Suppr超能文献

β-石竹烯改善环磷酰胺诱导的心脏损伤:TLR4/NFκB与Nrf2/HO1/NQO1信号通路的关联

β-Caryophyllene Ameliorates Cyclophosphamide Induced Cardiac Injury: The Association of TLR4/NFκB and Nrf2/HO1/NQO1 Pathways.

作者信息

Younis Nancy S

机构信息

Department of Pharmaceutical Sciences, College of Clinical Pharmacy, King Faisal University, Al-Ahsa 31982, Saudi Arabia.

出版信息

J Cardiovasc Dev Dis. 2022 Apr 26;9(5):133. doi: 10.3390/jcdd9050133.

Abstract

BACKGROUND

β-caryophyllene (BCP), a natural sesquiterpene, is extensively present in the essential oils of several plants. Cyclophosphamide (CYC) is an anticancer drug. However, its clinical usage is inadequate due to its cardiotoxicity. The aim of this study was to study the effects of BCP on cardiac injury induced by CYC exposure, and to identify the underlying mechanism of action.

METHODS

Five groups of Wistar rats were allocated. Group I (Normal), II (BCP), and III (CYC) acted as controls. Group IV, V (CYC + BCP) received BCP in two doses (100 and 200 mg/kg, orally, respectively) for 14 days after CYC challenge. CYC groups received 200 mg/kg, i.p. of the drug once on the first day of experiments.

RESULTS

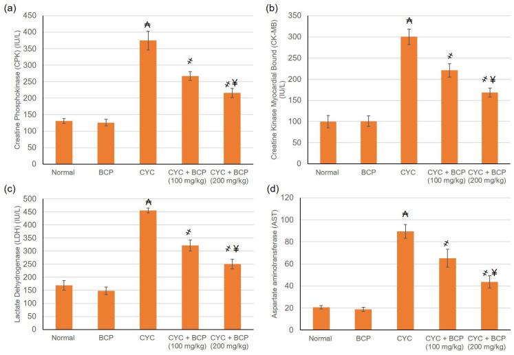
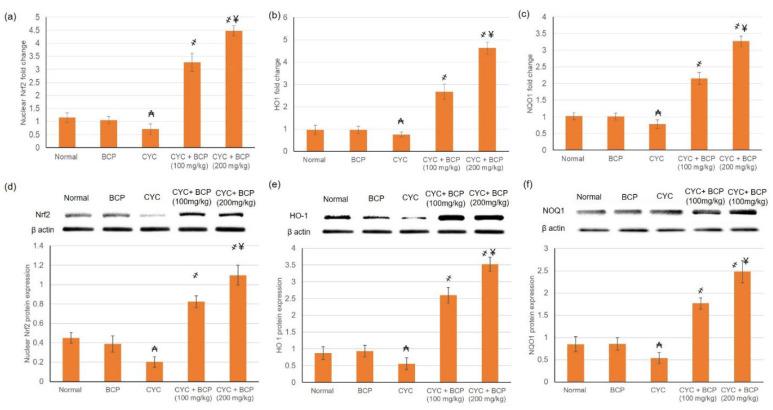
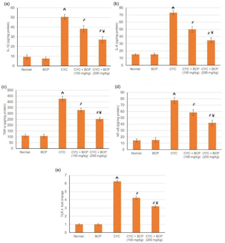
CYC group displayed numerous ECG and histological irregularities and cardiac markers elevation. CYC induced lipid peroxidation and oxidative stress intensification, as well as inflammatory and apoptotic markers escalation. Treatment with BCP resulted in modified ECG traces and histological sections. BCP mitigated cardiac markers and lipid peroxidation whereas intensified antioxidant capacity. BCP activated Nrf2, with subsequent HO1 and NQO1 amplification. BCP diminished TLR4/NFκB pathway, which consequently lessened the inflammatory and apoptosis responses.

CONCLUSION

BCP administration was associated with activated Nrf2/HO1/NQO1 and inhibited TLR4/NFκB pathways with subsequent enhanced anti-oxidative capacity and diminished inflammatory and apoptosis responses.

摘要

背景

β-石竹烯(BCP)是一种天然倍半萜,广泛存在于多种植物的精油中。环磷酰胺(CYC)是一种抗癌药物。然而,由于其心脏毒性,其临床应用受到限制。本研究旨在探讨BCP对CYC诱导的心脏损伤的影响,并确定其潜在的作用机制。

方法

将Wistar大鼠分为五组。第一组(正常组)、第二组(BCP组)和第三组(CYC组)作为对照组。第四组、第五组(CYC + BCP组)在CYC攻击后分别以两种剂量(100和200 mg/kg,口服)给予BCP,持续14天。CYC组在实验第一天腹腔注射一次200 mg/kg的药物。

结果

CYC组出现大量心电图和组织学异常,心脏标志物升高。CYC诱导脂质过氧化和氧化应激加剧,以及炎症和凋亡标志物升高。BCP治疗导致心电图轨迹和组织学切片改变。BCP减轻了心脏标志物和脂质过氧化,同时增强了抗氧化能力。BCP激活了Nrf2,随后HO1和NQO1增加。BCP减少了TLR4/NFκB途径,从而减轻了炎症和凋亡反应。

结论

BCP给药与激活Nrf2/HO1/NQO1和抑制TLR4/NFκB途径有关,随后抗氧化能力增强,炎症和凋亡反应减弱。

https://cdn.ncbi.nlm.nih.gov/pmc/blobs/9951/9145742/1bb80d871924/jcdd-09-00133-g001.jpg

文献AI研究员

20分钟写一篇综述,助力文献阅读效率提升50倍。

立即体验

用中文搜PubMed

大模型驱动的PubMed中文搜索引擎

马上搜索

文档翻译

学术文献翻译模型,支持多种主流文档格式。

立即体验