• 文献检索
  • 文档翻译
  • 深度研究
  • 学术资讯
  • Suppr Zotero 插件Zotero 插件
  • 邀请有礼
  • 套餐&价格
  • 历史记录
应用&插件
Suppr Zotero 插件Zotero 插件浏览器插件Mac 客户端Windows 客户端微信小程序
定价
高级版会员购买积分包购买API积分包
服务
文献检索文档翻译深度研究API 文档MCP 服务
关于我们
关于 Suppr公司介绍联系我们用户协议隐私条款
关注我们

Suppr 超能文献

核心技术专利:CN118964589B侵权必究
粤ICP备2023148730 号-1Suppr @ 2026

文献检索

告别复杂PubMed语法,用中文像聊天一样搜索,搜遍4000万医学文献。AI智能推荐,让科研检索更轻松。

立即免费搜索

文件翻译

保留排版,准确专业,支持PDF/Word/PPT等文件格式,支持 12+语言互译。

免费翻译文档

深度研究

AI帮你快速写综述,25分钟生成高质量综述,智能提取关键信息,辅助科研写作。

立即免费体验

预测与重症急性胰腺炎相关的急性呼吸窘迫综合征的模型的开发和外部验证。

Development and external validation of models to predict acute respiratory distress syndrome related to severe acute pancreatitis.

机构信息

Department of Gastroenterology, Peking Union Medical College Hospital, Beijing 100730, China.

Medical Research Center, Peking Union Medical College Hospital, Beijing 100730, China.

出版信息

World J Gastroenterol. 2022 May 21;28(19):2123-2136. doi: 10.3748/wjg.v28.i19.2123.

DOI:10.3748/wjg.v28.i19.2123
PMID:35664037
原文链接:https://pmc.ncbi.nlm.nih.gov/articles/PMC9134137/
Abstract

BACKGROUND

Acute respiratory distress syndrome (ARDS) is a major cause of death in patients with severe acute pancreatitis (SAP). Although a series of prediction models have been developed for early identification of such patients, the majority are complicated or lack validation. A simpler and more credible model is required for clinical practice.

AIM

To develop and validate a predictive model for SAP related ARDS.

METHODS

Patients diagnosed with AP from four hospitals located at different regions of China were retrospectively grouped into derivation and validation cohorts. Statistically significant variables were identified using the least absolute shrinkage and selection operator regression method. Predictive models with nomograms were further built using multiple logistic regression analysis with these picked predictors. The discriminatory power of new models was compared with some common models. The performance of calibration ability and clinical utility of the predictive models were evaluated.

RESULTS

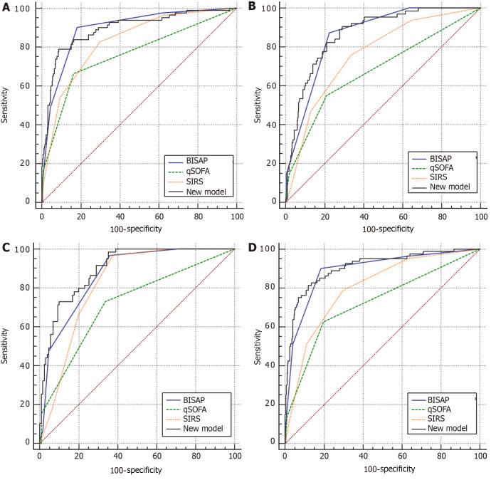
Out of 597 patients with AP, 139 were diagnosed with SAP (80 in derivation cohort and 59 in validation cohort) and 99 with ARDS (62 in derivation cohort and 37 in validation cohort). Four identical variables were identified as independent risk factors for both SAP and ARDS: heart rate [odds ratio (OR) = 1.05; 95%CI: 1.04-1.07; < 0.001; OR = 1.05, 95%CI: 1.03-1.07, < 0.001], respiratory rate (OR = 1.08, 95%CI: 1.0-1.17, = 0.047; OR = 1.10, 95%CI: 1.02-1.19, = 0.014), serum calcium concentration (OR = 0.26, 95%CI: 0.09-0.73, = 0.011; OR = 0.17, 95%CI: 0.06-0.48, = 0.001) and blood urea nitrogen (OR = 1.15, 95%CI: 1.09-1.23, < 0.001; OR = 1.12, 95%CI: 1.05-1.19, < 0.001). The area under receiver operating characteristic curve was 0.879 (95%CI: 0.830-0.928) and 0.898 (95%CI: 0.848-0.949) for SAP prediction in derivation and validation cohorts, respectively. This value was 0.892 (95%CI: 0.843-0.941) and 0.833 (95%CI: 0.754-0.912) for ARDS prediction, respectively. The discriminatory power of our models was improved compared with that of other widely used models and the calibration ability and clinical utility of the prediction models performed adequately.

CONCLUSION

The present study constructed and validated a simple and accurate predictive model for SAP-related ARDS in patients with AP.

摘要

背景

急性呼吸窘迫综合征(ARDS)是重症急性胰腺炎(SAP)患者死亡的主要原因。尽管已经开发了一系列预测模型来早期识别此类患者,但大多数模型较为复杂或缺乏验证。临床实践需要更简单、更可信的模型。

目的

建立和验证 SAP 相关 ARDS 的预测模型。

方法

回顾性地将来自中国四个不同地区医院的诊断为 AP 的患者分为推导队列和验证队列。使用最小绝对收缩和选择算子回归方法识别有统计学意义的变量。使用这些有意义的预测因子进行多变量逻辑回归分析,进一步构建带有列线图的预测模型。比较新模型与一些常用模型的区分能力。评估预测模型的校准能力和临床实用性。

结果

在 597 例 AP 患者中,有 139 例被诊断为 SAP(推导队列 80 例,验证队列 59 例),99 例患有 ARDS(推导队列 62 例,验证队列 37 例)。有四个相同的变量被确定为 SAP 和 ARDS 的独立危险因素:心率[比值比(OR)=1.05;95%置信区间(CI):1.04-1.07;<0.001;OR=1.05,95%CI:1.03-1.07,<0.001]、呼吸频率(OR=1.08,95%CI:1.0-1.17,=0.047;OR=1.10,95%CI:1.02-1.19,=0.014)、血清钙浓度(OR=0.26,95%CI:0.09-0.73,=0.011;OR=0.17,95%CI:0.06-0.48,=0.001)和血尿素氮(OR=1.15,95%CI:1.09-1.23,<0.001;OR=1.12,95%CI:1.05-1.19,<0.001)。推导和验证队列中 SAP 预测的受试者工作特征曲线下面积分别为 0.879(95%CI:0.830-0.928)和 0.898(95%CI:0.848-0.949)。ARDS 预测的相应值分别为 0.892(95%CI:0.843-0.941)和 0.833(95%CI:0.754-0.912)。与其他广泛使用的模型相比,我们的模型的区分能力有所提高,预测模型的校准能力和临床实用性均表现良好。

结论

本研究建立并验证了一种针对 AP 患者 SAP 相关 ARDS 的简单、准确的预测模型。

https://cdn.ncbi.nlm.nih.gov/pmc/blobs/388f/9134137/de6623b402f9/WJG-28-2123-g004.jpg
https://cdn.ncbi.nlm.nih.gov/pmc/blobs/388f/9134137/d276f17123ab/WJG-28-2123-g001.jpg
https://cdn.ncbi.nlm.nih.gov/pmc/blobs/388f/9134137/49ba7f0b1f46/WJG-28-2123-g002.jpg
https://cdn.ncbi.nlm.nih.gov/pmc/blobs/388f/9134137/e3b940b86d0b/WJG-28-2123-g003.jpg
https://cdn.ncbi.nlm.nih.gov/pmc/blobs/388f/9134137/de6623b402f9/WJG-28-2123-g004.jpg
https://cdn.ncbi.nlm.nih.gov/pmc/blobs/388f/9134137/d276f17123ab/WJG-28-2123-g001.jpg
https://cdn.ncbi.nlm.nih.gov/pmc/blobs/388f/9134137/49ba7f0b1f46/WJG-28-2123-g002.jpg
https://cdn.ncbi.nlm.nih.gov/pmc/blobs/388f/9134137/e3b940b86d0b/WJG-28-2123-g003.jpg
https://cdn.ncbi.nlm.nih.gov/pmc/blobs/388f/9134137/de6623b402f9/WJG-28-2123-g004.jpg

相似文献

1
Development and external validation of models to predict acute respiratory distress syndrome related to severe acute pancreatitis.预测与重症急性胰腺炎相关的急性呼吸窘迫综合征的模型的开发和外部验证。
World J Gastroenterol. 2022 May 21;28(19):2123-2136. doi: 10.3748/wjg.v28.i19.2123.
2
A prediction model for acute respiratory distress syndrome among patients with severe acute pancreatitis: a retrospective analysis.预测严重急性胰腺炎患者急性呼吸窘迫综合征的模型:一项回顾性分析。
Ther Adv Respir Dis. 2022 Jan-Dec;16:17534666221122592. doi: 10.1177/17534666221122592.
3
Development of a predictive nomogram for acute respiratory distress syndrome in patients with acute pancreatitis complicated with acute kidney injury.开发一种用于预测急性胰腺炎合并急性肾损伤患者急性呼吸窘迫综合征的列线图。
Ren Fail. 2023;45(2):2251591. doi: 10.1080/0886022X.2023.2251591. Epub 2023 Sep 19.
4
Nomogram for the Prediction of In-Hospital Incidence of Acute Respiratory Distress Syndrome in Patients with Acute Pancreatitis.急性胰腺炎患者住院期间急性呼吸窘迫综合征发生率预测列线图。
Am J Med Sci. 2022 Apr;363(4):322-332. doi: 10.1016/j.amjms.2021.08.009. Epub 2021 Oct 4.
5
Nomogram for the prediction of infected pancreatic necrosis in moderately severe and severe acute pancreatitis.预测中重度和重度急性胰腺炎感染性胰腺坏死的列线图。
J Dig Dis. 2024 Apr;25(4):238-247. doi: 10.1111/1751-2980.13271. Epub 2024 May 23.
6
Early prediction of acute respiratory distress syndrome complicated by acute pancreatitis based on four machine learning models.基于四个机器学习模型预测急性呼吸窘迫综合征并发急性胰腺炎。
Clinics (Sao Paulo). 2023 May 3;78:100215. doi: 10.1016/j.clinsp.2023.100215. eCollection 2023.
7
Development and validation of a risk prediction score for the severity of acute hypertriglyceridemic pancreatitis in Chinese patients.中文患者急性高甘油三酯血症性胰腺炎严重程度风险预测评分的制定和验证。
World J Gastroenterol. 2022 Sep 7;28(33):4846-4860. doi: 10.3748/wjg.v28.i33.4846.
8
Prediction of severe hypertriglyceridemia-associated acute pancreatitis using a nomogram based on CT findings and blood biomarkers.基于 CT 表现和血液生物标志物的列线图预测严重高甘油三酯血症相关急性胰腺炎。
Medicine (Baltimore). 2024 Apr 26;103(17):e37911. doi: 10.1097/MD.0000000000037911.
9
The role of artificial neural networks in prediction of severe acute pancreatitis associated acute respiratory distress syndrome: A retrospective study.人工神经网络在预测急性胰腺炎相关急性呼吸窘迫综合征中的作用:一项回顾性研究。
Medicine (Baltimore). 2023 Jul 21;102(29):e34399. doi: 10.1097/MD.0000000000034399.
10
Construction and validation of a nomogram for predicting survival in elderly patients with severe acute pancreatitis: a retrospective study from a tertiary center.构建和验证预测老年重症急性胰腺炎患者生存的列线图:来自一家三级中心的回顾性研究。
BMC Gastroenterol. 2024 Jul 8;24(1):219. doi: 10.1186/s12876-024-03308-6.

引用本文的文献

1
A prediction model for 30-day mortality in patients with ARDS admitted to the intensive care unit.重症监护病房收治的急性呼吸窘迫综合征患者30天死亡率的预测模型。
Eur J Med Res. 2025 Jul 2;30(1):559. doi: 10.1186/s40001-025-02838-3.
2
Morbidity and Mortality Predictors of Acute Respiratory Failure in Acute Pancreatitis: A Cohort Study Conducted in Vietnam.急性胰腺炎患者急性呼吸衰竭的发病情况及死亡预测因素:一项在越南开展的队列研究
JGH Open. 2025 Mar 24;9(3):e70136. doi: 10.1002/jgh3.70136. eCollection 2025 Mar.
3
Acute respiratory distress syndrome (ARDS): from mechanistic insights to therapeutic strategies.

本文引用的文献

1
Early Changes in Blood Urea Nitrogen (BUN) Can Predict Mortality in Acute Pancreatitis: Comparative Study between BISAP Score, APACHE-II, and Other Laboratory Markers-A Prospective Observational Study.血尿素氮 (BUN) 早期变化可预测急性胰腺炎患者的死亡率:BISAP 评分、APACHE-II 评分与其他实验室标志物的比较——一项前瞻性观察性研究。
Can J Gastroenterol Hepatol. 2021 Mar 22;2021:6643595. doi: 10.1155/2021/6643595. eCollection 2021.
2
Nebulised heparin for patients with or at risk of acute respiratory distress syndrome: a multicentre, randomised, double-blind, placebo-controlled phase 3 trial.雾化肝素治疗急性呼吸窘迫综合征患者或有急性呼吸窘迫综合征风险患者的多中心、随机、双盲、安慰剂对照 3 期试验。
Lancet Respir Med. 2021 Apr;9(4):360-372. doi: 10.1016/S2213-2600(20)30470-7. Epub 2021 Jan 22.
3
急性呼吸窘迫综合征(ARDS):从机制洞察到治疗策略
MedComm (2020). 2025 Jan 26;6(2):e70074. doi: 10.1002/mco2.70074. eCollection 2025 Feb.
4
We are all in this together: Understanding organ crosstalk in the pathogenesis of acute respiratory distress syndrome.我们同舟共济:了解急性呼吸窘迫综合征发病机制中的器官相互作用。
Pulm Circ. 2024 Jul 19;14(3):e12418. doi: 10.1002/pul2.12418. eCollection 2024 Jul.
5
Automated machine learning for early prediction of acute kidney injury in acute pancreatitis.急性胰腺炎中急性肾损伤的早期预测的自动化机器学习。
BMC Med Inform Decis Mak. 2024 Jan 11;24(1):16. doi: 10.1186/s12911-024-02414-5.
6
The role of artificial neural networks in prediction of severe acute pancreatitis associated acute respiratory distress syndrome: A retrospective study.人工神经网络在预测急性胰腺炎相关急性呼吸窘迫综合征中的作用:一项回顾性研究。
Medicine (Baltimore). 2023 Jul 21;102(29):e34399. doi: 10.1097/MD.0000000000034399.
7
Acute pancreatitis: Structured report template of magnetic resonance imaging.急性胰腺炎:磁共振成像结构化报告模板
World J Radiol. 2023 Jun 28;15(6):157-169. doi: 10.4329/wjr.v15.i6.157.
8
Medical imaging for pancreatic diseases: Prediction of severe acute pancreatitis complicated with acute respiratory distress syndrome.胰腺疾病的医学影像学:预测伴有急性呼吸窘迫综合征的重症急性胰腺炎。
World J Gastroenterol. 2022 Nov 28;28(44):6206-6212. doi: 10.3748/wjg.v28.i44.6206.
Novel risk scoring system for predicting acute respiratory distress syndrome among hospitalized patients with coronavirus disease 2019 in Wuhan, China.中国武汉住院的 2019 年冠状病毒病患者中预测急性呼吸窘迫综合征的新型风险评分系统。
BMC Infect Dis. 2020 Dec 17;20(1):960. doi: 10.1186/s12879-020-05561-y.
4
Store-Operated Calcium Entry as a Therapeutic Target in Acute Pancreatitis: Discovery and Development of Drug-Like SOCE Inhibitors.钙库操纵性钙内流作为急性胰腺炎的治疗靶点:类似药物的 SOCE 抑制剂的发现和开发。
J Med Chem. 2020 Dec 10;63(23):14761-14779. doi: 10.1021/acs.jmedchem.0c01305. Epub 2020 Nov 30.
5
Acute pancreatitis.急性胰腺炎。
Lancet. 2020 Sep 5;396(10252):726-734. doi: 10.1016/S0140-6736(20)31310-6.
6
Intracellular Ca Signalling in the Pathogenesis of Acute Pancreatitis: Recent Advances and Translational Perspectives.细胞内钙信号在急性胰腺炎发病机制中的作用:最新进展和转化视角。
Int J Mol Sci. 2020 Jun 3;21(11):4005. doi: 10.3390/ijms21114005.
7
Acute respiratory distress syndrome in acute pancreatitis.急性胰腺炎中的急性呼吸窘迫综合征
Indian J Gastroenterol. 2020 Apr;39(2):123-132. doi: 10.1007/s12664-020-01016-z. Epub 2020 Apr 13.
8
Prevention of Severe Acute Pancreatitis With Cyclooxygenase-2 Inhibitors: A Randomized Controlled Clinical Trial.环氧化酶-2 抑制剂预防重症急性胰腺炎的随机对照临床试验。
Am J Gastroenterol. 2020 Mar;115(3):473-480. doi: 10.14309/ajg.0000000000000529.
9
Effects of Pre-Hospital Antiplatelet Therapy on the Incidence of ARDS.院前抗血小板治疗对 ARDS 发生率的影响。
Respir Care. 2020 Jul;65(7):1039-1045. doi: 10.4187/respcare.07177. Epub 2020 Feb 11.
10
Development and validation of parsimonious algorithms to classify acute respiratory distress syndrome phenotypes: a secondary analysis of randomised controlled trials.简约算法开发与验证用于急性呼吸窘迫综合征表型分类:随机对照试验的二次分析。
Lancet Respir Med. 2020 Mar;8(3):247-257. doi: 10.1016/S2213-2600(19)30369-8. Epub 2020 Jan 13.