver operating characteristic curve (AUC) of 0.81 (confidence interval (CI) of 0.74-0.88) on a held-out test set, while CAD software alone achieves an AUC of 0.69 (CI 0.60-0.78). We also identify that invasive breast cancers have a unique compositional signature characterized by reduced lipid content and increased water and protein content when compared to surrounding tissues.
Clinically, 3CB may potentially provide increased accuracy in predicting malignancy and a feasible avenue to explore compositional breast imaging biomarkers.
虽然全视野数字乳腺摄影和数字乳腺断层合成等乳腺成像技术有助于降低乳腺癌死亡率,但存在特异性低的问题,导致不必要的活检。诊断决策中使用的基本信息主要基于病变形态。我们探索了一种称为三室乳腺(3CB)的双能成分乳腺成像技术,以展示成分信息的添加如何改善恶性肿瘤的检测。
连续招募了乳腺影像报告和数据系统(BI-RADS)诊断分类为4或5且计划进行乳腺活检的女性,进行标准乳腺摄影和3CB成像。使用计算机辅助检测(CAD)软件对所有活检病变进行基于形态学的恶性肿瘤预测。使用3CB成像计算所有病变的成分特征,并用神经网络评估结合成分的CAD预测,以预测新的恶性肿瘤概率。将CAD和神经网络的预测结果与活检病理结果进行比较。
在CAD中添加3CB成分信息可改善恶性肿瘤预测,在一个保留测试集上,受试者操作特征曲线(AUC)下面积为0.81(置信区间(CI)为0.74 - 0.88),而仅CAD软件的AUC为0.69(CI 0.60 - 0.78)。我们还发现,与周围组织相比,浸润性乳腺癌具有独特的成分特征,其脂质含量降低,水和蛋白质含量增加。
在临床上,3CB可能在预测恶性肿瘤方面提供更高的准确性,并为探索乳腺成像成分生物标志物提供一条可行的途径。