Suppr超能文献

使用虚拟实验方案评估数字广告曝光度。

Assessing digital advertising exposure using a virtual experimental protocol.

作者信息

Cantrell Jennifer, Bingenheimer Jeffrey, Tulsiani Shreya, Hair Elizabeth, Vallone Donna, Mills Sarah, Gerard Raquel, Evans William D

机构信息

Department of Social and Behavioral Sciences, School of Global Public Health, New York University, New York, NY, USA.

Department of Prevention and Community Health, Milken Institute, School of Public Health, The George Washington University, Washington, DC, USA.

出版信息

Digit Health. 2022 Jun 3;8:20552076221102260. doi: 10.1177/20552076221102260. eCollection 2022 Jan-Dec.

Abstract

INTRODUCTION

The rapid increase in online public education campaigns underscores the need for a better understanding of the effects of exposure to digital advertising and targeted individual-level outcomes. The goal of this study is to develop a virtual experimental protocol to evaluate the dose-response effects of individual-level exposure to digital video ads on campaign outcomes in a naturalistic online browsing context.

METHODS

Young adults aged 18-24 years ( = 221) completed three 5 min viewing sessions on a realistic mock-up of the YouTube mobile app over a period of 2 weeks, followed by a 10-min survey after the third session. Participants were randomized to view between 0 and 6 exposures of ads from an e-cigarette prevention campaign; respondents viewed a total of 2 ads per session, with 0 to 2 of those ads being non-skippable digital video ads from the campaign and/or a dummy ad. The video ads played prior to short YouTube videos. Outcomes measured were self-reported ad recognition, frequency of ad exposure, and main message knowledge.

RESULTS

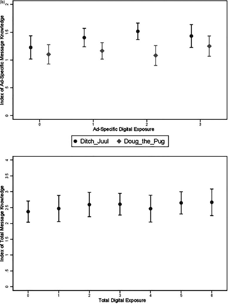
This study demonstrates a rapidly accessible virtual experimental protocol for evaluating the dose-response effects of digital advertising and individual-level outcomes. Five digital exposures of non-skippable video ads delivered via this platform over a 2-week period generated the highest ad recognition when there were up to six exposures. Higher exposure levels may be needed for message knowledge and ad-content-related effects.

CONCLUSION

This protocol can be extended to investigate dose-response effects and mechanisms of action of individual-level exposure to digital advertising for multiple campaign outcomes, including changes in knowledge, attitudes, and beliefs. Findings can inform evidence for adequate levels of digital exposure in public education campaigns.

摘要

引言

在线公共教育活动的迅速增加凸显了更好地理解接触数字广告的影响以及针对个人层面的结果的必要性。本研究的目的是制定一个虚拟实验方案,以评估在自然的在线浏览环境中,个人层面接触数字视频广告对活动结果的剂量反应效应。

方法

18至24岁的年轻人(n = 221)在两周内,在YouTube移动应用程序的逼真模拟界面上完成了三个5分钟的观看环节,第三个环节后接着进行10分钟的调查。参与者被随机分配观看电子烟预防活动中0至6次广告曝光;受访者每次观看环节共观看2条广告,其中0至2条为该活动的不可跳过数字视频广告和/或一条虚拟广告。视频广告在简短的YouTube视频之前播放。测量的结果包括自我报告的广告识别、广告曝光频率和主要信息知晓度。

结果

本研究展示了一种可快速实施的虚拟实验方案,用于评估数字广告的剂量反应效应和个人层面的结果。在两周内通过该平台进行五次不可跳过视频广告的数字曝光,在最多六次曝光的情况下产生了最高的广告识别率。对于信息知晓度和与广告内容相关的效应,可能需要更高的曝光水平。

结论

该方案可扩展用于研究个人层面接触数字广告对多种活动结果的剂量反应效应和作用机制,包括知识、态度和信念的变化。研究结果可为公共教育活动中适当的数字曝光水平提供依据。

https://cdn.ncbi.nlm.nih.gov/pmc/blobs/1f93/9168883/ac781e55da20/10.1177_20552076221102260-fig1.jpg

文献检索

告别复杂PubMed语法,用中文像聊天一样搜索,搜遍4000万医学文献。AI智能推荐,让科研检索更轻松。

立即免费搜索

文件翻译

保留排版,准确专业,支持PDF/Word/PPT等文件格式,支持 12+语言互译。

免费翻译文档

深度研究

AI帮你快速写综述,25分钟生成高质量综述,智能提取关键信息,辅助科研写作。

立即免费体验