Suppr超能文献

具有活化能的电磁流体动力学蠕动通道中金银血液混合纳米材料流动的传热特性

Heat Transfer Attributes of Gold-Silver-Blood Hybrid Nanomaterial Flow in an EMHD Peristaltic Channel with Activation Energy.

作者信息

Souayeh Basma, Ramesh Katta, Hdhiri Najib, Yasin Essam, Alam Mir Waqas, Alfares Kawthar, Yasin Amina

机构信息

Department of Physics, College of Science, King Faisal University, P.O. Box 400, Al-Ahsa 31982, Saudi Arabia.

Laboratory of Fluid Mechanics, Physics Department, Faculty of Sciences of Tunis, University of Tunis El Manar, Tunis 2092, Tunisia.

出版信息

Nanomaterials (Basel). 2022 May 10;12(10):1615. doi: 10.3390/nano12101615.

Abstract

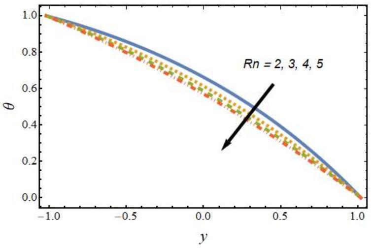
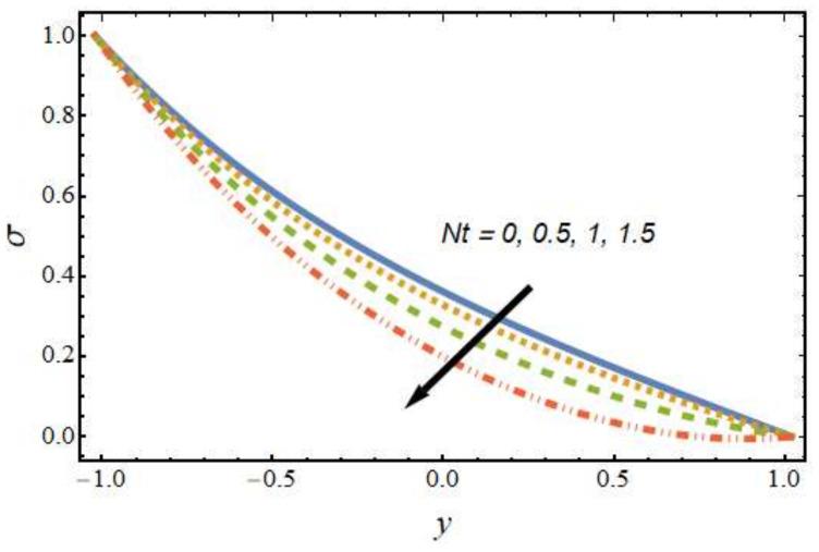
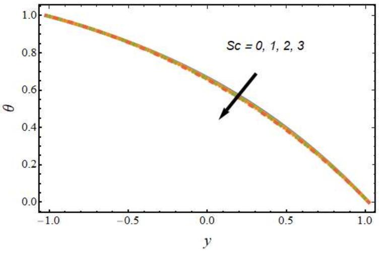
The heat enhancement in hybrid nanofluid flow through the peristaltic mechanism has received great attention due to its occurrence in many engineering and biomedical systems, such as flow through canals, the cavity flow model and biomedicine. Therefore, the aim of the current study was to discuss the hybrid nanofluid flow in a symmetric peristaltic channel with diverse effects, such as electromagnetohydrodynamics (EMHD), activation energy, gyrotactic microorganisms and solar radiation. The equations governing this motion were simplified under the approximations of a low Reynolds number (LRN), a long wavelength (LWL) and Debye-Hückel linearization (DHL). The numerical solutions for the non-dimensional system of equations were tackled using the computational software Mathematica. The influences of diverse physical parameters on the flow and thermal characteristics were computed through pictorial interpretations. It was concluded from the results that the thermophoresis parameter and Grashof number increased the hybrid nanofluid velocity near the right wall. The nanoparticle temperature decreased with the radiation parameter and Schmidt number. The activation energy and radiation enhanced the nanoparticle volume fraction, and motile microorganisms decreased with an increase in the Peclet number and Schmidt number. The applications of the current investigation include chyme flow in the gastrointestinal tract, the control of blood flow during surgery by altering the magnetic field and novel drug delivery systems in pharmacological engineering.

摘要

由于混合纳米流体通过蠕动机制流动时在许多工程和生物医学系统中都会出现,例如通过管道的流动、空腔流动模型和生物医学,因此受到了极大关注。因此,本研究的目的是讨论在具有多种效应(如电磁流体动力学(EMHD)、活化能、趋旋微生物和太阳辐射)的对称蠕动通道中的混合纳米流体流动。在低雷诺数(LRN)、长波长(LWL)和德拜 - 休克尔线性化(DHL)的近似条件下,简化了控制该运动的方程。使用计算软件Mathematica求解无量纲方程组的数值解。通过图形解释计算了各种物理参数对流动和热特性的影响。结果表明,热泳参数和格拉晓夫数增加了混合纳米流体在右壁附近的速度。纳米颗粒温度随辐射参数和施密特数的增加而降低。活化能和辐射提高了纳米颗粒的体积分数,而活动微生物随着佩克莱数和施密特数的增加而减少。本研究的应用包括胃肠道中的食糜流动、通过改变磁场控制手术期间的血流以及药理工程中的新型药物输送系统。

https://cdn.ncbi.nlm.nih.gov/pmc/blobs/a517/9146115/09e80553df3f/nanomaterials-12-01615-g001.jpg

文献检索

告别复杂PubMed语法,用中文像聊天一样搜索,搜遍4000万医学文献。AI智能推荐,让科研检索更轻松。

立即免费搜索

文件翻译

保留排版,准确专业,支持PDF/Word/PPT等文件格式,支持 12+语言互译。

免费翻译文档

深度研究

AI帮你快速写综述,25分钟生成高质量综述,智能提取关键信息,辅助科研写作。

立即免费体验