Ruiz-Martínez Isidra Guadalupe, Rodrigue Denis, Arenas-Ocampo Martha Lucía, Camacho-Díaz Brenda Hildeliza, Avila-Reyes Sandra Victoria, Solorza-Feria Javier
Centro de Desarrollo de Productos Bióticos, Instituto Politécnico Nacional, calle CEPROBI No. 8, Col. San Isidro, Yautepec C.P. 62731, Morelos, Mexico.
Department of Chemical Engineering and CERMA, Université Laval, Quebec City, QC G1V 0A6, Canada.
Foods. 2022 May 27;11(11):1573. doi: 10.3390/foods11111573.
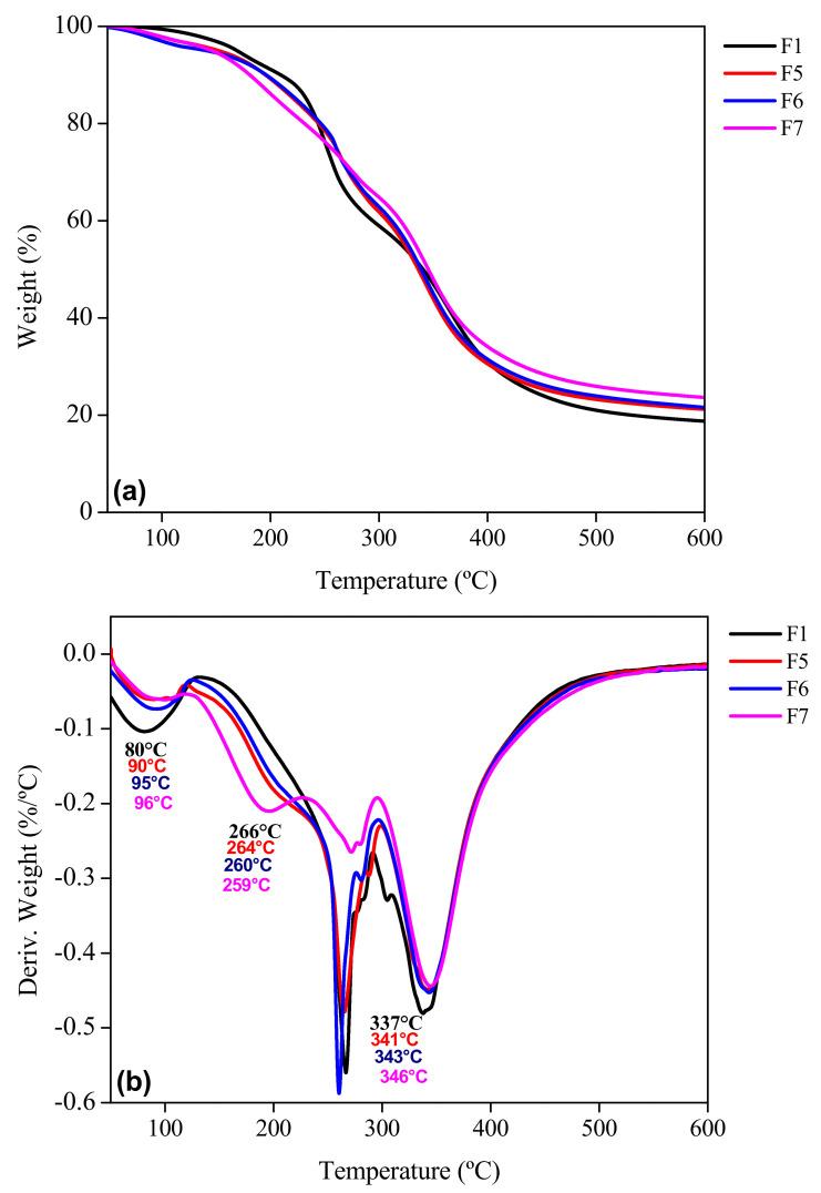
The objective of this work was to obtain biomaterials as gelatin films or biofilms produced by casting, reinforced with a microfiber (MF) from Haw bagasse and bentonite (BN) nanoparticles and evaluate the effect of such reinforcements at different concentrations. Agave microfibers were obtained by a non-abrasive chemical method. Three formulations based on gelatin with glycerol were reinforced with microfiber, bentonite and both materials with 1.5, 3.5 and 5.5% / solids content. Physicochemical properties were determined using SEM and FTIR, thickness, soluble matter and moisture. The XRD, barrier, mechanical and thermal properties were measured. The films' micrographs showed agglomerations on the surface. Interactions between its functional groups were found. The solubility increased when the MF concentration increased. The thickness of the films was between 60 and 110 μm. The crystallinity ranged from 23 to 86%. The films with both MF and BN and 3.5% / solids had the lowest barrier properties, while the film with 5.5% / solids showed the highest mechanical properties, being thermally resistant. Overall, Agave microfibers together with bentonite were able to improve some of the films' properties, but optimized mixing conditions had to be used to achieve good particle dispersion within the gelatin matrix to improve its final properties. Such materials might have the potential to be used as food packaging.
这项工作的目的是获得生物材料,如通过流延法制备的明胶薄膜或生物膜,用来自龙舌兰蔗渣的微纤维(MF)和膨润土(BN)纳米颗粒进行增强,并评估不同浓度下这种增强材料的效果。龙舌兰微纤维通过非研磨性化学方法获得。三种基于明胶和甘油的配方分别用微纤维、膨润土以及两种材料进行增强,固体含量分别为1.5%、3.5%和5.5%。使用扫描电子显微镜(SEM)和傅里叶变换红外光谱(FTIR)测定物理化学性质、厚度、可溶物和水分。测量了X射线衍射(XRD)、阻隔性、机械性能和热性能。薄膜的显微照片显示表面有团聚现象。发现了其官能团之间的相互作用。当MF浓度增加时,溶解度增加。薄膜厚度在60至110μm之间。结晶度范围为23%至86%。含有MF和BN且固体含量为3.5%的薄膜阻隔性能最低,而固体含量为5.5%的薄膜机械性能最高,具有耐热性。总体而言,龙舌兰微纤维与膨润土能够改善薄膜的一些性能,但必须使用优化的混合条件,以使颗粒在明胶基质中良好分散,从而改善其最终性能。这类材料可能有潜力用作食品包装。