• 文献检索
  • 文档翻译
  • 深度研究
  • 学术资讯
  • Suppr Zotero 插件Zotero 插件
  • 邀请有礼
  • 套餐&价格
  • 历史记录
应用&插件
Suppr Zotero 插件Zotero 插件浏览器插件Mac 客户端Windows 客户端微信小程序
定价
高级版会员购买积分包购买API积分包
服务
文献检索文档翻译深度研究API 文档MCP 服务
关于我们
关于 Suppr公司介绍联系我们用户协议隐私条款
关注我们

Suppr 超能文献

核心技术专利:CN118964589B侵权必究
粤ICP备2023148730 号-1Suppr @ 2026

文献检索

告别复杂PubMed语法,用中文像聊天一样搜索,搜遍4000万医学文献。AI智能推荐,让科研检索更轻松。

立即免费搜索

文件翻译

保留排版,准确专业,支持PDF/Word/PPT等文件格式,支持 12+语言互译。

免费翻译文档

深度研究

AI帮你快速写综述,25分钟生成高质量综述,智能提取关键信息,辅助科研写作。

立即免费体验

边缘植物种群能否在持续的气候变化下增强较大核心种群的适应性?来自一种珍稀康乃馨的实证见解。

Do marginal plant populations enhance the fitness of larger core units under ongoing climate change? Empirical insights from a rare carnation.

作者信息

Gargano Domenico, Bernardo Liliana, Rovito Simone, Passalacqua Nicodemo G, Abeli Thomas

机构信息

Dipartimento di Biologia, Ecologia e Scienze della Terra dell'Università della Calabria, Via P. Bucci, I-87036 Arcavacata di Rende, Italy.

Department of Science, University of Roma Tre, Viale Guglielmo Marconi 446, 00146 Roma, Italy.

出版信息

AoB Plants. 2022 May 12;14(3):plac022. doi: 10.1093/aobpla/plac022. eCollection 2022 Jun.

DOI:10.1093/aobpla/plac022
PMID:35673362
原文链接:https://pmc.ncbi.nlm.nih.gov/articles/PMC9167561/
Abstract

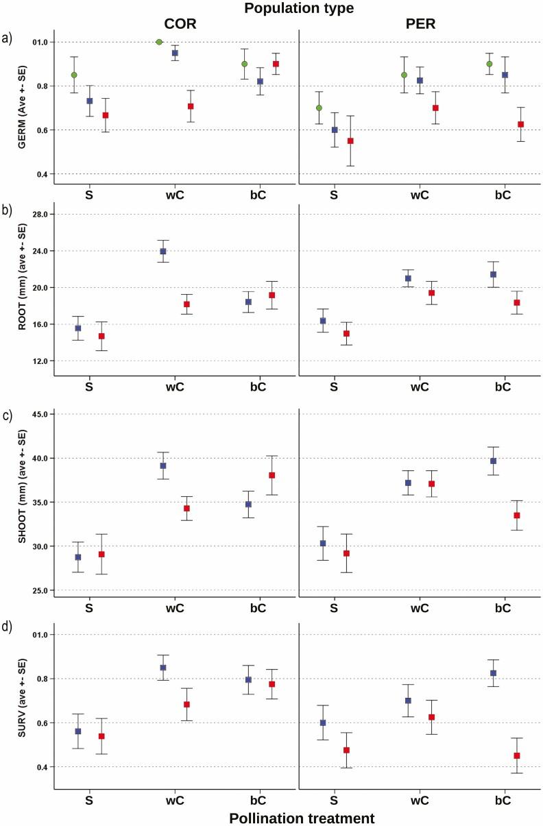
Assisted gene flow (AGF) can restore fitness in small plant populations. Due to climate change, current fitness patterns could vary in the future ecological scenario, as highly performant lineages can undergo maladaptation under the new climatic contexts. Peripheral populations have been argued to represent a potential source of species adaptation against climate change, but experimental evidence is poor. This paper considers the consequences of within- and between-population mating between a large core population and the southernmost population, the rare , to evaluate optimal AGF design under current and future conditions. We performed experimental self-pollinations and within- and between-population cross-pollinations to generate seed material and test its adaptive value to aridity. Seed germination, seedling growth and survival were measured under current and expected aridity. Effects of population type, pollination treatment and stress treatment on fitness components were analysed by generalized linear models. Relative measures of inbreeding depression and heterosis were taken under different stress treatments. Self-pollination reduced fitness for all the considered traits compared to within- and between-population cross-pollination. Under current aridity regime, the core population expressed higher fitness, and a larger magnitude of inbreeding depression. This indicated the core unit is close to its fitness optimum and could allow for restoring the fitness of the small peripheral population. Contrarily, under increased aridity, the fitness of outbred core lineages decreased, suggesting the rise of maladaptation. In this scenario, AGF from the small peripheral population enhanced the fitness of the core unit, whereas AGF from the core population promoted a fitness loss in the peripheral population. Hence, the small peripheral population could improve fitness of large core units versus climate change, while the contrary could be not true. Integrating reciprocal breeding programmes and fitness analyses under current and predicted ecological conditions can support optimal AGF design in a long-term perspective.

摘要

辅助基因流动(AGF)可以恢复小型植物种群的适合度。由于气候变化,当前的适合度模式在未来生态情景中可能会有所不同,因为高性能谱系在新的气候环境下可能会发生适应不良。边缘种群被认为是物种适应气候变化的潜在来源,但实验证据不足。本文考虑了一个大型核心种群与最南端稀有种群之间种群内和种群间交配的后果,以评估当前和未来条件下的最佳AGF设计。我们进行了实验性自花授粉以及种群内和种群间异花授粉,以产生种子材料并测试其对干旱的适应价值。在当前和预期干旱条件下测量种子发芽、幼苗生长和存活情况。通过广义线性模型分析种群类型、授粉处理和胁迫处理对适合度成分的影响。在不同胁迫处理下测量近交衰退和杂种优势的相对指标。与种群内和种群间异花授粉相比,自花授粉降低了所有考虑性状的适合度。在当前干旱条件下,核心种群表现出更高的适合度和更大程度的近交衰退。这表明核心种群接近其适合度最优值,并且可以恢复小型边缘种群的适合度。相反,在干旱增加的情况下,杂交核心谱系的适合度下降,表明适应不良的增加。在这种情况下,来自小型边缘种群的AGF提高了核心种群的适合度,而来自核心种群的AGF则导致边缘种群适合度下降。因此,小型边缘种群相对于气候变化可以提高大型核心种群的适合度,反之则不然。在当前和预测的生态条件下整合互交育种计划和适合度分析可以从长期角度支持最佳AGF设计。

https://cdn.ncbi.nlm.nih.gov/pmc/blobs/37ae/9167561/9681c91bd818/plac022_fig4.jpg
https://cdn.ncbi.nlm.nih.gov/pmc/blobs/37ae/9167561/4853be7464c9/plac022_fig1.jpg
https://cdn.ncbi.nlm.nih.gov/pmc/blobs/37ae/9167561/645f3faa7397/plac022_fig2.jpg
https://cdn.ncbi.nlm.nih.gov/pmc/blobs/37ae/9167561/4a065cb874ba/plac022_fig3.jpg
https://cdn.ncbi.nlm.nih.gov/pmc/blobs/37ae/9167561/9681c91bd818/plac022_fig4.jpg
https://cdn.ncbi.nlm.nih.gov/pmc/blobs/37ae/9167561/4853be7464c9/plac022_fig1.jpg
https://cdn.ncbi.nlm.nih.gov/pmc/blobs/37ae/9167561/645f3faa7397/plac022_fig2.jpg
https://cdn.ncbi.nlm.nih.gov/pmc/blobs/37ae/9167561/4a065cb874ba/plac022_fig3.jpg
https://cdn.ncbi.nlm.nih.gov/pmc/blobs/37ae/9167561/9681c91bd818/plac022_fig4.jpg

相似文献

1
Do marginal plant populations enhance the fitness of larger core units under ongoing climate change? Empirical insights from a rare carnation.边缘植物种群能否在持续的气候变化下增强较大核心种群的适应性?来自一种珍稀康乃馨的实证见解。
AoB Plants. 2022 May 12;14(3):plac022. doi: 10.1093/aobpla/plac022. eCollection 2022 Jun.
2
Fitness drivers in the threatened Dianthus guliae Janka (Caryophyllaceae): disentangling effects of growth context, maternal influence and inbreeding depression.受威胁的瞿麦(石竹科)的适应性驱动因素:生长环境、母本影响和自交衰退的作用解析。
Plant Biol (Stuttg). 2011 Jan;13 Suppl 1:96-103. doi: 10.1111/j.1438-8677.2010.00392.x. Epub 2010 Sep 14.
3
The immediate costs and long-term benefits of assisted gene flow in large populations.在大种群中辅助基因流动的即时成本和长期效益。
Conserv Biol. 2022 Aug;36(4):e13911. doi: 10.1111/cobi.13911. Epub 2022 Apr 7.
4
Mixing gene pools to prevent inbreeding issues in translocated populations of clonal species.混合基因库以防止无性繁殖物种的移地种群发生近亲繁殖问题。
Mol Ecol. 2021 Jun;30(12):2756-2771. doi: 10.1111/mec.15930. Epub 2021 May 3.
5
Inbreeding depression under drought stress in the rare endemic Echium wildpretii (Boraginaceae) on Tenerife, Canary islands.干旱胁迫下特内里费岛特有珍稀植物野生勿忘草(紫草科)的近交衰退。
PLoS One. 2012;7(10):e47415. doi: 10.1371/journal.pone.0047415. Epub 2012 Oct 24.
6
Fitness consequences of short- and long-distance pollinations in Phlox hirsuta, an endangered species.在濒危物种绒毛福禄考中,短距离和长距离传粉的适应后果。
Am J Bot. 2015 Oct;102(10):1659-65. doi: 10.3732/ajb.1500270. Epub 2015 Oct 5.
7
Remnants of populations provide effective source material for reintroduction of an endangered Hawaiian plant, Schiedea kaalae (Caryophyllaceae).种群残余为重新引入濒危的夏威夷植物卡阿莱希笛草(石竹科)提供了有效的源材料。
Am J Bot. 2014 Nov;101(11):1954-62. doi: 10.3732/ajb.1400271. Epub 2014 Oct 24.
8
Evidence for inbreeding depression in the tree Robinia pseudoacacia L. (Fabaceae).刺槐(豆科)近亲繁殖衰退的证据。
Genet Mol Res. 2013 Dec 4;12(4):6249-56. doi: 10.4238/2013.December.4.12.
9
Genetic variation of inbreeding depression among floral and fitness traits in Silene nutans.樱草石楠的花部和适合度性状的近交衰退的遗传变异。
Heredity (Edinb). 2010 Jan;104(1):52-60. doi: 10.1038/hdy.2009.103.
10
Effect of population size on the mating system in a self-compatible, autogamous plant, aquilegia canadensis (Ranunculaceae).
Heredity (Edinb). 1999 May;82 (Pt 5):518-28. doi: 10.1038/sj.hdy.6885220.

本文引用的文献

1
Understanding Maladaptation by Uniting Ecological and Evolutionary Perspectives.理解适应不良:综合生态和进化观点
Am Nat. 2019 Oct;194(4):495-515. doi: 10.1086/705020. Epub 2019 Aug 27.
2
Evidence for adaptive responses to historic drought across a native plant species range.本土植物物种范围内对历史干旱适应性反应的证据。
Evol Appl. 2019 May 16;12(8):1569-1582. doi: 10.1111/eva.12803. eCollection 2019 Sep.
3
Reproductive and genetic consequences of extreme isolation in Salix herbacea L. at the rear edge of its distribution.
极端隔离对分布区后沿的柳属草本植物的繁殖和遗传后果。
Ann Bot. 2019 Nov 15;124(5):849-860. doi: 10.1093/aob/mcz129.
4
Habitat fragmentation reduces plant progeny quality: a global synthesis.生境破碎化降低植物后代质量:一项全球综合研究。
Ecol Lett. 2019 Jul;22(7):1163-1173. doi: 10.1111/ele.13272. Epub 2019 May 14.
5
Gene flow improves fitness at a range edge under climate change.在气候变化下,基因流动可提高物种分布边缘的适应性。
Evol Lett. 2018 Nov 30;3(1):55-68. doi: 10.1002/evl3.91. eCollection 2019 Feb.
6
Plant-pollinator interactions along the pathway to paternity.植物-传粉者相互作用沿着亲代途径。
Ann Bot. 2019 Jan 23;123(2):225-245. doi: 10.1093/aob/mcy167.
7
Local shifts in floral biotic interactions in habitat edges and their effect on quantity and quality of plant offspring.栖息地边缘植物生物相互作用的局部变化及其对植物后代数量和质量的影响。
AoB Plants. 2017 Jul 26;9(4):plx031. doi: 10.1093/aobpla/plx031. eCollection 2017 Jul.
8
INBREEDING DEPRESSION IN PARTIALLY SELF-FERTILIZING DECODON VERTICILLATUS (LYTHRACEAE): POPULATION-GENETIC AND EXPERIMENTAL ANALYSES.部分自花受精的节节菜(千屈菜科)的近亲繁殖衰退:群体遗传学与实验分析
Evolution. 1994 Aug;48(4):952-964. doi: 10.1111/j.1558-5646.1994.tb05285.x.
9
Living on the edge: Conservation genetics of seven thermophilous plant species in a High Arctic archipelago.处于边缘生存:北极群岛七种嗜热植物物种的保护遗传学
AoB Plants. 2017 Jan;9(1). doi: 10.1093/aobpla/plx001. Epub 2017 Jan 20.
10
Comparative germination responses to water potential across different populations of Aegilops geniculata and cultivar varieties of Triticum durum and Triticum aestivum.节节麦不同种群以及硬粒小麦和普通小麦栽培品种对水势的比较发芽反应。
Plant Biol (Stuttg). 2017 Mar;19(2):165-171. doi: 10.1111/plb.12528. Epub 2016 Dec 26.