Suppr超能文献

药物化学中的膦酸盐和膦酸盐前药:过去的成功与未来的前景

Phosphonates and Phosphonate Prodrugs in Medicinal Chemistry: Past Successes and Future Prospects.

作者信息

Krečmerová Marcela, Majer Pavel, Rais Rana, Slusher Barbara S

机构信息

Institute of Organic Chemistry and Biochemistry, Academy of Sciences of the Czech Republic (ASCR), Prague, Czechia.

Departments of Neurology, Pharmacology and Molecular Sciences, Johns Hopkins Drug Discovery, Baltimore, MD, United States.

出版信息

Front Chem. 2022 May 20;10:889737. doi: 10.3389/fchem.2022.889737. eCollection 2022.

Abstract

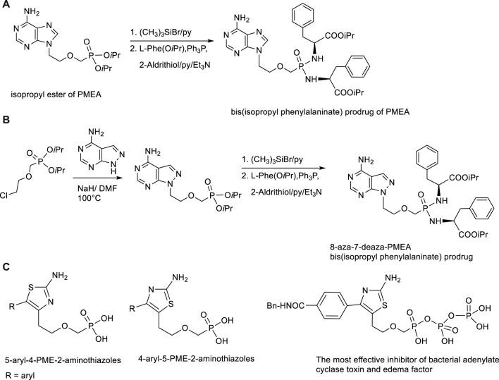
Compounds with a phosphonate group, i.e., -P(O)(OH) group attached directly to the molecule a P-C bond serve as suitable non-hydrolyzable phosphate mimics in various biomedical applications. In principle, they often inhibit enzymes utilizing various phosphates as substrates. In this review we focus mainly on biologically active phosphonates that originated from our institute (Institute of Organic Chemistry and Biochemistry in Prague); i.e., acyclic nucleoside phosphonates (ANPs, e.g., adefovir, tenofovir, and cidofovir) and derivatives of non-nucleoside phosphonates such as 2-(phosphonomethyl) pentanedioic acid (2-PMPA). Principal strategies of their syntheses and modifications to prodrugs is reported. Besides clinically used ANP antivirals, a special attention is paid to new biologically active molecules with respect to emerging infections and arising resistance of many pathogens against standard treatments. These new structures include 2,4-diamino-6-[2-(phosphonomethoxy)ethoxy]pyrimidines or so-called "open-ring" derivatives, acyclic nucleoside phosphonates with 5-azacytosine as a base moiety, side-chain fluorinated ANPs, aza/deazapurine ANPs. When transformed into an appropriate prodrug by derivatizing their charged functionalities, all these compounds show promising potential to become drug candidates for the treatment of viral infections. ANP prodrugs with suitable pharmacokinetics include amino acid phosphoramidates, pivaloyloxymethyl (POM) and isopropoxycarbonyloxymethyl (POC) esters, alkyl and alkoxyalkyl esters, salicylic esters, (methyl-2-oxo-1,3-dioxol-4-yl) methyl (ODOL) esters and peptidomimetic prodrugs. We also focus on the story of cytostatics related to 9-[2-(phosphonomethoxy)ethyl]guanine and its prodrugs which eventually led to development of the veterinary drug rabacfosadine. Various new ANP structures are also currently investigated as antiparasitics, especially antimalarial agents e.g., guanine and hypoxanthine derivatives with 2-(phosphonoethoxy)ethyl moiety, their thia-analogues and N-branched derivatives. In addition to ANPs and their analogs, we also describe prodrugs of 2-(phosphonomethyl)pentanedioic acid (2-PMPA), a potent inhibitor of the enzyme glutamate carboxypeptidase II (GCPII), also known as prostate-specific membrane antigen (PSMA). Glutamate carboxypeptidase II inhibitors, including 2-PMPA have been found efficacious in various preclinical models of neurological disorders which are caused by glutamatergic excitotoxicity. Unfortunately its highly polar character and hence low bioavailability severely limits its potential for clinical use. To overcome this problem, various prodrug strategies have been used to mask carboxylates and/or phosphonate functionalities with pivaloyloxymethyl, POC, ODOL and alkyl esters. Chemistry and biological characterization led to identification of prodrugs with 44-80 fold greater oral bioavailability (tetra-ODOL-2-PMPA).

摘要

带有膦酸酯基团(即直接连接到分子上的 -P(O)(OH) 基团,形成 P-C 键)的化合物在各种生物医学应用中作为合适的不可水解磷酸盐模拟物。原则上,它们常常抑制以各种磷酸盐为底物的酶。在本综述中,我们主要关注源自我们研究所(布拉格有机化学与生物化学研究所)的生物活性膦酸酯;即无环核苷膦酸酯(ANP,例如阿德福韦、替诺福韦和西多福韦)以及非核苷膦酸酯的衍生物,如 2-(膦酰甲基)戊二酸(2-PMPA)。报道了它们的合成以及转化为前药的主要策略。除了临床使用的 ANP 抗病毒药物外,还特别关注针对新出现的感染以及许多病原体对标准治疗产生的耐药性的新型生物活性分子。这些新结构包括 2,4-二氨基-6-[2-(膦酰甲氧基)乙氧基]嘧啶或所谓的“开环”衍生物、以 5-氮杂胞嘧啶为碱基部分的无环核苷膦酸酯、侧链氟化的 ANP、氮杂/脱氮嘌呤 ANP。当通过衍生化其带电官能团转化为合适的前药时,所有这些化合物都显示出有望成为治疗病毒感染的候选药物。具有合适药代动力学的 ANP 前药包括氨基酸磷酰胺、新戊酰氧甲基(POM)和异丙氧基羰基氧甲基(POC)酯、烷基和烷氧基烷基酯、水杨酸酯、(甲基-2-氧代-1,3-二氧戊环-4-基)甲基(ODOL)酯和拟肽前药。我们还关注与 9-[2-(膦酰甲氧基)乙基]鸟嘌呤及其前药相关的细胞抑制剂的故事,这最终促成了兽药雷巴福萨定的开发。目前还在研究各种新型 ANP 结构作为抗寄生虫药物,特别是抗疟药物,例如带有 2-(膦酰乙氧基)乙基部分的鸟嘌呤和次黄嘌呤衍生物、它们的硫类似物以及 N-支链衍生物。除了 ANP 及其类似物外,我们还描述了 2-(膦酰甲基)戊二酸(2-PMPA)的前药,2-(膦酰甲基)戊二酸是谷氨酸羧肽酶 II(GCPII,也称为前列腺特异性膜抗原(PSMA))的有效抑制剂。已发现包括 2-PMPA 的谷氨酸羧肽酶 II 抑制剂在由谷氨酸能兴奋毒性引起的各种神经疾病临床前模型中有效。不幸的是,其高度极性的特性以及因此较低的生物利用度严重限制了其临床应用潜力。为克服这个问题,已使用各种前药策略用新戊酰氧甲基、POC、ODOL 和烷基酯来掩盖羧酸盐和/或膦酸酯官能团。化学和生物学特性鉴定出具有比口服生物利用度高 44 - 80 倍的前药(四-ODOL-2-PMPA)。

https://cdn.ncbi.nlm.nih.gov/pmc/blobs/68cf/9163707/9b8aad0aeee4/fchem-10-889737-g001.jpg

文献AI研究员

20分钟写一篇综述,助力文献阅读效率提升50倍。

立即体验

用中文搜PubMed

大模型驱动的PubMed中文搜索引擎

马上搜索

文档翻译

学术文献翻译模型,支持多种主流文档格式。

立即体验